Chapter 26
Cholinergic Pharmacology
JOEL S. MINDEL
Main Menu   Table Of Contents

Search

BASIC PHARMACOLOGY
OCULAR CHOLINERGIC SYSTEMS
OCULAR CHOLINERGIC PHARMACOLOGY
REFERENCES

BASIC PHARMACOLOGY
The classic cholinergic systems are located at neuron-neuron synapses, at neuron-striated muscle fiber junctions, and at neuron-smooth muscle fiber junctions.

Impulses are transmitted across the spaces separating these structures by acetylcholine. A 45-kd glycoprotein, called the cholinergic neuronal differentiation factor, seems to play a role in determining which embryonic neurons will develop acetylcholine synthesizing properties.1,2

The earliest pharmacologic studies were of those tissues innervated by the parasympathetic nervous system. Dixon3 pointed out that the application of muscarine produced effects that were identical to those produced by the stimulation of the vagal nerve. Loewi4 demonstrated that vagal nerve stimulation released a substance that he subsequently identified as acetylcholine. Dale5 was the first to suggest that the action of acetylcholine was terminated by an enzyme, an esterase, that hydrolyzed the molecule.

Cholinergic systems consist of a number of subcellular components: choline acetyltransferase; acetylcholine; sodium-dependent, high-affinity choline uptake system; clear vesicles; acetylcholinesterase; and nicotinic and muscarinic receptors.

CHOLINE ACETYLTRANSFERASE

The gene for choline acetyltransferase is located on the long arm of human chromosome 10.6 Within its length it also contains the gene that encodes the protein responsible for transporting acetylcholine into the vesicle. Although these two genes overlap, they do not share similar protein sequences.7

Choline acetyltransferase synthesizes acetylcholine from choline and acetyl-coenzyme A. Choline acetyltransferase is found in the soluble cytoplasm and attached to the outer membrane of acetylcholine-containing vesicles. It is not found within these vesicles.8,9 The soluble form predominates at more physiologic pH.10 The binding of choline acetyltransferase to vesicle membranes is reversible and presumably due to ionic attraction between positively charged choline acetyltransferase and negatively charged membrane. For maximum enzymatic synthesis of acetylcholine, higher concentrations of choline than of acetyl-coenzyme A are required. For example, in human brain, the Michaelis' constant (Km) for choline is 510 μmol/L and the Km for acetyl-coenzyme A is 11 μmol/L.11 Imidazole-containing compounds, such as pilocarpine, stimulate in vitro enzymatic synthesis of acetylcholine.12,13 The possibility of small amounts of nonenzymatic production of acetylcholine by imidazoles has also been raised.14

Because choline acetyltransferase accumulates proximal to a nerve ligature, it has been assumed that the enzyme is transported by axonal flow from the nerve cell body toward nerve terminals.15 However, there appears to be some distal-to-proximal flow of enzyme as well.16

ACETYLCHOLINE

Acetylcholine is found in both the cytoplasm and vesicles of cholinergic nerve endings. When high concentrations of cytoplasmic acetylcholine exist, choline kinase is stimulated. Choline kinase phosphorylates choline and diverts it away from acetylcholine synthesis and toward phospholipid synthesis.17 In this way, acetylcholine may regulate the availability of its own substrate. The acetylcholine-containing vesicles are 30 nm to 60 nm in diameter and are electron transparent (i.e., “agranular”). They contain high concentrations of acetylcholine (approximately 47,000 molecules per vesicle [520 mmol/L]) and adenosine triphosphate (ATP) (approximately 17,000 molecules [170 mmol/L]); guanosine triphosphate (GTP) is present in 20 mmol/L concentration.18

When the neuron is at rest, acetylcholine is released spontaneously from the cytoplasm by a non-calcium-dependent mechanism. The amounts of cytoplasmic acetylcholine leaked are inversely regulated by neuronal membrane ATPase activity (i.e., the greater the ATPase activity, the lower the amounts). Evoked release of acetylcholine occurs from vesicles and depends on the presence of extracellular calcium.19–21

Recycling of a vesicle (i.e., the time from acetylcholine release to refilling and re-release) appears to take approximately 1 minute.22 This cycle can be divided into eight steps23:

  1. Docking (vesicle contacts internal surface of synaptic axon membrane)
  2. Priming (conformational change allowing calcium to trigger exocytosis of acetylcholine)
  3. Exocytosis (calcium produces release of acetylcholine into the synaptic space)
  4. Endocytosis (vesicle closes)
  5. Translocation (vesicle is moved internally)
  6. Endosome fusion
  7. Neurotransmitter uptake
  8. Translocation (vesicle returns near synaptic axon membrane)

A number of proteins in the membrane of the synaptic vesicle have been identified (e.g., synaptophysin and synaptotagmin).24,25 The acetylcholine transporting protein identified on chromosome 10 contains approximately 40% of the amino acid sequences contained by these two vesicular proteins and is believed to have 12 transmembrane spanning domains. Thirty or more low-molecular-weight GTP-binding proteins, called Rab proteins, are involved in directing the vesicle through the cycle. One cluster, called the synaptosecretosome, triggers acetylcholine exocytosis; the key protein in this group is called mediatophore. Other proteins link the vesicle to the synaptic membrane. Some of these have channel structures that could form the route taken by released acetylcholine on its way to the synaptic space. This raises the possibility that direct or full fusion of the vesicle with the synaptic axon membrane is not needed.26,27 A specific inhibitor of acetylcholine uptake into cholinergic vesicles, vesamicol, has been identified. Botulinum toxins attack some of the proteins linking the synaptic vesicle to the axon membrane and prevent calcium from triggering functional acetylcholine release.28–30

CHOLINE UPTAKE

Acetyl-coenzyme A is synthesized in neuronal mitochondria from pyruvate, by pyruvate dehydrogenase, and transferred into the cytoplasm for acetylcholine synthesis. Choline is either synthesized by the neuron or obtained from the circulation.31 Neurons can synthesize choline by methylation of phosphatidylethanolamine or ethanolamine.32,33 Phospholipase D hydrolyzes phosphatidylethanolamine to phosphatidic acid and choline.34,35 Choline can be taken up by a neuron over its entire surface if a high concentration (i.e., Km = 10 to 100 μmol/L) is present.36 This system is referred to as the low-affinity choline uptake system and probably plays little, if any, physiologic role. However, a sodium-dependent, high-affinity choline uptake system (i.e., Km = 1 to 10 μmol/L) is located on the synaptic nerve endings.37 The high-affinity system becomes more active when the neuron is releasing acetylcholine and/or when it is synthesizing more acetylcholine.38–40 Hemicholinium blocks the high-affinity choline uptake system. Although the choline transported into the nerve terminals is rapidly acetylated, there does not appear to be a direct linkage between the high-affinity system and choline acetyltransferase.41

RECEPTORS

There are two types of cholinergic receptors: muscarinic and nicotinic. Classically, these receptors were thought to exist only on the distal sides of the neuron-muscle fiber and neuron-neuron junctions (i.e., postjunctional receptors). A large amount of evidence indicates that they exist on the proximal sides of these junctions as well (i.e., the neuron terminal releasing acetylcholine has prejunctional receptors). Postjunctional receptors are effector receptors. Prejunctional receptors are involved in feedback stimulation and inhibition of transmitter release.

Postjunctional Receptors

NICOTINIC. Nicotinic receptors respond to acetylcholine and nicotine but not to muscarine. They are found in the central nervous system, in ganglia, and on striated muscle fibers. The specialized receptor area of a striated muscle fiber is termed the myoneural junction. This area is marked by infolding and convolutions of the muscle fiber membrane and a significant increase in the density of acetylcholinesterase molecules.

MUSCARINIC. Muscarinic receptors respond to acetylcholine and muscarine but not to nicotine. These receptors are found in the central nervous system, in ganglia, and on smooth muscle fibers. The junction of a parasympathetic neuron with a smooth muscle fiber is not highly specialized. The two are separated by a relatively wide distance, ranging from 15 to 1900 nm. This has functional significance (i.e., the narrower the cleft, the greater the concentration of transmitter at both prejunctional and postjunctional receptors). Junctional clefts in the iris sphincter are approximately 15 nm. Muscarinic reception may occur at those sites on smooth muscle fiber membranes where electrondense structures, 5 to 6 nm thick, are found.42 Muscarinic receptors have a latency of 100 to 500 msec, in contrast to nicotinic receptors, which have a latency of 30 to 100 msec. However, it does not appear that this latency is simply a function of the distance between nerve ending and receptor.43

Nicotinic Receptor Structure. Nicotinic receptors have a molecular weight of approximately 250 kd. Each receptor consists of five glycopeptide chains (two of which are identical): two alpha, one beta, one delta, and one epsilon.44 Some species variations exist.45 Human fetal receptors are found diffusely along the muscle fiber membrane and have a gamma subunit instead of an epsilon. When stimulated, fetal receptors provide a membrane depolarization that has a longer duration and fetal receptors are less readily desensitized by prolonged agonist exposure. Conversion to the adult form occurs upon innervation when the receptors become clustered at synapses.46 Extraocular muscles are an exception in that some of their muscle fibers retain the fetal type of receptor.47,48 The fetal receptor is not found in the human adult levator palpebrae superioris of the lid.49 In rats, all of the myoneural junctions of the multiply innervated (en grappe) extraocular muscle fibers, and a limited number of the singly innervated (en plaque) extraocular muscle fibers, co-express both the adult and fetal forms of the receptor.50

Each glycopeptide subunit of the receptor spans the entire length of the receptor, and the five subunits form a pentagon around a central ion channel, which also runs the entire 11-nm length of the receptor.51 The receptor protrudes approximately 5.5 nm on the extracellular side of the cell membrane and approximately 1.5 nm on the intracellular side. The ion channel opening is widest extracellularly and then narrows as it passes through the cell membrane.52

The binding site for cholinergic drugs on striated muscle nicotinic receptors is, at least in part, on the extracellular portion of the alpha subunit in a region containing two adjacent cysteines.53–55 In neuronal nicotinic receptors, the binding site may be on the beta subunit.56 Because there are two alpha subunits, there are two binding sites for acetylcholine on nicotinic muscle receptors. Both binding sites must be bound to elicit a response.57 One is a high-affinity site and the other is a low-affinity site; the differences in affinity are conferred by the gamma and delta subunits where they contact the alpha subunits. The gamma subunit confers high affinity and the delta subunit confers low affinity.58

The carbonyl side of the acetylcholine molecule reacts with the nicotinic receptor, whereas the methyl side reacts with the muscarinic receptor.59 The acetylcholine molecules bind in a cooperative manner (i.e., binding of one acetylcholine molecule increases the affinity of the receptor to bind the second molecule).

Activating the receptor opens the ion channel for approximately 1 msec and produces a membrane depolarization of approximately 0.2 μV.60 The length of time the channel is open depends on the agonist (e.g., acetylcholine = 1 msec; carbachol = 0.33 msec; and succinylcholine = 0.23 msec). The nicotinic ion channel is almost equally permeable to Na+ and K+ ions but impermeable to Cl- ions. Larger monovalent cations pass through the channel more readily than do smaller ones.61 This is reversed for divalent cations (i.e., smaller ones pass through more readily). Differences in potencies between agonists are due to affinity for the receptor and efficacy for opening the channel. Carbachol has a channel-opening efficacy that is about two thirds that of acetylcholine. Nicotinic receptors outside the synaptic area stay open about three times as long as those in the synaptic area. The activated ion channels of singly innervated (i.e., en plaque or fast) muscle fibers have characteristics similar to those of multiply innervated (i.e., en grappe or slow) muscle fibers.62

Competitive nicotinic antagonists interfere with acetylcholine's binding onto the alpha subunits. Noncompetitive antagonists may allow the ion channel to open, but then block it.60 The action of a specific drug may be complex. For example, curare is classified as a nondepolarizing, noncompetitive nicotinic antagonist. It binds to the receptor at a site other than where acetylcholine binds (i.e., it is not competitive with acetylcholine at this point). Once bound, curare exerts its main action by competing with acetylcholine for the site on which the latter acts to open the ion channel.63 Thus, there are competitive and noncompetitive aspects to curare's action. Furthermore, high concentrations of a competitive agonist, such as concentrations of acetylcholine above 300 μmol or carbachol above 1 mmol, can enter and transiently occlude the ion channel.64 Decamethonium and succinyldicholine act primarily by blocking open channels. Such channel blockers cannot be antagonized by cholinesterase inhibitors because the latter result in prolonged and increased endogenous acetylcholine concentrations, which, in turn, stimulate the receptor to keep the ion channel open and the antagonist blocking it.60

Muscarinic Receptor Structure. Whereas a nicotinic receptor consists of multiple subunits arranged to form an ion channel, a muscarinic receptor is a single glycoprotein that activates a G protein (i.e., a guanine nucleotide binding protein). Muscarinic receptors belong to a G protein-linked “superfamily” of receptors that includes α1-, α2-, and β-adrenergic receptors and serotonin receptors. All members of the family have an undulating ringlike structure with seven hydrophobic transmembrane spanning groups. These transmembrane groups are linked by alternating cytoplasmic and extracellular loops.65,66 The possibility exists that some muscarinic receptors consist of two subunits.67,68 Different muscarinic receptors have approximately 40% identical amino acid sequences. Within the superfamily, this falls to approximately 4%, with only 19 amino acids conserved among all known members.

Five different muscarinic receptor genes and their different receptor products have been identified. These are commonly designated as m1, m2, m3, m4, and m5. Pharmacologic evidence for the functional existence of these receptors in tissues exists for only four of them, designated M1, M2, M3, and M4.69

In man, the m1 receptor consists of 460 amino acids; m2 has 466 amino acids, m3 has 590 amino acids, and m4 has 471 amino acids.70,71 The lack of highly specific drugs for each receptor subtype has hampered the identification of the corresponding functional tissue receptors. M1 receptors have a high affinity for the antagonists pirenzepine and 4-diphenylacetoxy-N-methylpiperidine methiodide (4-DAMP) and a low affinity for the antagonists methoctramine and himbacine. M2 receptors have the reverse affinities. M3 receptors have a high affinity for 4-DAMP but a low affinity for pirenzepine.72 Carbachol has a much greater affinity for M2 than for M1 or M4 receptors.65 The formation of an ionic bond between the amine group of the agonist or antagonist and the aspartic acid on the extracellular loop of the third transmembrane spanning group seems to be a feature of all muscarinic receptors.73 However, there may be more than just one drug binding site.74 The third cytoplasmic loop is the major determinant for G protein coupling selectivity.75,76

Prejunctional Receptors

Since 1959, hypotheses have existed to explain why nicotine produces adrenergic effects when applied to sympathetic nerve endings.77 Whereas nicotine causes an increase in norepinephrine release, muscarine and pilocarpine inhibit norepinephrine release. Pilocarpine's effect can be blocked by atropine. There is now a large body of evidence showing that receptors are also present on nerve endings. For example, there is markedly less binding of muscarinic drugs after sympathetic nerve endings have been destroyed by 6-OH dopamine.78 These presynaptic receptors are believed to play a role in feedback control of receptor release. In this manner, release of acetylcholine by parasympathetic nerve endings could alter adrenergic activity. It appears that the muscarinic receptor is activated at lower acetylcholine concentrations than is the nicotinic, but when both are stimulated maximally, the effect of the nicotinic receptor predominates. Thus, when sympathetic nerve endings are bathed in low concentrations of acetylcholine, there is little or no norepinephrine release. The addition of atropine causes increased norepinephrine release. At higher acetylcholine concentrations, additional norepinephrine is released as the nicotinic receptors are stimulated. The muscarinic receptors are believed to be of greater physiologic importance. The existence of prejunctional receptors may explain why systemic administration of muscarinic drugs in vivo causes blood vessel dilatation even though blood vessels are innervated almost exclusively by adrenergic fibers.

Muscarinic presynaptic receptors have been found on acetylcholine-releasing neurons of striated muscle.79 These may mediate a decrease in the release of neuronal acetylcholine by a feedback mechanism.80

A variety of prejunctional receptors, besides nicotinic and muscarinic ones, exist on acetylcholine-releasing neurons. Parasympathetic neurons have prejunctional alpha receptors that, when stimulated, may inhibit acetylcholine release.81 Another prejunctional receptor appears to be sensitive to the purine nucleotide coenzyme A. Coenzyme A is a major product of acetylcholine synthesis. Coenzyme A has been reported to act as a presynaptic inhibitor of acetylcholine release and could modulate cholinergic activity.82 Prejunctional prostaglandin receptors may also exist on parasympathetic nerve endings. Prostaglandins are released during parasympathetic activity83 and are reported to both facilitate and inhibit acetylcholine release.84,85 However, there are also reports that prostaglandins have no effect on parasympathetic motor neurons.86,87

INTRACELLULAR EFFECTS OF MUSCARINIC AGONISTS. Activated muscarinic receptors couple to specific intracellular proteins. This GTP-requiring coupling results in enzyme activation. Depending on the receptor subtype, phospholipase C may be activated and/or adenylcyclase activity increased or inhibited. Different effects have been reported by different laboratories.71,73 A consensus evaluation is that m1, m3, and m5 receptors strongly activate phospholipase C; m2 and m4 receptors strongly attenuate adenylcyclase activity while, to varying degrees, weakly increasing phospholipase C activity. Phospholipase C hydrolyzes phosphatidylinositol 4,5-biphosphate into myoinositol 1,4,5 triphosphate- and 1,2-diacylglycerol.89 In muscle cells, the most important intracellular response ultimately produced may be release of intracellular stores of calcium resulting in cell membrane depolarization and, as a secondary event, entry of extracellular calcium.90

Supersensitivity

In normally innervated striated muscle, nicotinic receptors are found almost exclusively at the motor endplate region (i.e., the density of receptors at myoneural junctions is more than 2500 times that at extrajunctional sites).91 Slow-twitch muscle fibers, such as the multiply innervated en grappe extraocular muscle fibers, tend to have more extrajunctional receptors than singly innervated fast-twitch fibers.92,93 Extrajunctional receptors have a short half-life of approximately 19 hours, whereas those in the myoneural junction tend to be more stable with a half-life of approximately 12 days.94

Denervation reduces the normal motor endplate nicotinic receptor half-life to approximately 3 days.95 These receptors are subsequently replaced by receptors having a shorter half-life, similar to that of the extrajunctional receptors of innervated muscle.96

When skeletal muscle is denervated, the number of receptors increases and they spread out from the myoneural junction.97,98 Approximately 3 to 4 days after denervation, receptors appear outside the original synaptic area. Their number is maximum in approximately 2 weeks. After 6 to 8 weeks of denervation, extrajunctional receptors are no longer found in the degenerating fibers.99 Electrical stimulation prevents this spread of receptors and reduces supersensitivity to acetylcholine.100–102 Disuse can produce a small increase in the number of receptors even if innervation is present.103,104

Denervation sensitivity in nicotinic structures may be associated not only with an increase in receptors but also with a decrease, or increase, in acetylcholinesterase activity.105–107 A decrease would explain why sensitivity to acetylcholine increases by a factor of 1000 while the number of receptors increases only 20- to 30-fold.108

The mechanism of parasympathetic muscle fiber supersensitivity is not as clear. There is some evidence that the number of receptors increases, although not dramatically.109 However, binding studies are unable to distinguish between presynaptic and postsynaptic receptors. Thus, the number of postsynaptic receptors could increase and the number of presynaptic receptors could decrease with little overall change in total binding. There is evidence that a fall in acetylcholinesterase activity occurs.110 Additional causes of supersensitivity for which there is evidence are (1) the receptors formed after denervation may be qualitatively different111 and (2) denervation may lead to a less stable muscle membrane, as shown by an increased sensitivity to extracellular ions such as potassium.112

Subsensitivity

Sustained activation of nicotinic or muscarinic receptors can result in subsensitivity (i.e., decreased muscle contraction on re-exposure to the agonist).113 In nicotinic receptors, desensitization has been associated with increased protein kinase A activity.114

In smooth muscle, prior atropine treatment prevents this effect. Pilocarpine stimulation does not reduce the number of receptors.115 Short-term (less than 1 hour) desensitization seems due to decreased agonist binding and/or inactivation of the intracellular coupling to guanylate cyclase. Longer-term desensitization seems due to decreased number and affinity of receptors. The half-life for receptor disappearance is 4 hours. The return of receptor sites (half-time = 6 hours) when acetylcholine is removed is more rapid than the return of their function (half-time = 16 hours).116

Muscarinic receptor desensitization is associated with two phenomena. One is phosphorylation of the receptor by a G protein-coupled kinase, which allows binding by a member of the arrestin family of proteins. Arrestin binding prevents coupling of the receptor with other G proteins. The major site for phosphorylation is on the receptor's third intracellular loop; there appear to be multiple phosphorylation sites on this loop.117 The other desensitization phenomenon is sequestration (i.e., internalization of the receptor away from the cell surface). Although sequestration may be facilitated by phosphorylation,118 the two phenomena occur by independent mechanisms.119

ACETYLCHOLINESTERASE

Acetylcholinesterase has been found in all cell membranes examined, even red blood cells.120 Its function in cholinergic systems is to terminate the action of acetylcholine by hydrolyzing the transmitter to choline and acetic acid. Acetylcholinesterase can also hydrolyze the peptide bonds found in neuropeptides, such as substance P and enkephalins.121 In addition, the acetylcholinesterase-containing protein molecule may also contain other enzymatic functions, such as Na-K activated ATPase.122 It may, therefore, play a role in the membrane permeability changes that occur after acetylcholine-receptor interaction.123

Acetylcholinesterase first binds the positively charged acetylcholine molecule at a negatively charged site, the “anionic” site. This anionic site is located in a cleft in the enzyme. The ionized rings of aromatic amino acids line the cleft and form the anionic site. Close to the anionic site is the catalytic “esteradic” site where hydrolysis occurs.124 This esteradic site is also located in the cleft, approximately 2 nm deep (i.e., halfway through the full thickness of the enzyme). The esteradic site itself consists of a triad of amino acids: a serine, a histidine, and a glutamic acid.125 After the anionic site has attracted, bound, and oriented acetylcholine, the esteradic site hydrolyzes acetylcholine in the sequence: acetylcholine-acetylcholinesterase → acetyl-acetylcholinesterase + choline → acetylcholinesterase + acetic acid + choline.

In addition, there is another anionic site on acetylcholinesterase located more distal from the esteradic site.126 It may help guide acetylcholine to the active cleft in the esterase. Binding to this secondary anionic site by some drugs seems to inhibit the action of the esteradic site, which may account for why large concentrations of acetylcholine inhibit acetylcholinesterase. However, other drugs (e.g., atropine), upon binding to the secondary anionic site, appear to activate the esteradic site. Edrophonium (Tensilon), procaine, curare, tetracaine, and decamethonium only seem to bind the anionic site that is near the esteradic site.127

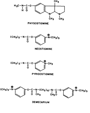
Edrophonium, like acetylcholine, has a quaternary amine that interacts with an indole ring of a tryptophan molecule located at the primary esteradic site.128,129 This places the meta hydroxyl group of edrophonium between the serine and histidine in the catalytic site, further blocking acetylcholine's approach.130 The phosphorylating and carbamylating cholinesterase inhibitors form covalent bonds with the serine in the esteradic site.131 Demecarium has additional potency because it inhibits the esteradic site and because its two nitrogen atoms interact with both the primary and secondary anionic sites, which are 1.4 nm apart.132

Acetylcholinesterase can be inhibited by a number of drugs. The result of this inhibition is that endplate potentials become more prolonged because individual acetylcholine molecules can repeat their effect.133 Inactivation of acetylcholinesterase causes the half-decay times of the endplate currents to increase from 1.5 to 2 msec to 3 to 10 msec. Acetylcholinesterase inhibitors may also act by competing with acetylcholine for nonspecific binding sites, thereby increasing unbound levels of acetylcholine.134

Acetylcholinesterase inhibition by organophosphorus compounds is irreversible unless the esteradic site is rapidly dephosphorylated by nucleophilic agents such as pyridine oximes.135 If reactivation is not rapid, the phosphorus group can no longer be removed by nucleophilic agents. The amount of acetylcholinesterase that can be reactivated decreases exponentially with time because of a process called “aging.”136 Aging occurs because of the release of an oxygen-bounded alkyl group from the enzyme-phosphorus complex.137,138 The rate of aging depends on the organophosphorus compound used.139 It can be retarded by prior administration of quaternary amines140,141 and imidazole-containing compounds, of which pilocarpine is an example.142,143 By using organophosphorus compounds, an estimate can be made of the rate of acetylcholinesterase synthesis (e.g., 50% of brain acetylcholinesterase activity has recovered 1.2 to 5.3 days after subcutaneous injection of soman).144 Cholinesterase inhibitors differ in their abilities to penetrate the cell membrane. Those that can penetrate will inhibit cytoplasmic as well as cell membrane acetylcholinesterase. Diisopropyl fluorophosphate (DFP, isoflurophate) is uncharged and can penetrate the cell membrane well. The recovery of cholinesterase activity is therefore longer (7 to 11 days) after DFP administration.145,146

Cholinesterase exists in two forms, asymmetric and globular.147 The asymmetric form consists of 1 to 3 catalytic subunits attached to a collagen-like tail 500 nm in length. Each of these catalytic subunits is a tetramer made up of 4 sub-subunits. Thus, asymmetric cholinesterase may contain 4, 8, or 12 sub-subunits. Each sub-subunit has a mass of 80 to 90 kd. Sub-subunits are joined together in pairs by a single covalent disulfide bond.148–150 Two of these pairs are held together by hydrophobic forces to create a tetramer. The collagen-like fibrous tail is a triple helix that anchors the enzyme to the cell membrane. At synaptic sites, the acetylcholinesterase is the 3-tetramer asymmetric form. Denervation of striated muscle results in a decrease of this form.151

The globular form consists of 1, 2, or 4 of the sub-subunits. Globular forms are attached to the cell membrane in various ways, one of which is by attachment to phosphatidylinositol. Human butyrylcholinesterase (also referred to as pseudo- or serum cholinesterase) is 95% globular tetramers; the remaining 5% monomers and dimers are believed to be degradation products.

The substrate specificities of acetyl- and butyrylcholinesterases are not due to their asymmetric or globular form. For example, small amounts of globular tetramers of acetylcholinesterase can be detected in serum. Similarly, although asymmetric cholinesterases are found only in peripheral nerve and muscle, both asymmetric acetylcholinesterase and asymmetric butyrylcholinesterase can be detected. Hybrids of acetylcholinesterase and butyrylcholinesterase exist. The tails of pure asymmetric acetylcholinesterase and pure asymmetric butyrylcholinesterase are significantly different in structure.152

Smooth-muscle membranes contain the 3-tetramer asymmetric form of acetylcholinesterase as well as other forms. Although the absence of discrete myoneural junctions results in there being relatively less of the 3-tetramer asymmetric form compared with striated muscle fibers, it is interesting that the smooth muscles with the highest percent are the mammalian iris and ciliary body.153

Back to Top
OCULAR CHOLINERGIC SYSTEMS
In the past, a cholinergic system was defined as consisting of a triad: choline acetyltransferase, acetylcholine, and muscarinic or nicotinic receptors. If these three components were found in proximity, one of three types of cholinergic systems could be identified: (1) a parasympathetic motor nerve ending-smooth muscle junction, (2) a nicotinic nerve-striated muscle “myoneural” junction, or (3) a neuron-neuron synapse. However, the definition of a cholinergic system is no longer clear-cut. Are prejunctional nicotinic and muscarinic receptors on adrenergic nerve endings part of a cholinergic system? Is a structure without innervation (such as the placenta) that contains large amounts of choline acetyltransferase and acetylcholine, cholinergic?154 The following discussion will present evidence for the existence of cholinergic components in ocular tissues. It should also be remembered that pharmacologic doses of drugs may act at sites not affected by physiologic doses (i.e., proteins that do not normally act as receptors may respond to high concentrations of drugs).

CHOLINE ACETYLTRANSFERASE

The corneal epithelium,155 iris, ciliary body,156 and retina156 of some mammals, including humans, contain large amounts of choline acetyltransferase activity.157 Nonmammals, such as turtles, have retinal photoreceptors containing choline acetyltransferase activity.158 Ross and McDougal159 have found that the inner plexiform layer contains the highest level of enzyme activity in mammalian retina.

ACETYLCHOLINE

Large quantities of acetylcholine have been detected in the corneal epithelium but not in the stroma or endothelium.160–162 Investigations have attempted to link corneal acetylcholine with ion transport163 and touch sensation.164 Acetylcholine activity has also been detected in iris, ciliary body, retina, and choroid.165–167 Dowling and Boycott,168 using electron microscopy, have observed vesicles in retina that are similar to those associated with acetylcholine storage.

ACETYLCHOLINESTERASE

Significant levels of acetylcholinesterase have been found in the corneal epithelium, with lesser amounts in stroma.169–171 Fresh primary aqueous and vitreous humors contain virtually no cholinesterase activity, but secondary aqueous or aqueous humor removed after eyes have been refrigerated 5 to 6 hours does contain increased activity, mainly that of butyrylcholinesterase.172 The increase in secondary aqueous activity is attributed to breakdown of the blood-aqueous humor barrier and to penetration of serum cholinesterase. The increase in cholinesterase activity on storage is attributed to postmortem cellular autolysis of tissues bordering the ocular fluids. Human sclera, iris, ciliary body, retina, choroid, and optic nerve also contain acetylcholinesterase.173,174 Most of the iris enzyme activity is in the sphincter region.175 In mammalian retinas, most acetylcholinesterase activity has been found in the amacrine cells of the inner plexiform layer.176–178 Low concentrations of acetylcholinesterase, limited to the anterior capsular region, have been found in human lenses.179 No cholinesterase activity has been found in retinal blood vessels.180

RECEPTORS

Muscarinic receptors have been identified in rat extraorbital lacrimal gland.181 Their existence in corneal epithelium has been difficult to establish. They were not found in preparations of disrupted rabbit corneal epithelial cells182,183 but were found in cultures of rabbit,184–186 bovine,187 and human188 epithelium. Multiple subtypes of muscarinic receptors have been identified in rabbit corneal endothelium.186,190 Messenger RNA for m3 receptors has been found in human corneal epithelium, corneal endothelium, trabecular meshwork, anterior lens epithelium, iris epithelium, ciliary epithelium, and ciliary muscle.191 Muscarinic receptors are in mammalian iris sphincter and, to a lesser degree, iris dilator muscle.192–195 These latter receptors may be part of a reciprocal cholinergic innervation.196 Whereas mammalian iris contains muscarinic receptors, avian iris contains nicotinic receptors.197

M3 muscarinic receptors are present in rabbit,198,199 bovine,200 and human iris sphincters.201 M1 receptors are present in ciliary processes.202 M3 receptors predominate in human ciliary muscle,201 although the M2 subtype is also present.191 In both the circular and longitudinal portions of the ciliary muscle there is strong expression of m2, m3, and m5 messenger RNAs; the m2 and m3 messenger RNAs are more prominently expressed in the circular portion.203 M3 receptors have also been identified in human trabecular meshwork cells.204

In mammalian retina, there is evidence that cholinergic receptors are present.205–207 Muscarinic receptors are present in the human inner plexiform layer, and nicotinic binding sites have also been identified.208 In nonmammalian retina, nicotinic binding sites have been found in bipolar cell and amacrine cell synapses of the inner plexiform layer.209

CHOLINE UPTAKE

The corneal epithelium appears to have a low-affinity choline uptake system and not the high-affinity system associated with cholinergic nerve endings.210 The retina, however, does have a high-affinity choline uptake system.211–213 It is assumed that it is located in the membranes of the inner plexiform cells that synthesize acetylcholine. In addition, mammalian photoreceptor cells and lenses, which do not synthesize acetylcholine, also have a high-affinity choline uptake system.214,215 Thus, cells that use large amounts of choline, as would be needed for phospholipid synthesis, may contain the high-affinity system.

CHOLINERGIC NEURONS

There are difficulties with each of the techniques used to determine which ocular neurons are cholinergic.

Denervation Studies

One method is to remove the cholinergic innervation to ocular structures and examine histologically for neuronal loss. Unfortunately, this begs the question because the experimenter first defines, a priori, which nerve trunks are cholinergic. For example, the cornea has been examined for parasympathetic innervation by removal of the ciliary ganglion.216 However, a variable number of trigeminal nerve sensory fibers pass through the ciliary ganglion without synapsing.217,218 Loss of these, if detected, would be incorrectly interpreted as evidence of corneal cholinergic innervation.

Acetylcholinesterase Histochemistry

The assumption has been made that acetylcholinesterase is a marker of cholinergic neurons. However, it can be found by biochemical assay in all cells. Laties and Jacobowitz219 identified cholinergic innervation of the iris sphincter and ciliary body on the basis of cholinesterase stains. They were probably correct, but the ubiquitous distribution of the enzyme reduces the specificity of this approach.

Clear Vesicles

Nomura and Smelser220 identified clear vesicles in the nerve terminals of iris dilator muscle, iris sphincter muscle, and trabecular meshwork. They assumed that these contained acetylcholine and were cholinergic. Although acetylcholine is stored in clear vesicles, it is not as certain that all clear vesicles contain acetylcholine.

Back to Top
OCULAR CHOLINERGIC PHARMACOLOGY

NICOTINIC DRUGS

Direct-Acting Nicotinic Agonists

This class of drugs does not play a role in ophthalmology.

Indirect-Acting Nicotinic Agonists

Cholinesterase inhibitors increase cholinergic activity in both muscarinic and nicotinic structures. With two exceptions, these drugs are used by the ophthalmologist for their muscarinic effects. One exception is their use in the diagnosis of myasthenia gravis.

Intravenous edrophonium (Tensilon) and, to a lesser extent, intramuscular neostigmine221 have been the cholinesterase inhibitors used most frequently.

Edrophonium (Fig. 1) is a short-acting cholinesterase inhibitor. It carries a positive charge, enabling it to bind with the negatively charged “anionic” site of acetylcholinesterase. The bulky cyclic structure of edrophonium physically blocks the approach of acetylcholine to the “esteradic” site. In addition, electrostatic hydrogen bonding of the hydroxyl group of edrophonium causes inactivation of the esteradic site. Acetylcholine hydrolysis is inhibited because it must compete with edrophonium for both the “anionic” and “esteradic” sites. Edrophonium's binding to both enzyme sites is weak and short lived.

Fig. 1. Edrophonium has a quaternary amine, giving it a positive charge. It will react with the anionic site on cholinesterase. However, edrophonium will not react with the esteradic site because it has no ester bond.

The side effects of intravenous edrophonium are the result of its action on muscarinic structures (bowel, bladder, and heart). They include abdominal cramping, urinary incontinence, bradycardia, and cardiac arrest.222,223 However, the diagnostic value of edrophonium in myasthenia gravis resides in its nicotinic action: the striated musculature contracts more vigorously. Therefore, the side effects of edrophonium can be prevented without interfering with the drug's diagnostic efficacy by simultaneously administering a muscarinic blocking agent, such as atropine. This could be done as follows: Two syringes are used. One contains saline; the other contains atropine, 0.4 mg, and edrophonium, 10 mg. Neither the patient nor the physician evaluating the response knows which of the two solutions is being injected. The nurse gives one syringe to the physician for injection. Three tenths of the volume is injected rapidly, and the response is evaluated during the next minute. If this is well tolerated, the remainder is injected and the response is evaluated. The contents of the second syringe are then injected in the same manner. Only after the patient and physician have committed themselves to an evaluation of the relative efficacy of the two syringes does the nurse identify which contained the edrophonium.

Several different parameters have been suggested for evaluating the edrophonium response. The objective improvements in ocular and lid motility have been of primary interest to the ophthalmologist. Glaser and co-workers224,225 used tonography to document the increased extraocular muscle tonus. They reported a mean 2-mmHg increase in intraocular pressure within 1 minute of injecting 10 mg edrophonium in 15 myasthenic patients. All 15 had unilateral, but not always bilateral, responses. The maximum elevation was 5 mmHg. The response could occur in less than 10 seconds, but the mean response interval was approximately 20 seconds226 to 35 seconds.227 Although there were no false-positive results in the 10 control patients in Glaser and co-workers' study, false-positive results can occur.227,228 Wray and Pavan-Langston228 found that the intraocular pressure increase was greater in myasthenic patients without ophthalmoplegia than in those with ophthalmoplegia.

Kornbleuth and colleagues229 used electromyographic recordings of the extraocular muscles when testing with edrophonium. In their small series, only patients with myasthenia gravis showed an increase in electrical activity. Campbell and associates227 used electronystagmography to study the effect of edrophonium on the fatigue induced by optokinetic nystagmus. A beneficial response occurred in 50% of 17 myasthenia gravis patients given edrophonium injections. There were no false-positive reactions among 18 normal subjects. However, these authors found the test to be of only limited value because of the marked variations in amplitude and rate of optokinetic nystagmus among subjects.

Edrophonium increases the peak saccadic velocity in myasthenic patients but decreases it in normal controls.230 The use of topical cholinesterase inhibitor drops in the treatment of ocular myasthenia gravis has been suggested,231 but their value is not well documented.

Cholinesterase inhibitors are also used for their nicotinic effects in the treatment of pediculosis of the lashes. The cholinesterase inhibitors are pesticides and kill by producing respiratory arrest. Cholinesterase inhibitors used primarily for their intraocular effects are relatively ineffective pesticides. Physostigmine 0.1% in peanut oil and 0.25% ointment kill the adult form of the crab louse (Phithirus pubis), but the nits are more resistant and must be removed with forceps.232,233 Malathion is more effective and relatively safe because it is rapidly inactivated by human serum carboxylesterases. Within 5 minutes of exposure, 100% of lice are killed, and after 10 minutes of exposure 96% of eggs will not hatch. Two problems encountered when using malathion around the eyes are that commercial preparations contain a high (e.g., 78%) alcohol content and the drug gives off a foul-smelling sulfhydryl degradation product.

Demodex folliculorum is another pest infesting the lids. It is quite resistant to ophthalmic preparations. It can survive 3 or more days in 0.125% echothiophate, 0.25% demecarium, or 0.1% diisopropyl fluorophosphate.234

Nicotinic Antagonists

Two classes of nicotinic blocking agents exist: nondepolarizing antagonists (e.g., curare) and depolarizing antagonists (e.g., succinyldicholine).

NONDEPOLARIZING ANTAGONISTS. Neuromuscular Blockade. Duke-Elder and Duke-Elder235 showed that acetylcholine and nicotine caused contraction of dog extraocular muscles and that curare, but not atropine, could block these responses. Muscarine was subsequently shown to have a very weak contractile effect that could be blocked by atropine.236 Until the work of Katz and Eakins,237 it was believed that the ocular muscles were more sensitive to the blocking effects of nondepolarizing agents, such as curare and gallamine, than were the peripheral skeletal muscles.238 Katz and Eakins found that the reverse seemed true (e.g., a systemic dose of curare that paralyzed the cat anterior tibial muscle produced only a 50% block of the twitch response of the superior rectus). Their work was supported by Sanghvi and Smith.236 Systemic administration of nondepolarizing relaxants, such as alcuronium,239 atracurium,240,241 fazadinium,242 metocurine, and pancuronium,243 is associated with a lowering of intraocular pressure. Some of these have a rapid onset and short duration of action, which makes them useful as induction agents for intubation. These drugs also differ in their cardiovascular effects. For example, alcuronium and curare lower arterial blood pressure, whereas pancuronium increases blood pressure and heart rate.244

An effective neuromuscular block with atracurium or vecuronium lasts approximately 30 minutes, making these agents intermediate in their duration of action. Atracurium, unlike the shorter-acting depolarizing antagonist succinyldicholine, undergoes rapid ester hydrolysis at physiologic pH independent of serum butyrylcholinesterase activity. Large doses of atracurium have been suggested as a substitute for succinyldicholine induction because the former does not produce extraocular muscle contraction.245,246 Atracurium 0.5 mg/kg did not produce a significant rise in intraocular pressure in subjects under steady-state nitrous oxide general anesthesia, but succinyldicholine 1 mg/kg did, from a mean baseline of 5.6 mmHg to 13.2 mmHg. Vecuronium seems to act in a manner similar to that of atracurium.247,248

Mivacurium, at a dose of 0.15 mg/kg, has a slower onset of action (approximately 2.5 minutes) than succinyldicholine. At this dose, mivacurium's striated muscle block lasts approximately 16 minutes. Mivacurium, unlike atracurium and vecuronium, is inactivated primarily by butyrylcholinesterase.

Traction on the extraocular muscles during general anesthesia produces slowing of the heart. As stated earlier, pancuronium produces a tachycardia, which is protective. Strabismic children under general anesthesia who received pancuronium had heart rates that dropped from 120 ± 17 beats per minute to 94 ± 25 beats per minute.249 Patients receiving atracurium had pulse rates that fell from 86 ± 20 beats per minute to 34 ± 22 beats per minute, and 40% developed an additional arrhythmia besides the bradycardia. From a cardiac viewpoint, pancuronium has advantages in strabismus surgery.

Ganglionic Blockade. Transmission in sympathetic ganglia (e.g., superior cervical ganglion) and parasympathetic ganglia (e.g., ciliary ganglion) is primarily nicotinic. Several investigators have looked at ocular effects that might be related to partial blockade at this level. Gallamine250 and pancuronium251 administration have been associated with a lowering of intraocular pressure. This may have been due, in part, to a reduction in systemic blood pressure. Intubation for general anesthesia produced tracheal irritation and a reflex increase in blood pressure. When throats were not anesthetized with topical anesthesia, the intraocular pressures 5 minutes after gallamine injection remained at baseline; when throats were anesthetized, the intraocular pressures were below baseline. The reductions in intraocular pressures produced by pancuronium were significant but were not dose related with the use of 0.01 to 0.08 mg/kg. Trimetaphan, a short-acting ganglionic blocking agent, administered intravenously produced reductions in intraocular pressure from preoperative values of 13 to 17 mmHg to intraoperative values of 3 to 4 mmHg as the systolic blood pressure fell to 60 mmHg.252

Hexamethonium and pentamethonium, 2 mg/kg, given intramuscularly to conscious subjects caused a mean maximum fall in intraocular pressure of 9 mmHg.253 The decline was present within 30 minutes of injection and persisted for 3 hours. This effect was attributed to a blockade of sympathetic ganglia and a resultant lowering of systemic blood pressure. Barnett253 treated hypertensive patients for 9 to 11 weeks with these drugs. He reported an improvement in the hypertensive retinopathy. However, these drugs produced an orthostatic hypotension that was disabling, which limited their use.

Retrobulbar tetraethylammonium injection in human subjects has produced mydriasis.254 The pupil remained dilated longer than 6 hours and did not constrict after topical physostigmine. Ciliary ganglion blockade also produced cycloplegia.255,256 Decreased tearing has been attributed to blockade of the sphenopalatine ganglion after systemic administration of tetraethylammonium.255

Based on the assumption that sympathetic superior cervical and stellate ganglia fibers innervate and constrict the retinal arterioles, ganglionic blocking agents have been used in the treatment of central retinal artery occlusions, in the hope that the vessels would dilate and the embolus pass to a more distal arterial branch. However, there is little evidence that they are beneficial, and it can be argued that they may further reduce the perfusion blood pressure to the eye.

Botulinum Toxin. Botulinum toxins are produced by the anaerobic bacteria Clostridia botulinum. Each of eight different strains produces an immunologically distinct form of the toxin: A, B, C1, C2, D, E, F, and G. Four, A, B, D, and E, have been shown to block cholinergic function. They bind to unmyelinated cholinergic nerve terminals and prevent the release of quantal acetylcholine.257,258 Death occurs by paralysis of the respiratory muscles; doses as low as 1 ng per kilogram body weight can be lethal in humans.259

Botulinum toxins are zinc-dependent proteases that attack proteins linking the acetylcholine-containing vesicles to the synaptic axon membrane. Calcium is no longer able to trigger a functional release of the transmitter.28 The structure of botulinum A toxin has been fully sequenced.260 Type A botulinum toxin attacks a soluble 25-kd cytoplasmic attachment protein, SNAP-25,29,261,262 abolishing quantal (i.e., functional) acetylcholine exocytosis; some nonquantal acetylcholine release does persist. The toxin does not block the neuron's action potential, the synthesis or storage of acetylcholine, the vesicle number, or calcium entry.263 The initial binding site of botulinum A toxin is a sialic acid-containing site on the external neuron surface; this attachment can be antagonized by lectins.264 Once inside the neuron, botulinum toxin can no longer be neutralized by antitoxins.

Type A botulinum toxin is more effective at nicotinic neuromuscular junctions than at nicotinic ganglion synapses or parasympathetic neuromuscular junctions. It has been used to treat essential blepharospasm, blepharospasm associated with facial dyskinesias, hemifacial spasm, nonparalytic and thyroid ophthalmopathy-induced strabismus, paralytic strabismus, nystagmus, corneal exposure, and entropion.265–278

The toxin is injected into the muscle to be rendered paretic or subcutaneously in the adjacent area. The effect is dose dependent. Multiple small doses (e.g., 0.001 to 0.003 μg; 2.5 to 7.5 U) or fewer but larger doses may be given. The onset of effect is within 48 hours, and the maximum effect may take 5 to 6 days to develop. The results are usually transient and average 2 to 3 months in duration.

Histologic examination of orbicularis muscle fibers after prolonged treatment of blepharospasm failed to show morphologic changes. However, the motor neurons had many unmyelinated axon sprouts, most of which ended blindly; those ending on muscle fibers were able to elicit new and multiple motor end plates at previously nonsynaptic sites.279,280

In general, botulinum A treatment is of little value in strabismus in which the eye muscle movements are restricted, and it is of less value than traditional surgery in comitant deviations.281 Retrobulbar injections, used to treat nystagmus and oscillopsia, may be of temporary value depending, in part, on the amount and duration of ptosis produced.282–285 Complications occur from local spread of toxin to adjacent muscle fibers and from an inability to accurately predict the magnitude of the effect. Ptosis is one of the most common complications caused by local spread of toxin.286 Ptosis, partial or complete, can at times be of therapeutic value (e.g., before recovery from Bell's palsy).287–289 Deliberate ptosis can be achieved by injecting botulinum A toxin along the superior orbital roof, approximately 25 mm behind the superior orbital rim.

Clinical signs of systemic toxicity have not been reported, but there is evidence of subtle systemic effects (e.g., abnormal electromyographic recordings in arm muscle fibers of patients receiving 0.005 μg of toxin).290 Neurologists treat dystonias with relatively large doses of botulinum A toxin; these may produce only subtle distant electromyographic changes but are likely to elicit neutralizing antibodies that limit the toxin's usefulness.291–293 A distinction should be made between non-neutralizing antibodies, which may have no clinical significance, and neutralizing antibodies.294

DEPOLARIZING ANTAGONISTS. Extraocular Muscle Effects. The depolarizing antagonists, such as succinyldicholine, decamethonium, and hexacarbacholine (Fig. 2), paralyze striated voluntary muscles throughout the human body but have a different effect on the extraocular muscles. The extraocular muscles respond with a sustained contraction. This was first noted by Hofmann and Holzer,295 who reported that the contraction of the extraocular muscles caused an increase in human intraocular pressure. This observation was supported by Lincoff and co-workers.296,297 The maximum intraocular pressure reported is 55 mmHg.298

Fig. 2. Succinyldicholine and decamethonium mimic the structure of acetylcholine to some extent. Succinyldicholine is two molecules of acetylcholine joined at the acetate ends. It and decamethonium will cause a sustained contraction of those extraocular muscle fibers that are multiply innervated.

The shortening effect and increased muscle tension created by succinyldicholine have been measured in humans.299 The drug always produced contraction in the horizontal and vertical recti muscles. The results in the oblique muscles were variable.

The explanation is that there are two types of extraocular muscle fibers. In the center of each muscle, typical striated muscle fibers, with a single myoneural junction (en plaque fibers), are most numerous. These are paralyzed by succinyldicholine. However, the surface layers contain fibers with multiple myoneural junctions. These are the “en grappe” fibers. Their innervation has the appearance of a bunch of grapes. It is these fibers that respond to succinyldicholine with a sustained contraction.300–302 The strength of contraction depends on the dose of succinyldicholine and the number of multiply innervated fibers. In sheep superior oblique muscle, succinyldicholine produces only 7% of the force generated by maximum electrical stimulation of the entire muscle.303 In cats, up to one third of the whole muscle force has been generated by succinyldicholine.304 Succinyldicholine causes a partial reduction in the resting membrane potential and a localized contraction in the area around each myoneural junction.305 Because these junctions are found along the entire length of the en grappe fiber, most of each fiber is depolarized and shortened.306 However, unlike en plaque fibers, which are capable of generating action potentials, the en grappe fibers are believed to respond to both neuronal impulses and succinyldicholine with slow, graded contractions (i.e., they are unable to conduct action potentials).307 This may explain why Kornbleuth and colleagues229 found a dissociation between ocular muscle electrical activity and the elevation of intraocular pressure. They performed simultaneous tonography and electromyography on subjects given succinyldicholine. They expected to find that the increase in intraocular pressure was proportional to the degree of extraocular muscle electrical activity. Electromyography was performed on antagonistic vertical or horizontal recti of the same eye in subjects receiving 5, 10, 15, or 20 mg succinyldicholine. These doses were too small to produce apnea. A 2- to 4-mmHg increase in intraocular pressure occurred in patients under general anesthesia, and a 5- to 14-mmHg increase occurred in conscious volunteers. The duration, but not the magnitude, of the ocular pressure elevation appeared to be dose related. The rise in intraocular pressure elevation occurred just as the electrical activity of the extraocular muscle was reduced. The inability of the en grappe fibers to conduct action potentials may explain this dissociation.

Curare, but not atropine, blocked the sustained contraction produced by succinyldicholine in animal studies.308 Katz and Eakins237 found evidence that the en plaque fiber response to depolarizing antagonists was quantitatively different for eye muscles and skeletal muscles (e.g., the dose of succinyldicholine needed to depress the twitch response of the superior rectus muscle was greater than that needed to block skeletal muscles). This difference was less when decamethonium was used.

Each of the six human extraocular muscles contains multiply innervated and singly innervated fibers in about the same proportions: in the periphery, 92% ± 10% are multiply innervated, and in the center, 33% ± 12% are multiply innervated.309 The contractile effect of succinyldicholine on the en grappe fibers is generally considered undesirable. However, Hannington-Kiff310 suggested that the anesthesiologist use the resultant change in interlimbal distance to monitor the action of succinyldicholine. The interlimbal distance in 35 patients under general anesthesia before succinyldicholine injection was 52.9 mm ± 4.3 mm. Ninety seconds after injection, this distance had decreased to 49 mm ± 5.5 mm. One minute after the return of spontaneous respirations, the interlimbal distance was near baseline values, 51.4 mm ± 3.3 mm. The duration of succinyldicholine stimulation of en grappe fibers and the duration of succinyldicholine paralysis of en plaque fibers appeared similar. Taylor and associates311 also found that the intraocular pressure returned to baseline with the onset of spontaneous respirations. Pandey and co-workers312 studied the time course of the ocular pressure elevation in 34 patients given succinyldicholine in a dose of 1.5 to 2 mg/kg. An increase in intraocular pressure was present in less than 1 minute, peaked in 2 to 4 minutes, and returned to baseline in 6 minutes.

Succinyldicholine stimulation of the extraocular muscles results in a variable amount of enophthalmos; as much as 3.25 mm has been reported.313 The conjunctival vessels dilate,314 and the forced-duction test may suggest a mechanical restriction for up to 20 minutes.315

Mindel and colleagues316 theorized that the basic deviation of the eyes was produced by the balance of forces exerted by the multiply innervated muscle fibers. They used intravenous succinyldicholine to stimulate these fibers and to remove the influence of the singly innervated fibers, which were paralyzed. Under general anesthesia, esotropic patients became esotropic when 2 mg/kg was injected. Exotropic patients became exotropic.317 Despite this qualitative success, the measured amount of drug-induced ocular deviation did not agree closely with that in the conscious patient. These authors believed that this incongruity was due to A and V pattern effects, that is, in conscious patients the eyes could be maintained in the primary position by fixation, whereas in anesthetized patients the eyes could move vertically as well as horizontally. Lingua and associates318 have reported similar findings. In addition, they found a correlation between the ocular position induced by succinyldicholine immediately after strabismus surgery and the 1-week postoperative result.

Intraocular Muscle Effects. Abramson319 used ultrasound to measure anterior chamber depth and lens thickness in human subjects given 1 mg/kg succinyldicholine intravenously. Succinyldicholine caused a rapid increase in anterior chamber depth and a decrease in lens thickness. This effect was present within 20 seconds, was maximal in 45 to 210 seconds, and disappeared in 3 to 5 minutes. Abramson attributed this effect to a relaxation of accommodation. However, there was no change in the diameter of the pupil. It is unlikely that succinyldicholine would decrease the activity of only one of the two parasympathetic structures innervated by the ciliary ganglion.

Side Effects. Succinyldicholine may produce a bradycardia. This is usually associated with multiple injections. However, asystole has been reported after a single dose.320 Succinyldicholine and, to a lesser degree, its first hydrolysis product, succinylmonocholine, are responsible for this cardiac effect.321

Succinyldicholine is inactivated by esterase hydrolysis. The apnea produced by respiratory muscle paralysis may be prolonged in patients with genetically322 or acquired reduced serum cholinesterase activities.323,324 Chronic systemic absorption from topical cholinesterase inhibitor eyedrops can result in such an effect.325 In one report, a reduction of serum cholinesterase activity 62% below normal from echothiophate eyedrops permitted endotracheal intubation using a total of only 9.5 mg succinyldicholine.326 Decamethonium, because it is excreted unmetabolized, is not dependent on the level of serum cholinesterase activity for termination of its effect.

There are at least four alleles, at a single locus, that control the type of serum cholinesterase made by the liver: normal, dibucaine resistant, fluoride resistant, and silent genes. Approximately 1 in 4000 in the population will develop prolonged apnea after succinyldicholine injection. This is the incidence of a person having both genes abnormal. Approximately 1 in 400 in the population will be a normal dibucaine-resistant heterozygote and will develop a shorter but still significantly prolonged apnea. Other factors reducing serum cholinesterase activity are hepatic disease,327 malnutrition, anemia, severe dehydration, late pregnancy,328 and systemic absorption of cholinesterase inhibitors. In one study, 5% of a general surgical population had decreased serum cholinesterase activity.329

The sustained contraction of the extraocular muscles after succinyldicholine injection poses a threat if there is a preexisting perforating laceration or if an incision is to be made into the eye (e.g., cataract extraction). Expulsion of the intraocular contents can result from the steady squeezing of the eye muscles. Lincoff and colleagues297 mentioned three personal communications linking the use of succinyldicholine to this complication. There are several ways it can be avoided: After succinyldicholine injection, the intraocular pressure is monitored with a tonometer until it returns to normal. Use of depolarizing nicotinic antagonists is avoided. Alternatively, a pharmacologic antagonist can be used to prevent the effect. With regard to this last suggestion, cholinesterase inhibitors are not of value. Although they reverse the action of nondepolarizing muscle relaxants (e.g., curare), they prolong and enhance the action of depolarizing drugs.330 Theoretically, pretreatment with small doses of curare or succinyldicholine itself might prevent succinyldicholine-induced ocular muscle contraction. However, the results are conflicting.331,332 Macri and Grimes333 found that prior curare injection prevented ocular hypertension in cats given succinyldicholine. Because both drugs competed for the same receptor, multiple doses of succinyldicholine overcame the curare effect. Miller and associates334 found that 1 mg/kg succinyldicholine produced a mean intraocular pressure increase of 8.5 mmHg in 10 control subjects. Parenteral gallamine, 20 mg, or curare, 3 mg, administered 3 minutes before succinyldicholine, prevented this effect in both glaucomatous and normal subjects. However, when Meyers and co-workers335 studied the value of curare, 0.09 mg/kg, or gallamine, 0.3 mg/kg, given 3 minutes before 1 to 1.5 mg/kg succinyldicholine, they found that ocular pressure elevations still occurred (e.g., in 10 patients with a mean intraocular pressure of 13 ± 1 mmHg, curare did not prevent an elevation to 24 ± 1.3 mmHg). Pancuronium, 0.14 mg/kg, also was ineffective.336 Katz and colleagues337 found that hexafluorenium, which is both a nondepolarizing (curarelike) blocking agent and a plasma cholinesterase inhibitor, in doses of 0.4 mg/kg, prevented the rise in intraocular pressure from succinyldicholine, 0.3 mg/kg. Hexafluorenium was effective only if it was injected before succinyldicholine, not after it.

Perhaps the preceding inconsistencies result from the multiplicity of factors that can affect the intraocular pressure (e.g., depth of anesthesia, serum O2 and CO2 levels, venous pressure, and tracheal stimulation). Barbiturates, given to induce anesthesia, can reduce muscle endplate currents.338 When thiopental was injected 2 minutes before succinyldicholine, 1 mg/kg, there was no significant increase in ocular pressure.339 Macri and Grimes333 disinserted all the extraocular muscles in cats. This reduced, but did not prevent, an increase in intraocular pressure after succinyldicholine. Taylor and associates311 reported that in 25 of 29 patients, the blood pressures 1 minute after succinyldicholine injection were elevated. These may have contributed to the short-term elevations in ocular pressure.

The blood pressure elevations could be because succinyldicholine raises blood catecholamine levels. Succinyldicholine, but not curare, increased plasma norepinephrine levels immediately after injection.340 Succinyldicholine, 1 mg/kg, produced a peak norepinephrine elevation 3 minutes after injection, raising levels from a mean of 301 pg/mL at baseline to 647 pg/mL. The increase had disappeared by 10 minutes. The elevation in epinephrine levels was less marked and became insignificant by 2 minutes.

Wynands and Crowell341 found that 50% of patients given succinyldicholine had a rise in intraocular pressure. In 3 of 18 subjects, the elevation was more than 10 mmHg. However, endotracheal intubation alone produced a rise of more than 10 mmHg in 10 of 23 subjects. Lewallen and Hicks342 and Craythorne and co-workers298 reported conflicting results in subjects without intubation. The former found that injection of 40 mg succinyldicholine did not raise human intraocular pressure; the latter found that continuous infusion of 0.1% to 0.2% succinyldicholine did.

A most intriguing study was that of 15 patients having uniocular enucleations.343 These subjects were anesthetized with 3 to 4 mg/kg thiopental intravenously and maintained with halothane or isoflurane and nitrous oxide/oxygen. No premedications were used. All six extraocular muscles were severed from the eye to be enucleated. Intraocular pressures were then obtained bilaterally. Succinyldicholine 1.5 mg/kg was administered and the intraocular pressures were measured every 30 seconds for 5 minutes. The systolic and diastolic blood pressures were not significantly different before and 90 seconds after succinyldicholine administration, but the intraocular pressures were significantly and maximally elevated bilaterally at this time. Surprisingly, there was no significant difference in the mean ± SE intraocular pressure rise between those eyes with severed muscles and those eyes with muscle insertions intact. The presuccinyldicholine injection intraocular pressures of the normal and muscle-severed eyes were, respectively, 15.1 ± 1 mmHg and 16.1 ± 1 mmHg. At 90 seconds after succinyldicholine injection, the respective intraocular pressures were 25.2 ± 1.6 mmHg and 24.7 ± 1.8 mmHg. Perhaps an increase in venous blood pressure produced these bilateral results, but the apparent lack of an extraocular muscle effect is inexplicable.

MUSCARINIC DRUGS

Direct-Acting Muscarinic Agonists

GENERAL CONSIDERATIONS. The ocular effects of this class of drugs include reduction in intraocular pressure; stimulation of the iris sphincter, producing miosis; and stimulation of the ciliary muscle, producing accommodation. Examples of direct-acting muscarinic drugs are muscarine, pilocarpine, aceclidine (3-acetoxyquinuclidine), arecoline, and acetyl β-methylcholine (methacholine, Mecholyl) (Figs. 3 through 5). In high concentration, pilocarpine also stimulates choline acetyltransferase synthesis of acetylcholine,344 but this is probably of little clinical significance.345

Fig. 3. Naturally occurring direct-acting muscarinic agonists.

Fig. 4 . Synthetic congeners of acetylcholine. Acetyl β-methylcholine is a muscarinic agonist. Carbachol is both a nicotinic and a muscarinic agonist.

Fig. 5. The direct-acting muscarinic agonists aceclidine and arecoline are, like pilocarpine, tertiary amines. They penetrate the corneal epithelium more readily than do the positively charged quaternary amine drugs.

Isopilocarpine is a naturally occurring stereoisomer of pilocarpine present in very small amounts in most preparations of the drug.346 Isopilocarpine has one tenth the binding affinity of pilocarpine for bovine ciliary muscle and has very little pharmacologic activity.

Carbachol (carbamylcholine) is both a direct-acting muscarinic agonist and a direct-acting nicotinic agonist. In addition, it has indirect agonist activities (i.e., it is a cholinesterase inhibitor). This last action results from the NH2 substitution on the acetyl group of carbachol. It markedly reduces the molecule's susceptibility to hydrolysis by acetylcholinesterase but does not prevent carbachol from competing with acetylcholine for the anionic and esteradic sites of acetylcholinesterase. This interference with acetylcholine hydrolysis results in a further increase in cholinergic activity. Aceclidine, too, is slightly cholinesterase resistant and has weak anticholinesterase activity.

Pilocarpine's structure is quite different from that of acetylcholine. Either of the nitrogen atoms in the imidazole ring can become positively charged and bind to the anionic receptor site. Pilocarpine does not have the classic muscarinic agonist structure of acetylcholine (N-C-C-O-C-C). However, pilocarpine's interatomic spacing (N-C-C-C-C) may mimic it.347 Evidence exists that the intrinsic muscarinic activity of pilocarpine is less than that of acetylcholine and carbachol.348,349 However, additional factors play a role in determining clinical efficacy. These are primarily pharmacokinetic. For example, acetylcholine and acetyl β-methylcholine are hydrolyzed by tissue esterases and may not reach the site at which their action is desired. Inhibiting tissue cholinesterases increases the efficacy of both drugs. Arecoline, aceclidine, and pilocarpine are tertiary amines and can penetrate the corneal epithelium more readily than the positively charged quaternary amines such as acetylcholine, carbachol, and acetyl β-methylcholine. This correlates with the lipid solubilities of these drugs. As measured with toluene: pH 6.5 buffer, the partition coefficient of arecoline is 0.1; pilocarpine, 0.033; aceclidine, 0.002; and carbachol, <0.0001.350 The pHs of eyedrops and tears alter the proportions of nonionized drug (e.g., the ability of arecoline and oxotremorine to reverse mydriasis increases as a function of the pHs of their solutions).351 Drugs that are ionized at all pHs, such as carbachol, are concentration dependent, not pH dependent. The poor corneal penetration of carbachol resulted in Clarke352 finding marked variability in its ability to lower intraocular pressure. O'Brien and Swan353 performed a corneal massage through the lids of human subjects. This allowed a 0.09% carbachol solution to be as effective a miotic as a 1.5% to 4.5% carbachol solution. Topical anesthetics and surfactants also aided penetration (e.g., the addition of 0.03% benzalkonium to 1.5% carbachol produced significant accommodation for 48 hours).

Accurate estimates of corneal penetration by pilocarpine have been impaired by the use of tritiated molecules. Asseff and co-workers354 gave anesthetized monkeys eyedrops of 1% to 8% tritiated pilocarpine. They reported approximately 3% corneal penetration at 5 minutes. Chrai and Robinson,355 studying rabbits, found similar levels after applying unpurified tritiated pilocarpine but only 0.13% corneal penetration at 5 minutes after applying purified material. Maximum penetration occurred at 20 minutes and was 0.18%. At 2 hours, the aqueous humor concentration was 0.03% of the administered dose. These authors attributed the previous higher values to tritium exchange between pilocarpine and its solvent during storage. Penetration of the tritiated solvent resulted in falsely high estimates of corneal penetration. Krohn and Breitfeller356 applied two drops of 2% pilocarpine HCl (approximately 2000 μg) to corneas of patients under general anesthesia; the pilocarpine concentration in the aqueous humor was not more than 5 μg/mL.

Pilocarpine can be administered from continuous-release membranes (Ocusert) made of polymerized ethylenevinylacetate. Ideally, the low-dosage form (Ocusert P20) releases 20 μg/h and the high-dosage form (Ocusert P40) releases 40 μg/h. However, Armaly and Rao357 found that the in vitro release rates from membranes supposedly dispensing 20 μg/h, 50 μg/h, and 80 μg/h were two and one half to three times their projected rates during the first 7 hours of use. Between 7 and 24 hours, the release rates remained slightly elevated, but within the next 24 hours they fell to slightly below their projected levels and continued to decline. After 3 to 4 days, the release rates were 78%, 88%, and 81% of those expected. These results may explain why the glaucoma of two of Armaly and Rao's patients was controlled for the first 2 days of membrane use but not thereafter.

Pilocarpine has also been applied as a polymer emulsion358,359 and as a gel. Both provide prolonged drug delivery to the eye and, compared with drops, longer duration of action. The gel is available commercially as 4% pilocarpine HCl in a viscous aqueous acrylic gel vehicle; this concentration of pilocarpine approaches the binding limit of the polymer used to make the gel. A single daily application of the gel has a hypotensive effect for 24 hours. For the first 18 hours, this effect is indistinguishable from that elicited by 4% pilocarpine eyedrops given four times a day in terms of both pressure and pupillary diameter.360 For hours 18 to 24, the drops are more effective.361

Pathology can alter pharmacokinetics and drug response. Patients with such diverse pathology as atopy and trisomy 21 are said to be more sensitive to muscarinic agonists and antagonists.362,363

Patients with intraocular inflammation inactivate pilocarpine. Schonberg and Ellis364 found that the primary aqueous humor of humans and rabbits did not inactivate pilocarpine, but serum and secondary aqueous did. Ten percent of 500-μg pilocarpine was inactivated by 200 μL of secondary aqueous humor in 1 hour. Inactivation could be prevented by heating serum to 60°C for 10 hours, by dialysis, or by the addition of some (e.g., penicillamine and ethylenediaminetetraacetic acid), but not all, chelating agents. Inactivation could not be inhibited by anticholinesterase drugs. Rabbit serum was more active against pilocarpine than human serum. Only at high pilocarpine concentrations were human ocular tissues (cornea, iris-ciliary body, lens, retina, and choroid) more active than the corresponding rabbit ocular tissues.365 Lee and colleagues366 found that pigmented rabbit corneas inactivated pilocarpine much more effectively than did albino rabbit corneas.

OCULAR PHARMACOLOGY Iris Sphincter Muscle. ANIMAL STUDIES. Pilocarpine has less intrinsic muscarinic activity than the endogenous transmitter acetylcholine. As a result, Swan and Gehrsitz367 found that rabbits given topical 0.25% physostigmine or 0.1% DFP had less miosis if 4% pilocarpine was previously administered. If pilocarpine were injected into the cornea after maximum DFP miosis, a transient dilatation occurred. These results were consistent with pilocarpine-acetylcholine competition for the same receptors.

Miosis in mammals is associated with M3 receptor activation and increased phospholipase C activity.368,369 Feedback inhibitory prejunctional muscarinic receptors on sympathetic neurons of the iris dilator muscle seem to be of a different subtype.199 In rabbits, these prejunctional receptors respond to methacholine, oxotremorine, muscarine, and carbachol by inhibiting norepinephrine release; atropine can block this effect.370

Denervation supersensitivity of the rat iris sphincter is not associated with a change in muscle fiber resting potential but is associated with increased sensitivity to calcium.371,372 Thus, supersensitivity could be due to an increased release of intracellularly bound calcium and/or an increased influx of extracellular calcium.

Bito and Banks373 administered DFP drops chronically to monkeys and then discontinued the drug. They observed several interesting pupillary phenomena, one of which was a diminished response to direct-acting muscarinic agonists during the recovery period. For at least 3 days after discontinuing DFP, the pupils responded to light but did not respond to carbachol or pilocarpine. Similar results were obtained in the cat.374 These results may have been produced from an acquired subsensitivity of the sphincter muscarinic receptors (i.e., a subsensitivity produced by the prior high acetylcholine concentrations). Another possibility is that the greater intrinsic agonist activity of acetylcholine, compared with that of pilocarpine and carbachol, became manifest. Other data from this laboratory,375 confirmed by Claesson and Barany,376 suggested that an alteration of muscarinic receptor sensitivity had occurred. Exposure of feline eyes in vivo to continuous light resulted in subsensitivity to pilocarpine, whereas light deprivation resulted in increased sensitivity. After 7 days in ambient light of 1200 lumens/m2, the irides became insensitive to pilocarpine. Surprisingly, subsensitivity to carbachol or acetyl β-methylcholine could not be demonstrated in vitro. Hemicholinium (which reduces acetylcholine synthesis) injected intravitreally in vivo resulted in increased sensitivity to administered muscarinic agonists. Barany377 reported that chronic administration of pilocarpine drops did not produce subsensitivity in experimental animals challenged with intravenous pilocarpine. However, after prolonged treatment in the form of continuous-release membranes, pilocarpine did produce subsensitivity.

Perhaps the explanation for the aforementioned phenomena is miosis from peptide transmitters. There is evidence that the neurotransmitter substance P, identified in trigeminal nerve fibers, produces miosis.378 Mandahl379 has suggested that, in the rabbit, the miosis elicited by cholinesterase inhibitors and pilocarpine is primarily the result of release of substance P from trigeminal nerve endings in the iris. According to this theory, continuous application of cholinesterase inhibitors and pilocarpine would deplete the stores of substance P, resulting in a reduced response, whereas the acetylcholine release by light-stimulated parasympathetic fibers would remain intact.

HUMAN STUDIES. Lowenstein and Loewenfeld380 and Newsome and Loewenfeld381 studied the iris using pupillography. Drops of 1% to 2% pilocarpine were given to volunteers without ocular disease. The onset of miosis, maximum miosis, and duration of miosis varied greatly from person to person. Maximum miosis occurred in 25 to 45 minutes, was maintained for 1 to 3 hours, and required 24 to 36 hours for full recovery. The pupillary reflex to light persisted unless miosis was maximal. However, during the recovery phase, the light response was markedly diminished. When submaximally effective concentrations of pilocarpine (e.g., 0.1%) were followed by submaximal concentrations of a cholinesterase inhibitor (e.g., 0.1% physostigmine), the results were additive.

Ogle and associates382 and Morgan and co-workers383 also used pupillography to study miosis in normal subjects. They reported latencies after 1% pilocarpine of 9.8 ± 0.9 minutes. The latencies for 0.75% carbachol and 0.25% physostigmine were 13.7 ± 2.2 minutes and 13.9 ± 1 minutes, respectively. The rates of miosis and amounts of maximum miosis were less for carbachol than for pilocarpine and physostigmine, yet all three drugs required about the same time to produce their maximum effect. The times required for recovery to 50% of the predrop pupil diameters were: carbachol, 164 ± 46 minutes; pilocarpine, 271 ± 109 minutes; and physostigmine, 456 ± 28 minutes. The latency of mydriasis from 0.5% tropicamide (Mydriacyl) was similar to the latency of miosis from pilocarpine. The changes in pupillary diameter due to light stimuli during the latency periods of both pilocarpine and tropicamide were similar; the amounts and maximum rates of pupil constriction after onset of action also were similar.

After the short-term application of various direct-acting muscarinic agonists, the response produced by the light reflex was reduced.384 This may have represented competition between residual exogenous agonists, with weaker intrinsic activity, and the endogenous agonist acetylcholine, with more potent intrinsic activity. The light reflex required approximately 24 hours to recover after 2 drops of 2% pilocarpine, 7 hours to recover after 10 drops of 0.2% arecoline hydrobromide, and 24 hours to recover after 10 drops of 0.2% aceclidine hydrochloride.

Ciliary Muscle. ANIMAL STUDIES. Tornqvist385–387 studied accommodation in monkey eyes. Intramuscular pilocarpine over a dose range of 0.2 to 2 mg/kg appeared to have equal affinity for iris and ciliary muscle. The lowest dose caused 2 diopters (D) or less of accommodation, and the highest dose always caused more than 12 D of accommodation. One monkey was given higher doses of pilocarpine, and the myopia paradoxically decreased: 2 mg/kg produced 20.3 D of accommodation, 5 mg/kg produced 11.7 D of accommodation, and 50 mg/kg produced 8 D of accommodation. Similarly, small doses of systemic carbachol, 0.005 to 0.1 mg/kg, produced increasing accommodation, but larger doses, 0.1 to 0.5 mg/kg, produced decreased accommodation. This phenomenon could not be reproduced by using high concentrations of topical muscarinic agonists. Retrobulbar anesthesia did not prevent this paradoxical effect, indicating that central nervous system and ganglionic effects were not the cause. Intravenous atropine prevented, or reversed, the paradoxical effect. A topical dose of pilocarpine that produced half the maximum accommodative effort was 100 times more than that needed to produce half the maximum miosis. Because systemically administered pilocarpine did not exhibit this difference, it was concluded that pharmacokinetic factors resulted in more drug reaching the iris than reached the ciliary muscle after topical application.

Barany388 studied subsensitivity of the monkey's ciliary muscle after a single drop of topical carbachol given unilaterally. For approximately 1 week, the accommodative response in the treated eye was less than that in the untreated eye after systemic administration of pilocarpine, carbachol, or bethanechol. The reasons for this effect were not clear, but the author did not believe the answer was a reduction in the number of muscarinic receptors or a reduction in their binding characteristics.

In monkeys, the loss of accommodation that occurs with aging is not associated with a reduction in the number of ciliary muscle muscarinic receptors.389

The agonist aceclidine is less effective in producing accommodation than in increasing miosis and outflow facility. Studies in monkey eyes found that M3 receptors predominate in ciliary muscle, iris sphincter muscle and trabecular meshwork (i.e., the differences in pharmacologic responses could not be attributed to different muscarinic receptor subtypes).390,391

After ciliary ganglionectomy, monkey ciliary muscle supersensitivity to pilocarpine was associated with a 12% to 84% reduction in muscarinic receptors.392 The magnitude of this seemingly paradoxical finding is difficult to explain simply by attributing it to the loss of prejunctional muscarinic receptors on nerve endings.

HUMAN STUDIES. Ciliary body thickness was measured in volunteers by the use of ultrasound.393 Two hours after applying a drop of 2% pilocarpine, the increase in mean thickness was 0.06 mm. Anterior chamber depth was measured after single and multiple drops of 2% or 4% pilocarpine.394 All subjects showed a decrease in anterior chamber depth after a single drop of pilocarpine. This shallowing remained significant for the 6 hours that measurements were made. When compared with the untreated eye, a single drop of 2% pilocarpine produced a mean maximum shallowing of 0.09 mm that occurred 3 hours after instillation; 4% pilocarpine produced a mean maximum shallowing of 0.07 mm that occurred 4.5 hours after instillation. Pilocarpine (2%), every 6 hours, produced a mean maximum anterior chamber narrowing of 0.12 mm. This was not significantly different from the single-drop effect. One week after chronic therapy was discontinued, the mean depth of the treated eye was not significantly different from that of the control eye. Abramson and colleagues395 confirmed that the anterior chamber shallowing effect from 2% pilocarpine, as well as the increase in lens thickness, was similar after single-drop and chronic (10-day) therapy.

Hallden and Henricsson396 produced with-the-rule astigmatism in 10 young men by asymmetrically contracting the ciliary body. This was achieved by applying a cotton pledget containing 10% pilocarpine to the temporal bulbar conjunctiva for 3 minutes, creating 0.75- to 2 D myopia with an axis between 0° and 20°.

Intraocular Pressure. The site at which muscarinic drugs act to lower intraocular pressure is a subject of controversy. Their effect is believed to be local, although an occasional report raises the possibility of a systemic effect (e.g., Willetts397 reported that normotensive subjects given unilateral pilocarpine drops had a bilateral decrease in ocular pressure). However, subjects with a mean plasma level of 2.9 ng/mL, delivered by skin patches, did not have a significant reduction in intraocular pressure.398

The different mechanisms of action that have been proposed include a decrease in aqueous humor secretion; an increase in removal of aqueous humor by active transport; an increase in removal of aqueous humor by passive trabecular outflow (from increased iris sphincter tone, increased ciliary muscle tone, or decreased episcleral venous pressure); and an increase in removal of aqueous humor by way of nontrabecular routes.

AQUEOUS HUMOR SECRETION. The data from different laboratories are inconsistent. Becker399 found that pilocarpine drops increased rabbit aqueous humor formation in vivo. Green and colleagues400 reported that acetylcholine and pilocarpine produced an increase in rabbit aqueous humor secretion in vitro. Macri and Cevario401 administered pilocarpine intra-arterially to enucleated cat eyes and also found an increase in aqueous humor secretion; however, outflow facility was increased, producing an overall reduction in intraocular pressure. Berggren402,403 found the opposite results. He used in vitro thinning of rabbit ciliary processes as a measure of secretion. Pilocarpine 10-9 mol/L, physostigmine 10-7 mol/L, acetylcholine 10-5 mol/L, and carbachol 10-5 mol/L inhibited secretion. The therapeutically inactive stereoisomer of pilocarpine, isopilocarpine, did not block secretion. Atropine 10-7 mol/L alone had an inhibitory effect402 and also prevented the more potent pilocarpine effect.403 However, when intravenous pilocarpine, 2 mg/kg, was injected in vivo 5 minutes before the in vitro studies, there was no evidence of altered secretion.

Edwards and colleagues,404 using constant-pressure perfusion, measured the effect of unilateral topical 4% pilocarpine on monkeys under general anesthesia. Pilocarpine caused an increase in aqueous humor production. However, Walinder and Bill405 found in vervet monkeys that infusion of pilocarpine 10-4 mol/L into the anterior chamber produced a reduction in aqueous humor formation of approximately 1 μL/min; atropine infusion 3 × 10-5 mol/L abolished the pilocarpine effect.

Barsam406 found that the hypotensive effect of pilocarpine lasted longer than the duration of increased outflow facility in human subjects. He believed that pilocarpine was producing a reduction in aqueous humor secretion. However, fluorophotometry of normotensive eyes has provided evidence that pilocarpine has only a minor effect on aqueous humor formation, which is to increase secretion by approximately 14%.407 This may or may not be true for the glaucomatous eye as well.

Muscarinic agonists might alter aqueous humor secretion by altering ciliary blood flow. Stjernschantz and Bill408 studied cholinergic control of uveal blood flow in anesthetized animals. Stimulation of the intracranial third nerve altered the blood flow to the iris and ciliary body but not to the retina and choroid. In the cat, the ciliary body blood flow was increased; in the rabbit, it was decreased; and in the monkey there was no statistically significant effect. In all three species, the iris blood flow was decreased by third-nerve stimulation. Intravenous atropine blocked this iris effect in all three species and prevented the increased ciliary body blood flow in cats.

AQUEOUS HUMOR ACTIVE TRANSPORT. Large vacuoles have been observed in the endothelium of the inner wall of Schlemm's canal. It has been suggested that they represent the result of active transport of aqueous humor. Holmberg and Barany409 found that monkey eyes treated with pilocarpine had a reduced number of vacuoles. Lutjen-Drecoll410 placed 20 μg pilocarpine hydrochloride into the anterior chambers of monkeys and then studied the eyes with electron microscopy. Large vacuoles were rarely encountered. Grierson and associates411 studied the enucleated eyes of eight patients with melanomas. Pilocarpine drops were given before their removal. These were compared with 11 control eyes but not in a masked manner. There were more than twice the number of large vacuoles in the pilocarpine-treated eyes. However, the authors' results from baboon eyes led them to conclude that the increased vacuolization was not due to a direct effect of pilocarpine on the endothelium of Schlemm's canal. Instead, they attributed the vacuoles to a secondary effect from increased trabecular flow.412

INCREASE IN PASSIVE AQUEOUS HUMOR OUTFLOW. Most investigations have dealt with this mechanism of muscarinic action. Edwards and co-workers404 found that topical 4% pilocarpine caused more than a doubling in monkey eye outflow facility, from 0.41 ± 0.04 μL/min/mmHg to 1.09 ± 0.14 μL/min/mmHg. Atropine alone had no effect. Barany413 found that pilocarpine, administered topically or injected into the anterior chamber, increased vervet monkey facility of outflow. Two components appeared to be present, because atropine, injected intravenously or intraocularly, reversed part of the increase in 3 to 5 minutes and the remainder in approximately 30 minutes. Lutjen-Drecoll410 studied electron micrographs of monkey eyes and found that the trabecular pore area in contact with the inner wall of Schlemm's canal correlated, after pilocarpine administration, with the outflow facility.

In humans, the hypotensive effect of pilocarpine is usually, but not always, associated with an increase in outflow facility. Outflow facility, accommodation, and pilocarpine-induced accommodation decrease with age. However, the pilocarpine-induced increase in outflow facility and reduction in intraocular pressure were found not to decrease with age.414 Pilocarpine, using gonioscopy to evaluate the drug's effect, seems to produce a bowing inward of the trabecular meshwork toward the anterior chamber and away from the canal of Schlemm.415

Gaasterland and colleagues416 found that normotensive subjects given a single drop of 4% pilocarpine had, within 2 hours, a reduction in mean intraocular pressure from 14.6 to 11.2 mmHg and an increase in outflow facility from 0.24 to 0.40 μL/min/mmHg. Willetts417 studied the effect of 2% pilocarpine, three times a day for 4 to 5 days, in normal eyes. Although intraocular pressures declined, he found no significant alterations in outflow facility. Krill and Newell418 found that normal and glaucomatous eyes responded to four-times-a-day pilocarpine therapy with a reduction in pressure that was proportional to the initial pressure (i.e., the higher the initial intraocular pressure, the greater the absolute amount of pressure reduction). However, the percent declines were similar: 8% to 38% in normal eyes and 12% to 40% in glaucomatous eyes.

Although pilocarpine increased the initial outflow facility, there was no correlation between the magnitude of the increase and the fall in pressure. In two normal and five glaucomatous eyes there was little or no outflow facility increase. Grant,419 Becker and Friedenwald,420 and Harris and Galin421 reported similar findings. Barsam406 and Flindall and Drance422 reported a temporal dissociation between the effects of muscarinic agonists on outflow facility and intraocular pressure. Barsam406 found that the effect on outflow facility reached a maximum at 2 hours and then dissipated so rapidly that it appeared that pilocarpine was acting through a decrease in aqueous humor formation. Flindall and Drance422 reported a dissociation in the opposite direction. Five hours after a single unilateral drop of 0.75% or 1.5% carbachol, the intraocular pressure reduction was no longer significant. However, the outflow facility remained increased, by 24.5% and 24.1%, respectively, compared with that of the control eye. Kronfeld423 found that a single drop of pilocarpine produced, in general, more lowering of intraocular pressure than could be explained by the increase in outflow facility. This was true whether the drop was given to normotensive subjects or to glaucoma patients. In the latter, therapy had been discontinued 1 week before the test drop. Lieberman and Leopold424 reported that aceclidine lowered intraocular pressure without increasing outflow facility. Investigations of the mechanism by which increased outflow facility occurs have dealt with the following actions:

IRIS SPHINCTER CONTRACTION. The hypotensive action of muscarinic agonists could result from miosis if the iris base pulled on the scleral spur and widened the trabecular meshwork pores. However, there is little evidence to support such a mechanism. In glaucomatous beagles, the miosis from muscarinic agonists is maximal at 45 to 120 minutes postinstillation, after which recovery begins; however, the hypotensive action is greatest 2 to 5 hours after instillation. Thorburn425 gave normal human eyes a 4% pilocarpine drop. The pupillary diameter was minimum at 30 minutes, but the intraocular pressure was not significantly decreased. O'Brien and Swan353 reported that three eyes with surgical sphincterotomies continued to respond to 1.5% carbachol with a reduction in intraocular pressure below 20 mmHg. Mapstone426 found that 2% pilocarpine followed by 10% phenylephrine lowered intraocular pressure in normal eyes from a baseline of 14.9 mmHg to 13.7 mmHg and increased outflow facility from 0.25 μL/min/mmHg to 0.33 μL/min/mmHg; measurements were made 90 minutes postinstillation. When a second drop of phenylephrine was given 2.5 hours after the first, there was an insignificant decrease in intraocular pressure and the outflow facility increased from 0.33 μL/min/mmHg to 0.38 μL/min/mmHg. Bito and Merritt427 dissociated the miotic effect of pilocarpine from the hypotensive effect in monkeys. Chronic treatment with echothiophate resulted in pilocarpine producing full miosis and an increase in intraocular pressure instead of the pretreatment reduction.

CILIARY MUSCLE CONTRACTION. Flocks and Zweng428 investigated the possibility that ciliary muscle contraction pulled on the scleral spur and widened the trabecular pores. Pilocarpine drops were given to one eye of monkeys and atropine to the other. The monkeys were killed with intraperitoneal pilocarpine. Eyes were examined histologically and by gonioscopy. These investigators believed the histologic appearance was that of trabecular lamellae being stretched and separated in the eyes receiving pilocarpine. Gonioscopy was stated to be too insensitive to allow evaluation. When Jampel and Mindel429 unilaterally stimulated the nucleus of accommodation in the midbrain of macaque monkeys, up to 10 D of accommodation was achieved. Maintenance of this marked accommodation for 100 seconds did not alter intraocular pressure relative to the control eye; however, Armaly and Burian430 found that accommodation in normal human subjects caused a more rapid decline in the intraocular pressure during tonography. Thorburn425 reported that the maximum increase in outflow facility in normal human eyes occurred 30 to 60 minutes after a 4% pilocarpine eyedrop and coincided with the refractive change that occurred from ciliary muscle contraction. However, the temporal course of the ocular hypotensive effect did not coincide with either the outflow facility or the degree of accommodation. Abramson and colleagues395,431 found that individual pilocarpine drops in glaucoma patients on chronic therapy produced maximum lens thickening and shallowing of the anterior chamber in 1 hour. By 2 hours, these effects were almost gone, but the hypotensive action was maintained far longer. Grierson and associates411 studied human eyes given pilocarpine before enucleation. The scleral spurs in treated eyes appeared to be pulled more posteriorly, widening the scleral sulcus by a mean value of approximately 15° but narrowing the lumen of Schlemm's canal.

Kaufman and Barany432 disinserted and recessed surgically the ciliary muscles of monkey eyes. Not only did this not result in elevated intraocular pressures, but the intraocular pressures remained lower than in control eyes during the more than 1-year period after disinsertion. Perhaps cyclodialysis clefts had been created. However, because outflow facility did not increase when intravenous and intraocular pilocarpine was injected 12, 33, and 56 weeks postoperatively, these authors believed that their model supported the ciliary muscle-scleral spur traction theory.

It has also been proposed that the pull of the ciliary muscle might act to lower intraocular pressure by pulling open a collapsed canal of Schlemm.433,434

In final consideration of the ciliary muscle-scleral spur traction theory, it is interesting to note that one of the beneficial aspects of pilocarpine sustained-release therapy (Ocuserts) is that a dissociation is created between the degree of hypotension and the degree of induced myopia. Maximum hypotension occurs with minimal stimulation of the ciliary muscle. François and colleagues435 reported that the miosis, myopia, and shallowing of the anterior chamber were less with the Ocusert P20 than with 2% pilocarpine drops. The mean accommodative myopia was: age 20 to 40 years, 5.8 D with drops versus 0.8 D with Ocusert; age 40 to 60 years, 1.3 D with drops versus 0.3 D with Ocusert; and age greater than 60 years, 0.2 D with drops versus 0.0 D with Ocusert.

EPISCLERAL VENOUS PRESSURE. The aqueous humor collection channels eventually empty into the episcleral venous circulation. If the episcleral venous pressure were increased or decreased by muscarinic agonists, the rate of aqueous humor outflow would be decreased or increased, respectively. Wilke436 found that topical 2% pilocarpine produced a transient rise in intraocular pressure in normal human eyes. The elevation was 2 to 5.5 mmHg and lasted 20 to 40 minutes. It was followed by a reduction in intraocular pressure beginning 40 to 60 minutes postinstillation. The early period of pressure elevation was associated with dilatation of conjunctival and episcleral vessels and an increase in episcleral pressure of 3.5 to 5 mmHg lasting 9 to 17 minutes. Gaasterland and associates416 gave normotensive human subjects a single drop of 4% pilocarpine and reported that 1 hour later, during the hypotensive phase, there was virtually no change in episcleral venous pressure (i.e., it was 9.3 ± 0.3 mmHg before pilocarpine and 9.5 ± 0.4 mmHg 1 hour after pilocarpine administration).

NONTRABECULAR OUTFLOW PATHWAYS. The pseudofacility seen on tonographic tracings may represent, at least in part, aqueous humor outflow by routes other than the trabecular meshwork. Bill and Walinder437 instilled 10-4 mol/L pilocarpine unilaterally in monkey eyes. Uveoscleral flow was decreased, compared with that of the control eye, whereas drainage by way of the trabecular system was increased and intraocular pressure was elevated by a mean value of 2.6 ± 0.7 mmHg. These authors theorized that contraction of the ciliary muscle caused the diminished uveoscleral flow. Gaasterland and co-workers416 found that topical 4% pilocarpine, given to normotensive humans, increased pseudofacility during the hypotensive response.

Lacrimation. The lacrimal gland receives a parasympathetic innervation that may control secretion. In familial dysautonomia there is decreased lacrimation, and it has been suggested that this innervation may be deficient. However, topical solutions of 2.5% and 20% acetyl β-methylcholine failed to increase lacrimation in 12 and 6 dysautonomic subjects, respectively, although miosis occurred. Failure was defined as less than a 5-mm increase in Schirmer paper strip wetting. The phenotypically normal parents of these patients also failed to respond with increased lacrimation.438 Smith and colleagues439 injected acetyl β-methylcholine intravenously. The effect on lacrimation was determined by observation only. Increased lacrimation occurred in normal controls at infusion rates of 2.5 to 11.7 μg/kg/min. In patients with dysautonomias, increased lacrimation occurred at infusion rates that were lower, 0.4 to 2.8 μg/kg/min. This confirmed the earlier observation by Kroop,440 who produced lacrimation in patients with dysautonomias with subcutaneous acetyl β-methylcholine. These results were consistent with the finding that acetyl β-methylcholine was ineffective topically because it could not reach the appropriate lacrimal receptors.

DeHaas441 reported three patients with unilateral sensory and/or motor paresis of the lacrimal reflex. Pilocarpine, 7 to 10 mg parenterally, produced lacrimation on the damaged side. In only one subject was the effect on the contralateral normal side stated; it also was increased.

THERAPEUTICS. Open-Angle Glaucoma. A number of studies found that lowering the intraocular pressure preserved the vision of patients with chronic open angle glaucoma.442–448

Drance and Nash449 gave 1%, 2%, 4%, and 8% pilocarpine hydrochloride in 0.5% hydroxypropyl methylcellulose, pH 4.5, to 12 ocular hypertensive patients without field loss. Intraocular pressures were recorded every 15 minutes for the first hour and hourly thereafter for 7 more hours. Each concentration of pilocarpine was given as a single drop a week apart, and the order of concentrations was randomized except for the 8% solution, which was always given last. During the first hour, there was usually a pressure rise. A statistically significant intraocular hypotensive effect occurred between hours 1 and 2 and lasted for nearly 8 hours. The reduction from 1% pilocarpine was about half maximal and was of shorter duration. Although higher concentrations gave dose-related increased reductions in ocular pressure, the 8% solution was no more effective than the 4% soultion. However, a maximum increase in outflow occurred in some patients at 8%; in some patients, the maximum outflow effect occurred at 1% or 2%. Harris and Galin421 also found that the 8% pilocarpine solution was no more effective than the 4% solution in lowering ocular pressure.

Worthen450 studied the effect of pilocarpine, 2% or 4%, four times a day, on the diurnal pressure curve of open-angle glaucoma patients. Pilocarpine not only lowered the intraocular pressure by a mean value of 9 mmHg but it also flattened the diurnal curve by decreasing the maximum fluctuation from 18.5 mmHg before treatment to 8.5 mmHg during treatment. The maximum pressure-lowering effect of pilocarpine occurred between 9 AM and 6 PM. Pratt-Johnson and colleagues451 found that 4% pilocarpine four times a day was less effective in controlling the diurnal variation than 0.06% echothiophate twice a day. The mean variation while on pilocarpine was 12 mmHg and that while on echothiophate was 7 mmHg.

Rothkoff and associates452 investigated whether the hypotensive response to a single drop of 2% pilocarpine would predict the efficacy of chronic treatment. There were three parts to their study: (1) one drop of 2% pilocarpine hydrochloride was instilled at 8 AM and the pressure was measured hourly for 4 hours; (2) all subjects were subsequently admitted and administered pilocarpine every 4 hours beginning at 6 AM and ending at 10 PM, with intraocular pressures measured hourly from 7 AM to 11 PM; and (3) all subjects were discharged on 2% pilocarpine and followed at monthly intervals for 3 months. Rothkoff and co-workers found that they could not predict whose intraocular pressure would be controlled consistently below 24 mmHg but that they could, from the single-drop response, predict whose would not be controlled. These authors also found that hypotensive efficacy did not correlate with initial intraocular pressure. Subjects responding to the single drop with a pressure below 24 mmHg had baseline pressures of 30.7 ± 5.2 mmHg; these were not significantly different from those of the failures, which were 33.4 ± 4.6 mmHg. Data from other studies leave doubt that a single application of pilocarpine will predict the efficacy of chronic therapy. Van Hoose and Leaders453 found that pilocarpine accumulated in the cornea (i.e., the cornea acted as a reservoir). This might explain why Harris and Galin421 did not find significant dose-related differences in the hypotensive action of single drops of 1% to 10% pilocarpine. These were given to 25 open-angle glaucoma patients off therapy for 3 weeks. However, on chronic therapy, 4% and 8% concentrations were more efficacious than a 1% concentration. The mean percent decline in ocular pressure at 90 minutes from a single drop was 1% pilocarpine, 18.25%; 4% pilocarpine, 18.78%; and 10% pilocarpine, 20.85%. One week of chronic therapy produced mean declines of 1% pilocarpine, 17.48%; 4% pilocarpine, 26.76%; and 8% pilocarpine, 29.07%. These authors noted that there seemed to be two populations of responders to the single drops. One group responded with a marked fall in intraocular pressure (i.e., 34%) to a single drop of 1% pilocarpine; this group responded similarly to the 10% solution (i.e., with a 35% decrease in pressure). The other population responded relatively poorly to 1% pilocarpine (8% decline) and to the higher concentrations as well (16% decline).

In subjects with maximum intraocular pressures of 24 to 37 mmHg, Flindall and Drance422 found that a single drop of carbachol had a maximum hypotensive effect at 4, 4, and 2 hours for 0.75%, 1.5%, and 3% solutions, respectively. The two lower concentrations produced similar maximum responses. Recovery was complete at 6 hours for 0.75% carbachol and at 8 hours for 1.5% carbachol, whereas a near maximal response remained 8 hours after the 3% solution. The absolute reduction in intraocular pressure was greater, in millimeters of mercury, for eyes with higher baseline values. However, when expressed as percent reduction, there was no difference.

There appeared to be no consistent advantage to substituting carbachol for pilocarpine. When 26 patients on 2%, 4%, or 6% pilocarpine four times a day were changed to 3% carbachol three times a day, 18 had either no additional benefit or an elevation in intraocular pressure. The remaining 8 patients had an additional mean 4.3-mmHg reduction in intraocular pressure.454

Barsam406 found that open-angle glaucoma subjects taken off 2% pilocarpine therapy for 48 hours and given a single drop of 2% pilocarpine or 0.03% or 0.06% echothiophate had maximum pressure reduction 2 to 4 hours after the pilocarpine and 4 to 6 hours after the echothiophate. The maximum hypotensive effect was similar for all three solutions, but the duration of effect was greater for the echothiophate solutions.

Romano455 used a double-masked cross-over study to compare 3 weeks of three-times-a-day instillation of 2% aceclidine and 2% pilocarpine in open-angle glaucoma patients. Both were effective, and the differences between them were insignificant with regard to hypotensive effect, outflow facility effect, and miosis.

The hypotensive action of a sustained-release form of pilocarpine (Ocusert) was simulated using eyedrops every 3 minutes.456 The minimum effective dose was between 10 and 30 μg/h. Armaly and Rao357 found that membranes dispensing 50 μg/h were more effective in open-angle glaucoma therapy than were 20-μg/h membranes. This was confirmed by Drance and associates.457 Release rates higher than 40 μg/h were no more effective.357,457

Intraocular pressure control 4 hours after insertion of a 20-μg/h membrane was similar to that 4 hours after instillation of a 2% pilocarpine eyedrop.357 The duration of hypotensive efficacy of this membrane was at least 1 week; that of a membrane releasing 40 μg/h was at least 10 days.

The concept of “tolerance” to muscarinic agonists and the beneficial effects of “rest therapy” are occasionally encountered. For example, Clarke352 found that subjects no longer responsive to pilocarpine therapy would respond after a pilocarpine-free period. Inactive solutions and patient noncompliance were not considered in explaining this phenomenon. Pharmacologically, it is difficult to understand why tolerance would develop so infrequently and why reinstitution of therapy would not result in a reappearance of tolerance. Sustained-release therapy (Ocusert) provides continuous exposure to pilocarpine and would be expected to lead to an increased incidence of tolerance, but this has not been reported (e.g., Worthen and co-workers458 found that membrane therapy for periods up to 8 months was as effective as pilocarpine drops).

Muscarinic agonists and β-sympathetic receptor blocking drugs have an additive effect. A solution containing 4% pilocarpine and 0.5% timolol administered twice a day produced a greater mean ± SD reduction in intraocular pressure (9.2 ± 5.1 mmHg) in glaucoma patients than did 4% pilocarpine four times a day (5.6 ± 3.6 mmHg) or 0.5% timolol twice a day (7.5 ± 5 mmHg).459–461 Similar results have been reported for combination solutions of pilocarpine-carteolol.

Transient Ocular Hypertension. Yttrium-aluminum-garnet laser capsulotomies and argon laser trabeculoplasties are often followed by a transient elevation in intraocular pressure. Pilocarpine (4%) drops administered immediately after laser therapy reduce the frequency and degree of these complications.462,463 In pilocarpine-treated trabeculoplasties, the mean intraocular pressure 2 hours after the procedure was 22 mmHg, whereas in the untreated group the mean was 28 mmHg.

Twenty-five glaucoma patients never treated pharmacologically had laser trabeculoplasties preceded 1 hour before by two drops of 2% pilocarpine; their mean ± SD maximum increase in intraocular pressure in the first 2 hours post-treatment was 2.4 ± 4.4 mmHg.464

The use of viscoelastic substances during cataract surgery is often associated with a transient postoperative elevation in intraocular pressure. Intracameral carbachol (0.01%), given in volumes of 0.1, 0.25, or 0.5 mL at the conclusion of surgery, was more effective than saline in controlling the intraocular pressure during the following 48 hours.465 Most effective was the 0.5-mL volume. This was confirmed in another study in which 8 of 30 eyes receiving saline had intraocular pressures exceeding 25 mmHg at 6 hours and 4 eyes exceeded 25 mmHg at 18 hours.466 None of the 30 patients receiving 0.5 mL 0.01% intracameral carbachol exceeded 25 mmHg at 6 hours, and only 1 of these 30 eyes exceeded 25 mmHg at 18 hours. One inch of 4% pilocarpine gel, placed in the cul-de-sac at the conclusion of surgery, was also effective.467 Intracameral acetylcholine (1%) was effective at 3 and 6 hours after surgery but not at 9 hours and 24 hours.468

Closed-Angle Glaucoma. Pilocarpine drops have been used to break attacks of acute closed-angle glaucoma. The rationale behind their frequent success is that the lax iris base is pulled taut and away from the trabecular meshwork. A similar rationale has been used to explain their value in preventing future attacks. Of Winter's469 patients with unilateral closed-angle glaucoma, 68% had involvement of the second eye. Although this occurred from hours up to 18 years after involvement of the first eye, most had contralateral involvement within 5 years. In 20 patients who maintained a continuous pharmacologic miosis, only 40% had a contralateral attack. In 8 patients maintained on intermittent therapy, 88% had a contralateral attack. In 19 patients without any therapy, 89% had a contralateral attack.

However, a narrow line exists between prophylactic miosis and provocative pupillary block. Thus, Lowe470 reported that two patients developed a contralateral attack shortly after stopping prophylactic pilocarpine but a third patient developed acute glaucoma just after starting pilocarpine. He believed 2% pilocarpine would be less likely to produce pupillary block than higher concentrations and suggested that, because most spontaneous attacks seemed to occur during the night, prophylactic drugs should be taken after the evening meal and again at bedtime. He cautioned that the miosis produced by physostigmine was more intense than that of pilocarpine and more likely to produce pupillary block. This is supported by Bain's471 results, in which 21% of 137 patients treated prophylactically with physostigmine or pilocarpine developed acute closed-angle glaucoma. Only 17% of 103 patients using pilocarpine had an attack, whereas 32% of 34 patients using physostigmine had an attack. Fifty-four percent of an untreated control group of 39 patients developed a second attack.

Mapstone472 used pilocarpine as part of a provocative test to predict which eyes with narrow angles were likely to develop acute narrow-angle glaucoma. He observed that the increase in ocular pressure after provocative testing tended not to occur when the pupil was widely dilated but, rather, when the pupil was mid-dilated. He believed that mid-dilation was the optimal position for maximizing the two crucial factors: trabecular block by the iris base and pupillary block by the iris sphincter. He found that the combination of a muscarinic agonist, pilocarpine, with an adrenergic agonist, phenylephrine, gave a greater incidence of positive provocative testing than did muscarinic atagonists. In 70% of 49 subjects with prior acute closed-angle glaucoma, pressure elevations of 8 mmHg or more were obtained within 2 hours of administering phenylephrine plus pilocarpine. Only 33% of subjects responded to 0.5% tropicamide. The response was reversed within 90 minutes of injecting acetazolamide, 500 mg, intravenously and applying one drop of 2% pilocarpine topically. However, this provocative test with a combination of pilocarpine and phenylephrine lacks sensitivity. The test was repeated at yearly intervals in the contralateral eyes of 104 patients who previously presented with unilateral acute narrow-angle glaucoma.473 Mean follow-up was 10 ± 5.7 years. Of 56 eyes with consistently negative tests, 14 developed acute glaucoma and 8 developed chronic or subacute glaucoma (i.e., 40% of eyes with consistently negative tests developed some form of closed-angle glaucoma).

Accommodative Esotropia. The near synkinesis consists of accommodation, convergence, and miosis. Decreased accommodative effort results in decreased convergence. This can be achieved by muscarinic agonists: pharmacologic stimulation of the ciliary muscle results in lens accommodation and reduces the need for central nervous system input. This rationale also applies to a nonpharmacologic technique of therapy, convex lenses. By reducing the neurogenic component of accommodation, both forms of therapy reduce accommodative convergence.

Pilocarpine is effective in reducing accommodative esotropia.474 Whitwell and Preston475 used it for a limited period beginning 2 to 3 days after strabismus surgery. Pilocarpine (1%), instilled in each eye three times a day, was gradually tapered over an 8-week period and then discontinued. Its use allowed fusion to develop, with or without the aid of orthoptics, if a residual accommodative component to the esotropia remained. Used in this manner, therapy was of permanent value in only those patients capable of stereopsis.

The longer-acting indirect muscarinic agonists have largely replaced the direct agonists in the therapy of accommodative esotropia. The former's use will be discussed in the section on cholinesterase inhibitors.

Intraoperative Miosis. Ray,476 Harley and Mishler,477 and Rizzuti478 injected acetylcholine into the anterior chamber after cataract extraction to protect the vitreous face and prevent iris incarceration into the surgical wound. Harley and Mishler477 dilated the eyes of patients preoperatively with 5% homatropine and 10% phenylephrine. Approximately 0.5 mL of 0.1%, 0.2%, 0.5%, or 1% acetylcholine was used. All concentrations were effective but short lived. The use of α-chymotrypsin did not affect the miosis. The stability of acetylcholine solutions was dependent on the pH and temperature. At 25°C and pH 5, the half-life of acetylcholine solutions was 14 years; at pH 7, 50 days; at pH 8, 5 days; and at pH 10, 1 hour.479 The pH of the commercially available 1% acetylcholine solution (Miochol) was approximately 8.5.

Douglas480 compared the efficacy of 1% acetylcholine with that of 0.01% carbachol (Miostat). In eyes dilated preoperatively with 5% homatropine and 10% phenylephrine, the miotic response to either solution injected into the anterior chamber was similar at 2 and 5 minutes. Several hours after surgery, the reduction in pupillary diameter, 4.4 ± 0.3 mm, was significantly greater in the eyes receiving carbachol than in the eyes receiving acetylcholine (2.9 ± 0.5 mm). Twenty-four hours after surgery there was no significant difference.

Drugs that inhibit prostaglandin synthesis provide increased mydriasis during intraocular surgery. Preoperative treatment with 0.03% flurbiprofen eyedrops did not prevent the miotic response 1, 2.5, and 5 minutes after intracameral acetylcholine.481

Reversal of Pharmacologic Mydriasis. α-Adrenergic agonists, such as 10% phenylephrine and 1% hydroxyamphetamine, produced mydriasis that was reversed by 1% pilocarpine.482 The mydriatic drops were given 65 to 70 minutes before pilocarpine. The pilocarpine-induced mean recovery time after phenylephrine was 22 minutes and that after hydroxyamphetamine was 14 minutes; however, 1% pilocarpine produced myopia as well as overcorrected mydriasis (i.e., miosis occurred).

The material deposited in exfoliation syndrome may impede iris movement. In 20 patients with exfoliation syndrome, phenylephrine produced less dilation than it did in 20 age-matched controls, and there was less constriction from a 10-μL drop of 4% pilocarpine given to reverse this mydriasis.483

Variable results have been reported when pilocarpine was used to reverse the mydriasis of muscarinic antagonists. One study found that one drop of 1% pilocarpine administered 30 minutes after tropicamide dilation not only returned the pupil to baseline diameter 3.5 hours later but continued to produce constriction, resulting in an overcorrection.482 However, another study of 23 volunteers found that one drop of 2% pilocarpine given unilaterally 30 minutes after bilateral tropicamide dilation was no more effective in reversing the mydriasis and cycloplegia 30, 120, and 180 minutes later than was the drop of saline placed in the other eye.484 Pilocarpine (1%), administered 72 minutes after homatropine dilation, was of little if any beneficial effect.482 Mean pupil recovery time was 28 hours. Reversal of mydriasis from a combination of 0.1% dilute tropicamide and 1% hydroxyamphetamine was “easily produced” by 2% pilocarpine. 485 Recovery from the mydriasis produced by three drops of 0.5% cyclopentolate was reduced from less than 20 hours to less than 6 hours by 1% pilocarpine.486

Occasionally, a patient will present with a dilated fixed pupil. If the patient is a nurse, he or she will be especially upset because of the known associations with aneurysms and tentorial herniation. In this situation, however, a likely cause is inadvertent self-administration of an atropinic agent: the nurse's fingers were contaminated when atropine drops were administered to a patient. If inadvertent or deliberate self-administration is suspected, a 0.5% or 1% pilocarpine drop administered bilaterally will be diagnostic. The pharmacologically dilated pupil will not respond as rapidly or as markedly, if at all. However, a dilated pupil due to an acquired efferent (third nerve) defect will respond. Rarely, congenital defects, such as absence of the sphincter muscle, will produce a mydriasis unresponsive to pilocarpine.487

Reversal of Pharmacologic Cycloplegia. Muscarinic agonists have been used to reverse cycloplegia. Although cholinesterase inhibitors have been used for this purpose with some success,488 most of the experience is with pilocarpine. In patients who had an initial dose of two drops of 0.5% cyclopentolate, followed 5 minutes later by a third drop, 1% pilocarpine reduced recovery time from 24 hours to 6 hours.489 One drop of 1% pilocarpine allowed subjects 14 to 35 years of age to read 2 to 4 hours after receiving 1% tropicamide.490 Pape and Forbes491 reported a retinal detachment after a single drop of 1% pilocarpine that was given to reverse mydriasis and cycloplegia.

Diagnosis of Supersensitivity. TONIC PUPIL (ADIE'S SYNDROME). In this entity the iris sphincter and ciliary muscle exhibit supersensitivity to direct-acting muscarinic agonists. The underlying pathology is believed to be degeneration of the postciliary ganglion fibers.492 A similar pathology is believed to occur in the tonic pupils associated with dysautonomias, such as Shy-Drager syndrome. The earliest pharmacologic test of sphincter function used physostigmine.493 However, it was not until the work of Scheie494 that pharmacologic testing of tonic pupils became routine. Scheie demonstrated supersensitivity with acetyl β-methylcholine. The supersensitivity appeared to be a permanent phenomenon: Laties and Scheie495 reported that it persisted in a subject for 25 years. It was initially believed that a drop of 20% acetyl β-methylcholine would constrict all pupils but that a drop of 2.5% would constrict only a supersensitive pupil. Subsequently, 41% of normal pupils were found to constrict more than 0.2 mm after 2.5% acetyl β-methylcholine,496 whereas only 63% of patients with a clinical diagnosis of Adie's syndrome had a positive response.497 Ocular hypertensive patients, previously untreated, had significantly greater pupil constriction to 2.5% acetyl β-methylcholine than did age- and sex-matched controls.498 Concentrations of acetyl β-methylcholine as high as 25% did not always constrict normal pupils.499 This variability in responses is, at least in part, attributable to differences in drug corneal penetration.500 False-negatives can result from increased tearing and blinking.

False-positive tests can result from abnormalities in the corneal epithelium that increase drug penetration (e.g., patients with exophthalmos and blink defects may give positive results,501,502 the interpretation of which must await repeated testing after the recovery of the corneal epithelium).503 For similar reasons, prior administration of eyedrops containing local anesthetics or surfactants should be avoided.

Despite these difficulties, the 2.5% acetyl β-methylcholine test remained in clinical use until the drug was no longer readily available for topical use. Another direct-acting muscarinic agonist was looked for, and found. Pilocarpine became heir to the acetyl β-methylcholine test even though the latter subsequently reappeared in a commercial preparation.

The pilocarpine test is best performed under conditions in which ambient lighting and accommodation are controlled, because both can affect pupil diameter. The pupil diameter can be evaluated by observation, photographs, or pupillography. A drop of test solution is instilled bilaterally. Thirty to 60 minutes after instillation, the pupillary diameters are reevaluated under the same conditions as before.

What concentrations of pilocarpine are optimal for demonstrating a tonic pupil? Pilocarpine 0.125% to 0.25% has been advocated even though the normal pupil will almost always constrict. Because the drops are instilled bilaterally, it does not matter if a submaximal constriction of the normal pupil is elicited. The relatively greater miotic response of the tonic pupil identifies it as supersensitive. Advocates of 0.0625% to 0.1% pilocarpine argue that tonic pupils can occur bilaterally and that relative miosis is, therefore, difficult to interpret. Instead, the less concentrated solutions should be used so that any constriction can be interpreted as evidence of supersensitivity. Unfortunately for this argument, not only will an occasional tonic iris not respond to a drop of 0.1% pilocarpine (i.e., there are false-negatives), but normally innervated irides may respond to 0.0625% (i.e., false-positives can occur). For example, 6 of 10 normal irides showed some constriction 30 minutes after a drop of 0.04% pilocarpine.504

Because 0.03125% to 0.05% concentrations of pilocarpine did not consistently constrict supersensitive irides, Cohen and Zakov505 and Young and Buski506 suggested using 0.0625% to 0.1% solutions. The 0.0625% pilocarpine solutions produced a mean 0.5-mm constriction in normal pupils and a mean 3.5-mm constriction in patients with Adie's syndrome. Pilley and Thompson497 and Bourgon and colleagues496 found that 85% of normal irides constricted more than 0.2 mm after 0.125% pilocarpine solutions. However, more constriction occurred in eyes with Adie's syndrome. This permitted the authors to make the correct diagnosis of supersensitivity 80% of the time. The mean constriction was 2.4 mm in normal eyes and 4.2 mm in supersensitive eyes.505 Hedges and Gerner507 advocated using a 0.25% pilocarpine concentration, whereas Young and Buski506 found 0.2% pilocarpine too potent for supersensitivity testing. In summary, the pharmacologic tests of iris sphincter denervation appear somewhat unreliable.

The relative pharmacologic supersensitivity of the ciliary muscle in Adie's syndrome has been examined. Single drops of 0.25% pilocarpine were instilled bilaterally, followed by a second set of drops 30 seconds later.508 An interocular difference of 1 D or more was considered significant. Seventy-three percent of patients with a clinical diagnosis of a unilateral lesion developed more myopia in the abnormal eye. An asymmetric increase in astigmatism occurred in one third of positive tests; this was attributed to sector supersensitivity of the ciliary muscle. However, pharmacologic testing appeared to be of little clinical value because 0.5 D or more of asymmetry in accommodation could be detected in 66% of Adie's syndrome patients simply by measuring the near point. Furthermore, the lens has lost almost all accommodative power by age 50, so neither pharmacologic nor near-point testing is of value in these older patients.

Ciliary Ganglion Denervation. Several investigators have examined whether damage to the oculomotor nerve fibers innervating the ciliary ganglion (i.e., preganglionic denervation) resulted in iris sphincter muscle supersensitivity to muscarinic agonists. Ponsford and colleagues509 found that oculomotor nerve palsies resulted in supersensitivity to 2% acetyl β-methylcholine. Fourteen normally innervated eyes developed a mean 0.25-mm constriction, whereas the contralateral eyes with oculomotor nerve palsies responded with a 0.96-mm constriction. In a second study, only 3 of 5 patients showed supersensitivity.510 One potential confounding factor in interpreting pharmacologic testing is that aberrant regeneration of extraocular muscle nerve fibers to the ciliary ganglion can produce pupil diameter changes when eye movements are made.511 Jacobson512 applied two drops of 0.1% pilocarpine bilaterally. Supersensitivity was defined as being present if, at 30 minutes, either the eye with the oculomotor nerve paresis constricted 0.5 mm more than the contralateral eye or the involved eye became the more miotic of the two. Supersensitivity was present in 5 of 11 eyes with tumor compressions, 4 of 5 eyes with traumatic palsies, 2 of 2 eyes with congenital palsies, and 0 of 5 eyes with idiopathic pupil-involving palsies. Supersensitivity, when present, did not correlate with the degree of anisocoria.

TOXICITY AND SIDE EFFECTS. The clinical use of direct-acting muscarinic agonists has been relatively free of significant side effects and toxicities.

The inadvertent 2-mL subcutaneous injection of an ophthalmic preparation of 4% pilocarpine (80 mg) in a 39-year-old woman was not fatal. It produced diaphoresis, salivation, nausea, diarrhea, and dyspnea; these symptoms gradually cleared over a 4-day period.513 However, deaths have been attributed to systemic pilocarpine toxicity.514

O'Brien and Swan353 stated that systemic and local reactions to carbachol were rare. The eyeache and headache that occurred initially were usually gone by the third day of therapy. Direct-acting muscarinic agonists produce fewer side effects than cholinesterase inhibitors.451 Drance and Nash449 used 1% to 8% pilocarpine solutions and found that browache occurred irrespective of concentration. Romano455 found conjunctival hyperemia, browache, and myopia more common with 2% aceclidine than with 2% pilocarpine. Contact dermatitis and urticaria are allergic reactions produced by topical pilocarpine.515

Miosis and narrowing of the anterior chamber may occur less often with sustained-release membranes (Ocusert), but this difference tends to decrease with age.435 However, Drance and associates516 found the decrease in visual acuity from induced myopia to be greater from Ocusert P20 than from 2% pilocarpine 90 minutes after placing the drop in one eye and the membrane in the other. They were reluctant to blame the difference in acuity purely on an accommodative cause because the spherical equivalents in the two eyes were similar. There was no interocular difference in acuity 90 minutes after placing a 4% pilocarpine drop in one eye and an Ocusert P40 membrane in the other. Worthen and co-workers458 reported that the membranes often were irritating and associated with browache, tearing, and discharge. Meyer517 reported the development of acute glaucoma after the membrane was lost from an eye treated prophylactically with an Ocusert.

Poinoosawmy and colleagues518 found that pilocarpine drops did not change human corneal thickness but did reduce the radii of the horizontal and vertical meridians of the cornea from 7.86 to 7.78 mm and from 7.90 to 7.81 mm, respectively. In addition to the corneal changes, there was a reduction in the radius of curvature of the anterior lens surface. In all 78 eyes in which pilocarpine produced a decrease in acuity, concave lenses were effective in returning the vision to predrop levels. Drance519 found that pilocarpine and echothiophate altered scleral rigidity. In 58 human eyes, 68% had a decrease of less than 30% in scleral rigidity, 17% had a decrease of more than 30%, and 15% had an increase of more than 30%.

Kennedy and associates520 reported that patients receiving pilocarpine developed an atypical band keratopathy. However, it is believed that this was the result of the mercury-containing preservative, not the pilocarpine.521–523 Mercury-containing preservatives are absorbed onto the rubber and plastic components of bottles and undergo degradation.524,525

Miosis from pilocarpine drops significantly reduced the visual field area measured by Goldmann or automated techniques.526,527 This is presumably due to reduced retinal illumination. Goldmann visual field area reductions for smaller isopters (I-2e = 64.5% ± 22.3%) were greater than for larger isopters (I-4e = 23.9% ± 16%) 30 minutes after normotensive subjects received 2% pilocarpine. In open-angle glaucoma subjects, a drop of 2% pilocarpine reduced automated visual field sensitivity by -1.49 dB.

Pilocarpine eyedrops increase the permeability of the blood-aqueous humor barrier.528 Normotensive subjects with darkly pigmented irides were given a single drop of 1% or 3% pilocarpine unilaterally and the vehicle contralaterally. Pilocarpine (1%) produced a significant increase in the mean ± SE anterior chamber protein content 3, 8, and 10 hours later. The increase at 8 hours, 21% ± 10%, was maximum. Pilocarpine (3%) produced significant elevations 1 to 4 and 6 hours postinstillation. The increase at 1 hour, 55% ± 11%, was maximum.

Chronic therapy of glaucoma with topical agents may alter the bulbar conjunctiva and reduce the success of subsequent filtering procedures. Rabbit eyes treated 4 months with pilocarpine, timolol, or saline had increased fibroblast proliferation after filtering procedures; epinephrine treatment did not produce this response. Pilocarpine produced the largest increase.529 One retrospective study could not confirm that long-term topical treatment of patients had a significant negative impact on subsequent filtering surgery.530 Another study was more suggestive of a deleterious effect but could not determine whether topical therapy in general, a specific drug class, or length of disease was the culprit.531 In this study, 106 patients had conjuctival biopsies at the time of filtering surgery and were followed a minimum of 6 months. Specimens from those whose trabeculectomies failed had significantly more fibroblasts, macrophages, and lymphocytes. The surgical success rate in subjects treated less than 2 months, 86%, was not significantly different from that in subjects treated less than 3 years, 92%. However, patients treated with topical drugs for more than 3 years before surgery had a significantly lower surgical success rate, 30%.

The possibility of pilocarpine-induced lens opacities has been examined by several workers. de Roetth179 reported anterior subcapsular vacuoles in 16% of eyes treated with 1% to 6% pilocarpine for a mean of 66 months and in 51% of eyes treated with 0.03% to 0.25% phospholine iodide for a mean of 20 months. In an age-matched group of normal eyes, 15% had vacuoles. In a retrospective study of patients treated for 3 years, Shaffer and Hetherington532 found an 8% incidence of cataracts in an untreated control group, a 6% incidence in a group treated with pilocarpine, and a 38% incidence in a group treated with an anticholinesterase (DFP, demecarium, or echothiophate). Axelsson and Holmberg533 found about a fivefold increase in development and progression of cataracts in eyes treated with echothiophate compared with eyes treated with pilocarpine. These results do not support a cataractogenic role for pilocarpine.

Muscarinic agonists can produce a closed-angle glaucoma if the lens accommodates sufficiently to push the iris base against the trabecular meshwork534–536 or sufficiently to block the miotic pupillary opening. Eyes with shallow chambers are more at risk, but occasionally the latter occurs in eyes with angles that were initially open.537

Specular and electron microscopic investigations of toxicity to rabbit endothelium from 1% acetylcholine and 0.01% carbachol (Miostat) failed to show permanent pathology.538 There were no temporary changes after in vitro corneas were bathed for 15 minutes with acetylcholine. After carbachol, changes in cell junctions were apparent within 1 hour but not thereafter. Intraocular 1% acetylcholine caused acute, reversible anterior subcapsular lens opacities in rabbits.539 Higher concentrations caused iritis in dogs.477 However, Rosen and Lazar540 pointed out that these effects probably were due to hyperosmolarity (e.g., the 1% acetylcholine solution was 390 mOsm). Similarly, Jay and MacDonald541 found that intraocular injection of 1% pilocarpine or acetylcholine was not toxic to bovine endothelial cells unless the solutions were made significantly hyperosmolar or hypo-osmolar relative to aqueous humor (300 mOsm). Systemic absorption of acetylcholine after injection into the anterior chamber has, rarely, been accused of causing hypotension and bradycardia.542 However, the inability of atropine to reverse the bradycardia makes it unlikely that acetylcholine absorption was at fault.

A cause-and-effect relationship between the topical use of muscarinic agonists and a resultant retinal detachment cannot be established because of the rarity of occurrence of the latter despite the frequency of use of the former; however, suspicions of causality remain. Both 1% pilocarpine 543 and membrane (Ocusert) pilocarpine delivery have been associated with retinal detachment.544,545 A macular hole developed in an eye with a nondetached posterior vitreous face when pilocarpine therapy was initiated; the hole resolved on discontinuation of the drug.546

Indirect-Acting Muscarinic Agonists

GENERAL CONSIDERATIONS. The ocular effects of this class of drugs, the cholinesterase inhibitors, are qualitatively similar to those of the direct-acting agonists: miosis, ciliary muscle contraction, and ocular hypotension. The indirect agonists can be subdivided into anticholinesterases that carbamylate the enzyme and anticholinesterases that phosphorylate it. Physostigmine, neostigmine, pyridostigmine, and demecarium are examples of the former, and DFP and echothiophate are examples of the latter (Figs. 6 and 7). The carbamylating drugs are usually shorter acting and more acetylcholinesterase specific than the phosphorylating compounds (e.g., DFP is more active against serum cholinesterase [pseudocholinesterase, butyrylcholinesterase], whereas physostigmine is about equally active against acetylcholinesterase and serum cholinesterase). An exception is demecarium, which, although a carbamylator, is long acting.547 This is because it contains two carbamate groups; it can carbamylate at two sites and cause permanent structural alteration of the enzyme. Demecarium is somewhat more active against acetylcholinesterase than against serum cholinesterase.

Fig. 6. The structures of two irreversible cholinesterase inhibitors that phosphorylate the enzyme.

Fig. 7. The structures of four cholinesterase inhibitors that carbamylate the enzyme. Demecarium has two carbamylating groups on each molecule.

There is evidence that multiple molecular forms of acetylcholinesterase exist and not all forms are equally susceptible to organophosphate inactivation.548 Topical application of organophosphates seems to produce complete inhibition of acetylcholinesterase in the anterior structures (e.g., the cornea and iris) but not the retina.549 The retina, probably because of its distance from the cornea, is partially protected. Recovery of acetylcholinesterase activity is characterized by more rapid synthesis of lower-molecular-weight forms of the enzyme, which in turn are assembled into the higher-molecular-weight forms.550

Echothiophate was first marketed in 1959, after Leopold and colleagues551 had shown its clinical usefulness. DFP had been the phosphorylating anticholinesterase used previously, but it was unstable in water. One-tenth percent DFP in water was ineffective within 7 days.552 The clinical efficacy of DFP in peanut oil was superior to that of DFP in petrolatum.553 In peanut oil, DFP remained active after 1 year of storage at room temperature and after 1 hour of autoclaving,554 and this was the usual method of dispensing it. Echothiophate, being a positively charged quaternary amine, penetrated the corneal epithelium less readily than DFP but had the advantage of much greater stability in water. After 5 weeks at room temperature, the solution retained 75% activity: at 10 weeks, there was 62% activity, and at 30 weeks, there was 55% activity.551 Lawlor and Lee555 found that bottles of echothiophate solution refrigerated at 5°C for 8 weeks and opened daily lost only 4% to 5% of their activity. If stored at room temperature and opened daily, a 19% decrease in activity occurred in 8 weeks. Unopened solutions refrigerated 5 months retained 64% of their activity.

The phosphoryl group can be hydrolyzed off the esteradic site of cholinesterase by the oximes (RCH<cmb15>NOH). The oximes are much less effective in removing carbamyl-inactivating groups. By removing the phosphorylating group, the cholinesterase molecule is reactivated. However, if the phosphorylating agent becomes dealkylated while it is attached to the enzyme, that is, through hydrolytic loss of (CH3)2CH for DPF or CH3CH2 for echothiophate, then the drug cannot be removed from the enzyme. This process, called aging, results in a permanently inactivated cholinesterase molecule.556 An example of an oxime used to reactivate cholinesterase is pralidoxime (2-pyridine aldoxime methochloride, protopam, 2-PAM) (Fig. 8).

Fig. 8. The structures of two oxime molecules that can remove phosphorylating groups, provided aging of the enzyme has not occurred.

Like other oximes, pralidoxime can competitively bind to muscarinic receptors, but this is probably of no clinical significance.557 The drug is highly stable in solution; after storage at 37°C for 12 years, 75% of pralidoxime remained active.558

Pralidoxime is eliminated rapidly in the urine (80% to 90% of an orally administered dose is excreted in 60 to 90 minutes).559 Ocular penetration of pralidoxime after topical or systemic administration is limited because the molecule carries a positive charge at all times. Human volunteers given repeated oral and intramuscular doses of pralidoxime mesylate experienced diplopia and blurred vision.560 There was a 60% incidence of visual effects when subjects were given 4 g every 6 hours for 24 hours followed immediately by three 500-mg intramuscular injections, each injection being separated by 20 minutes. When rabbits were injected intramuscularly with pralidoxime mesylate 10 mg/kg, no drug was detected in the aqueous humor.561 When the concentration was increased to 40 mg/kg, the drug was detectable in aqueous humor. Diacetylmonoxime (DAM) does not carry a positive charge and can readily penetrate the blood-eye and blood-brain barriers (see Fig. 8). However, it is not commercially available in the United States.

OCULAR PHARMACOLOGY. Iris Sphincter Muscle. The carbamylating and phosphorylating anticholinesterases have no intrinsic cholinergic agonist activity. They act only by preventing acetylcholine hydrolysis. In cats with ciliary ganglionectomies, DFP did not produce miosis, nor did a 10% acetylcholine drop have significant effect.552 However, after DFP application, a 1% acetylcholine eyedrop produced miosis for 9 to 13 days.

Because cholinesterase inhibitors act through the accumulation of acetylcholine at the muscarinic receptor, drugs that compete with acetylcholine can alter the response to these indirect agonists. Pilocarpine has less intrinsic muscarinic activity than acetylcholine. Thus, when maximally effective doses of physostigmine or DFP are given, the subsequent addition of pilocarpine causes a diminution of both miosis and hypotension.367 Kaufman and Barany562,563 found similar results in primate eyes pretreated with cholinesterase inhibitors. However, if the inhibition of acetylcholinesterase is sufficiently submaximal (e.g., as when produced by low concentrations of physostigmine), then additional pupillary constriction can be achieved by giving pilocarpine drops.380 The mydriasis and cycloplegia from 3 drops of 1% atropine, given within a 36-hour period, are partially reversed by 2 to 3 drops of 0.5% echothiophate, given within a 30-minute period.551 Single instillations of 0.5% demecarium overcome mydriasis from either 1% atropine or 4% homatropine; within 1 to 3 hours of demecarium administration, the pupil is smaller than normal. This miosis becomes maximum at 24 hours and requires up to 7 days to recover. However, if the 0.5% demecarium were given first and the atropine or homatropine were instilled 6 hours later, the initial miosis would be abolished within 10 minutes.

Bito and Banks373 observed that monkeys given 0.1% DFP drops twice a day developed maximum miosis on the second day of treatment, but by the sixth day of treatment, the pupils had returned to pretreatment diameters in both dark and light. Increased iris dilator tone was not producing this phenomenon because it occurred despite prior superior cervical ganglionectomy.564 Subsensitivity of the muscarinic receptors may have been the cause, or a toxic effect of DFP on the iris sphincter may have been at fault.565 Soli and associates566 reported a similar finding in guinea pigs. Single drops of cholinesterase inhibitor produced marked miosis, but by the third day of daily treatment, a decreased response was found. They could not explain this effect either by a reduced number of muscarinic receptors, using quinuclidinyl benzilate binding, or by a more rapid synthesis of acetylcholinesterase. Furthermore, the miotic response to light stimulation remained, throwing into question the theory that drug toxicity of iris musculature was at fault. The rat iris dilator muscle has been shown to relax when exposed to low acetylcholine concentrations but to constrict, producing mydriasis, at 1 μmol/L and higher concentrations.567 Perhaps this would explain the decreased miosis. Another theory relates to choline uptake. Both carbamylating and phosphorylating cholinesterase inhibitors reduce rat iris choline uptake.568 Such a reduction could eventually impair acetylcholine synthesis. However, administration of an exogenous agonist should result in miosis. When Bito and Baroody569 topically applied pilocarpine to monkey eyes made subsensitive by daily cholinesterase inhibitor drops, they found a reduced miotic response in echothiophate-treated eyes and no miotic response in DFP-treated eyes.

Dunphy571 provided evidence that acetylcholine is continuously being released by ciliary ganglion neurons even in the absence of light stimulation or the near synkinesis. A volunteer had a single drop of 0.05% DFP instilled. He was kept in the dark, yet miosis occurred. Mindel570 demonstrated spontaneous acetylcholine release by denervated ciliary ganglia. Patients whose oculomotor nerves had been severed intracranially responded to an eyedrop of cholinesterase inhibitor with a marked miosis. Presumably, the amount of spontaneous acetylcholine released was insufficient to stimulate the iris sphincter until the cholinesterase inhibitor allowed the transmitter to accumulate. Loewenfeld and Newsome572 found that 8 minutes after a drop of 0.5% physostigmine, the increased effectiveness of released acetylcholine allowed the iris to react more rapidly and completely to light stimulation.

In normal subjects, miosis begins 5 to 10 minutes after instillation of 0.1% DFP, 10 to 45 minutes after instillation of 0.5% echothiophate, and 45 to 60 minutes after instillation of 0.1% to 0.5% demecarium. Maximum miosis occurs within 20 minutes of DFP application, whereas miosis from demecarium requires 2 to 4 hours. Concentrations of DFP below 0.01% have no effect. Recovery from the miosis of DFP, echothiophate, or demecarium requires 3 to 28 days.547,551,552

If physostigmine were given 15 minutes before DFP, the miotic effect would be that of the former (i.e., recovery requires only 2 to 3 days).553 This demonstrates that both carbamylating and phosphorylating cholinesterase inhibitors attack the same site on acetylcholinesterase and in a noncompetitive manner. The first drug to reach the esteradic site will inactivate it until spontaneous hydrolysis removes the carbamyl or phosphoryl group.

Ciliary Muscle. Strips of ciliary muscle from cats, chickens, frogs, rabbits, and monkeys exposed to acetylcholine had their contractions increased by factors of 10 to 10,000 if physostigmine 1 μg/mL was in the bathing solution.573 Atropine was effective in relaxing muscle strips that had previously received physostigmine.

Monkeys treated for 5 to 6.5 months with topical echothiophate had approximately a 65% reduction in their ciliary muscle muscarinic binding sites and a decreased response to pilocarpine. The binding affinity of the remaining muscarinic receptors was unchanged.574,575 The iris response to pilocarpine was unaffected. After echothiophate treatment was discontinued, the number of ciliary muscle muscarinic binding sites and the response to pilocarpine returned in 4 to 8 weeks. Eyes permitted to recover for 5 to 6.5 months exhibited a rebound effect (i.e., their ciliary bodies had more than double the number of muscarinic bindings sites compared with untreated control monkeys). When 0.05% physostigmine was applied topically to human subjects, an accommodation of the lens could be elicited that was above physiologic levels.576 In three subjects, aged 27 to 30 years, this increase was more than 2 D. Physostigmine (0.05%), by facilitating accommodation, also produced a decrease in the accommodative convergence/accommodation (AC/A) ratio (e.g., in one subject the AC/A ratio was 1.2 to 1.3 before physostigmine and 0.8 to 0.9 after physostigmine). Wilkie and co-workers394 measured human anterior chamber depth in response to echothiophate. A single drop produced little shallowing, but there was a progressive decrease in depth during the 10-week treatment period.

Intraocular Pressure. DFP causes an initial rise in rabbit intraocular pressure.577,578 The pressure elevation begins with the onset of miosis and at its maximum, approximately 30 minutes after instillation, is 15 to 30 mmHg above baseline. The pressure remains above baseline 4 to 6 hours later. Intravenously administered fluorescein accumulates in the anterior chamber, indicating that the blood-aqueous barrier has been impaired.579 Histologic examination shows epithelial blisters on the ciliary processes, engorgement of the iris and ciliary vessels, and increased protein in the anterior and posterior chambers.577 Prior phenylephrine, injected subconjunctivally, prevents the elevations in anterior chamber protein and intraocular pressure, presumably by constricting the uveal vessels.578

Monkey eyes treated for 5 or more months with topical echothiophate drops had elevated intraocular pressures associated with histologic evidence of damage to the aqueous humor outflow system.580 Extracellular material was found in the trabecular meshwork, Schlemm's canal was altered in shape, and there was discontinuity between ciliary muscle bundles and trabecular beams.

McDonald581 reported that 10% of human eyes treated with DFP also had an initial rise in intraocular pressure of 3 to 7 mmHg. Krishna and Leopold547 and Drance and Carr582 found similar rises after demecarium and echothiophate administration. Some of the theories offered to explain these increases were that congestion of the ciliary body vessels caused a narrowed filtration angle, that increased protein in the aqueous humor drew water into the anterior chamber by osmosis, and that ciliary muscle contraction caused a forward shift of the lens-iris diaphragm.583

The eventual hypotensive effect of cholinesterase inhibitors is variable in normotensive eyes. Leopold and colleagues551 found it to be rarely more than 2 to 3 mm. Drance and Carr582 reported a 52% decrease in pressure. In most normotensive subjects the intraocular pressure after a single instillation begins to decline in approximately 30 minutes without transient pressure rise. Although miosis begins about the same time as the hypotensive action, the two do not always occur together.582 With 0.1% to 0.5% demecarium administration, the maximum hypotensive effect occurs 24 hours after instillation and may remain below baseline for as long as 9 days. A significant increase in tonographic outflow facility is usually present 2 hours after instillation and is almost always present 24 hours after instillation.547,584 However, the hypotensive action is not always associated with an increase in outflow facility.585 Drance585 found that instillation of single drops of 0.1% or 0.25% demecarium in normotensive eyes did not produce hypotensive effects until after latency periods of 12 hours. The tonographic increases in outflow facility lasted up to 5 days. However, in four eyes there were no increases in outflow facility despite large decreases in intraocular pressure.

Retina. Infusion of physostigmine into the rabbit retinal circulation abolished the directional specificity of both on-center and on-off retinal ganglion cells.586

Extraocular Muscles. Topical application of DFP to rabbit eyes resulted in increased sensitivity of the superior recti muscles to solutions of acetylcholine and carbachol (i.e., the muscles produced larger contractions than in control eyes).587 Recovery was gradual. More than 7 days without DFP treatment was needed for sensitivity to return to normal. DFP is highly lipid soluble. It was believed that DFP penetrated the conjunctiva and inhibited acetylcholinesterase in the neuromuscular junctions.

THERAPEUTICS. Glaucoma. Physostigmine in concentrations of 0.25% to 1% increases outflow facility and lowers intraocular pressure in subjects with initial readings of 22 mmHg or greater.423

Demecarium is a potent hypotensive agent.588,589 Drance585 used demecarium to treat 40 eyes with chronic simple glaucoma. In 38, there was a decrease in intraocular pressure. The mean time for maximal decrease in pressure was 34 hours, and the mean percent fall in pressure for all 40 eyes was 48%. In 34 eyes tested by tonography, the mean increase in outflow facility was 121%.

Phosphorylating agents are also effective. DFP, used by Leopold and McDonald553 over a period of 4 or more months, lowered the ocular pressures of 71% of eyes with chronic narrow-angle glaucoma, 74% of eyes with aphakic glaucoma, and 54% of eyes with open-angle glaucoma. It was of value in controlling 61% of eyes with uveitic (inflammatory) glaucoma and in terminating acute glaucoma attacks. Only 14% of acute attacks were terminated by the use of pilocarpine, acetyl β-methylcholine, physostigmine, or neostigmine, whereas 57% ceased after the application of DFP. However, Leopold and McDonald553 also noted six glaucoma patients in whom DFP produced an unexpected increase in intraocular pressure. Four had preexisting narrow angles. The maximum effective concentration of DFP in peanut oil was 0.2%. These authors found that pilocarpine and/or physostigmine was as effective as 0.1% DFP in lowering ocular pressures below 30 mmHg in 17 glaucoma subjects. However, in 29 other subjects, DFP was successful when the other two were not.

Echothiophate has been the most widely used phosphorylating cholinesterase inhibitor. In 59 chronic simple glaucoma patients given a single drop of 0.1% to 0.25% echothiophate, the mean decrease in ocular pressure was 48% 3 hours postinstillation, and the mean increase in outflow facility, measured in 28 eyes 24 hours after instillation, was 127%.582 Echothiophate, unlike pilocarpine and carbachol, produced a sustained increase in outflow facility.406 In dilutions as low as 0.01%, given twice a day, it was as effective as pilocarpine in 42% of patients.592 Harris593 studied 15 glaucoma patients and found that maximum improvement in intraocular pressure and outflow facility occurred with 0.06% echothiophate; increasing the concentration to 0.25% did not significantly improve either (Table 1). The maximum effect on intraocular pressure and outflow facility has been reported to occur from 4 to 27 hours after application.406,594

 

TABLE 1. Results of Studies of Echothiophate in 15 Glaucoma Patients


 Echothiophate Versus Control
 0.03%Control0.06%Control0.12%Control0.25%Control
Intraocular pressure (mmHg)26.4 ± 2.631.8 ± 2.224.3 ± 2.232.0 ± 2.422.4 ± 2.131.6 ± 2.521.1 ± 2.231.0 ± 2.4
Outflow facility0.10 ± 0.010.06 ± 0.020.12 ± 0.020.05 ± 0.020.13 ± 0.020.06 ± 0.020.14 ± 0.010.07 ± 0.02
(Harris LS: Dose-response analysis of echothiophate iodide. Arch Ophthalmol 79:242, 1968)

 

There is evidence to support Barsam's406 belief that echothiophate and pilocarpine are similar in hypotensive potency and differ only in duration of action. In patients on chronic therapy, the minimum intraocular pressure on the diurnal curve is a measure of drug potency, and the magnitude of the fluctuation of the diurnal curve is a measure of drug duration of action. Drance594 had compared the diurnal hypotensive efficacy of 4% pilocarpine four times a day with that of 0.06% echothiophate two times a day using subjects with ocular hypertension and chronic simple glaucoma. Seventy percent of pilocarpine-treated eyes had diurnal pressure peaks that rose above 24 mmHg as opposed to only 20% of echothiophate-treated eyes. Similar results were reported by Barsam and Vogel,595 comparing 0.06% echothiophate once a day with 2% pilocarpine four times a day. Pratt-Johnson and colleagues451 studied the pressure response to 0.06% echothiophate twice a day and to 4% pilocarpine four times a day in 20 eyes with intraocular pressures greater than 24 mmHg. The mean peak pressure while receiving pilocarpine, 23 ± 5.3 mmHg, was greater than that while receiving echothiophate, 19 ± 5.5 mmHg. However, the mean minimum pressure achieved with pilocarpine, 13 ± 2.7 mmHg, was similar to that achieved with echothiophate, 12 ± 2.8 mmHg. Either the two drugs are equally potent or the 0.06% echothiophate solution is too dilute to evoke a maximum hypotensive effect.

When demecarium or echothiophate was added to the various therapies used by poorly controlled glaucoma patients, the results indicated that the two drugs were about equally effective.596 After 6 months of therapy, 0.25% and 1% demecarium maintained 27% and 36% of eyes, respectively, at a pressure less than 20 mmHg, and 13% and 20%, respectively, had an outflow facility of more than 0.15 μL/min/mmHg. Using these same criteria, 0.25% echothiophate controlled the pressures in 25% of eyes and improved the outflow values in 20% of eyes. Of 42 eyes with pressures uncontrolled on echothiophate therapy and 32 eyes with pressures uncontrolled on demecarium therapy, demecarium was effective in 13% of the former and echothiophate was effective in 24% of the latter.

Echothiophate has been used in combination with epinephrine, acetazolamide, and pilocarpine.555,597 Klayman and Taffet598 found that 0.06% echothiophate, twice a day, controlled for at least 1 year the intraocular pressure of 43% of eyes with pressures greater than 20 mmHg and visual field loss. Another 33% required the addition of acetazolamide or epinephrine to bring the ocular pressures below 21 mmHg. In 7% of eyes the pressures were controlled when all three drugs were used. The pressures in 17% of eyes remained uncontrolled despite therapy with all three drugs.

Accommodative Esotropia. Atropine was occasionally used in the past to treat accommodative esotropia. With the onset of cycloplegia, the esotropia would increase as the patient attempted to focus. Then, as this inability was accepted, accommodative efforts would cease and the eyes would straighten. To varying degrees, however, near work would once again elicit volitional accommodative effort and the eyes would deviate inward. In contrast to atropine, cholinesterase inhibitors correct accommodative esotropia by facilitating peripheral accommodation (i.e., they decrease the need for volitional accommodative effort). Although they also induce miosis and thereby increase the depth of focus, this is not their primary mechanism of action.599 If the AC/A ratio is abnormally high, cholinesterase inhibitors will lower it. Cholinesterase inhibitors would then be expected not only to facilitate accommodation but also to produce an accommodative myopia in nonpresbyopic patients. However, there is some evidence that cholinesterase inhibitors are less likely to produce a spasm of accommodation than are the direct-acting agonists, such as pilocarpine.600,601 Rehany and associates602 found that a single drop of 0.125% echothiophate failed to induce accommodation during the 24 hours after instillation, whereas a single drop of 4% pilocarpine produced a demonstrable accommodation that lasted several hours, being more than 4 D at its peak 30 minutes after instillation. Miller600 found that patients treated with DFP, demecarium, and echothiophate had less than 0.5 D of induced accommodation after 1 week of therapy.

Wheeler603 used cholinesterase inhibitors to diagnose accommodative esotropia, before prescribing spectacles, and to treat the condition. Both carbamylating agents (e.g., 0.25% physostigmine) and phosphorylating agents (e.g., 0.1% DFP) were effective.474 However, the latter were longer acting. Miller found 0.025% DFP,600 0.25% demecarium, and 0.1% echothiophate about equal in controlling accommodative esotropia.

Parks604 used a tapering dose of anticholinesterase to wean children off therapy over a 6-week to 18-month period. As fusional capabilities gradually increased, less medication was required. Lasting improvement occurred in 27% of patients under 5 years of age and in 88% of children 7 to 12 years of age. The overall success rate was 68%. Parks concluded that cholinesterase inhibitors were more likely to give permanent improvement if they were discontinued after age 7 rather than before. Children who develop accommodative esotropia within the first year of life form a special subgroup. Approximately 50% of these patients develop a nonaccommodative esotropia requiring surgery, even though they initially respond to echothiophate or DFP treatment.605

Synechiae. Cholinesterase inhibitors have been reported to occasionally break posterior synechiae that could not be lysed by dilatation. The rationale for their success was that the iris sphincter muscle provided a more forceful contraction than the iris radial muscle. Mamo and Leopold606 initially used anticholinesterases on two subjects with long-standing synechiae; they were unimpressed by the results. Byron and Posner607 reported 10 patients with posterior synechiae to the lens capsule and nine patients with posterior synechiae to secondary membranes. These subjects were initially made miotic with two drops of echothiophate. The echothiophate effect was then reversed by injecting 0.1 to 0.2 mL of 5% pralidoxime subconjunctivally. Maximum mydriasis was then achieved with two drops each of 1% atropine and 10% phenylephrine. Dense synechiae did not respond. There was partial to total lysis of smaller synechiae in 8 of the 10 patients with adhesions to the lens capsule. In 5 of 9 patients with adhesions to secondary membranes, there were increases of at least 2 mm in the pupillary diameters.

Cyclodialysis Clefts. Gonioscopic examination has verified that surgically created cyclodialysis clefts remained open postoperatively when these eyes were treated with cholinesterase inhibitors. Gorin608 found that a drop of 0.1% DFP daily for several weeks was effective in 15 patients.

Refractive Errors. Cholinesterase inhibitors have been used instead of spectacles to correct myopia, presbyopia, and hyperopia.609 Their effectiveness in the first two conditions was attributed to the marked miosis, producing a pinhole effect. Echothiophate (0.06%), twice a day, was the initial dose, with the frequency and concentration increased as needed. In presbyopes, the criterion for success was maintenance of best distance acuity with improvement of near reading acuity to Jaeger 3; in hyperopes, the criterion was 20/25 (6/7.5) distance vision. Fifty-five percent of presbyopes no longer required spectacles and 26% required only a distance prescription. In hyperopes and myopes in the + 2.00 D to -2.00 D range there was a 42% success rate. In patients with errors greater than this, there was a 12% success rate.

Adie's Syndrome. Variable success has been reported with dilute concentrations of physostigmine to reduce the mydriasis and improve the accommodation in eyes with Adie's syndrome.610 Eyedrops of 0.0125% to 0.125% physostigmine were given to five patients. Two patients tolerated long-term treatment, but three patients discontinued their use because of symptoms of miosis, blur, or discomfort.

OCULAR TOXICITY AND SIDE EFFECTS. Since the mid 1960s, there has been considerable emphasis on the toxicities and side effects of the cholinesterase inhibitors.

Cataractogenesis. Harrison611 is credited with first reporting an organophosphate-induced lens opacity. The patient was a 13-year-old girl given 0.025% DFP in peanut oil nightly for 3 months. Anterior subcapsular lens opacities were noted. The medication was stopped and in 9 days the opacifications had partially cleared. In 3 weeks, the lenses appeared normal. Pietsch and co-workers612 found no lens changes in children treated up to 48 months with echothiophate. Although lens opacities rarely occur in children, this is not true of adults. Axelsson and Holmberg533 found that in glaucoma patients treated for a mean of 22 months with 0.06% or 0.25% echothiophate, new opacities developed at a rate more than six times greater than that in glaucoma patients treated for the same period with 2% or 4% pilocarpine. Opacities developed in 40% of the echothiophate-treated patients but in only 6% of the pilocarpine-treated patients. Progressive pathologic changes also occurred in subjects with preexisting opacities. About five times as many patients on echothiophate progressed compared with those on pilocarpine. A positive correlation existed for strength as well as for length of treatment. DFP and demecarium were also cataractogenic.532,613 In monkeys, carbachol, which has some cholinesterase inhibitory action, has produced cataracts.614 In a prospective study of 16 patients observed for 7 to 21 months, there were no lens changes in those 6 subjects receiving 0.06% or 0.125% echothiophate.615 However, 5 of 10 subjects receiving 0.25% echothiophate developed anterior subcapsular vacuoles, nuclear sclerosis, and/or posterior subcapsular cataracts. Some authors have stated that anterior subcapsular changes occurred earliest, beginning with vacuoles and progressing to a mossy-appearing opacification.532 Axelsson616 and Morton and colleagues617 noted that when echothiophate therapy was discontinued, the lens changes progressed in some eyes whereas in others they regressed. Occasionally, the lens changes regressed despite continued treatment.

In monkeys, concomitant treatment with atropine seemed to delay the onset of lens changes and in some instances seemed to partially reverse lens changes produced by echothiophate.618 Levene619 noted that in 10 of 12 patients developing echothiophate-related cataracts, pilocarpine had been used as prior therapy for 2 months or less. He suggested that 3 months or more of pilocarpine pretreatment might protect against lens changes. However, many subjects with cholinesterase inhibitor-induced cataracts had received prior long-term pilocarpine therapy. In Shaffer and Hetherington's532 study, all their subjects received prior pilocarpine therapy, but DFP, demecarium, and echothiophate use was associated with 30%, 40%, and 35% cataract incidences, respectively. Axelsson616 found that there was a 50% incidence of decreased vision in eyes treated initially and solely with echothiophate; in eyes previously treated with pilocarpine or pilocarpine-physostigmine, the incidence was about the same (43%).

The biochemical abnormality responsible for the development of cataracts has not been defined. The phosphorylating agents are highly reactive and may attack multiple enzymes and cell structures. Harkonen and Tarkkanen620 gave albino rabbits 0.25% echothiophate eyedrops twice daily for 15 weeks. No lens opacities occurred, but ATP content decreased by 35% and lactate content by 17%.

Iris Nodules. Abraham621 reported that two thirds of 66 young subjects treated with DFP for strabismus developed iris nodules. Only one subject in the study was over age 14 years. Nodules appeared after a mean of 10 weeks of treatment. A nasal pupil location was favored. In all cases, the nodules disappeared after discontinuation of treatment, leaving shrunken tags. In 83%, the nodules were gone within 15 weeks; by 42 weeks, all had shrunken. The tags usually, but not always, disappeared gradually. Concentrations as low as 0.03% echothiophate have been reported to produce nodules.592 Therapy with pilocarpine and physostigmine also led to nodule formation, but much less often. Microscopic examination revealed hyperplasia of the iris pigment epithelium, forming solid elevations more often than cysts.622 Phenylephrine (10%) given nightly appeared to prevent the development of these nodules.603

Retinal Detachment. Because the human retina stretches during marked ciliary muscle contraction (e.g., 9 D of accommodation can cause 4% to 5% retinal stretching),623 it is not surprising that retinal tears have been associated with cholinesterase inhibitor use. However, the incidence is too low to allow a statistical analysis of causality. Instead, the literature on this subject consists of case reports.596,624 Physostigmine, the first drug used to treat glaucoma, was reported to be clinically effective by Leber in 1876. In 1877, he reported a retinal detachment associated with therapy. Pape and Forbes491 and Alpar625 reported detachments in association with direct-acting muscarinic agonists, such as pilocarpine, as well as with indirect agonists. In the former paper, 41% of detachments occurred within 2 months of the initiation of therapy, but the range extended to 17 years.

Acute Closed-Angle Glaucoma. Leopold and McDonald553 found DFP to be of value in treating narrow-angle glaucoma. However, the cholinesterase inhibitors subsequently have been shown to provoke attacks in predisposed eyes.551,583

Miscellaneous. Headache, browache, eyeache, induced myopia, conjunctival congestion, allergy, punctal stenosis, fibrinous iritis, and posterior synechiae have been associated with the use of cholinesterase inhibitors.547,553,596,626 In over 70% of subjects with side effects, the signs and symptoms appeared within the first 48 hours of treatment. The aching usually did not persist beyond the first week of treatment and was often relieved by salicylates. Side effects caused 14% of demecarium-treated patients and 20% of echothiophate-treated patients to discontinue therapy. Approximately 25% of the former and 50% of the latter were successfully changed to the other drug. Using lower drug concentrations appeared to reduce the frequency of side effects, but all the same problems still occurred.551,592,593

SYSTEMIC TOXICITY AND SIDE EFFECTS. Leopold and Comroe552 reported that 0.1% DFP in peanut oil was absorbed sufficiently after topical eyedrop use to lower serum pseudocholinesterase activity but not red blood cell acetylcholinesterase activity. Pilocarpine therapy, however, was not associated with a reduction in serum or red blood cell cholinesterase activity.627 In glaucoma patients treated with echothiophate twice a day, the 0.03% and 0.06% concentrations reduced serum cholinesterase activity by 35% to 40% and red blood cell acetylcholinesterase activity by 25% to 30% within 2 weeks628; this level of reduction was maintained while therapy was continued for the ensuing year. Twice-a-day application of the more concentrated echothiophate solution, 0.25%, resulted in a 75% to 80% reduction in serum cholinesterase and an 80% to 85% reduction in red blood cell acetylcholinesterase activity. These, too, occurred within 2 weeks. Upon cessation of therapy, cholinesterase activity began to increase within a week. Recovery was complete by 4 months.629 Humphreys and Holmes630 and Wahl and Tyner631 believed that systemic side effects, such as diarrhea632 and nausea, were inversely correlated with blood cholinesterase activity; however, de Roetth and co-workers628 did not (e.g., one of their subjects who was symptom free had only 5% of pretreatment blood cholinesterase activity).

The pupils are usually miotic in patients with systemic anticholinesterase toxicity unassociated with ocular use (e.g., insecticide poisoning). However, Dixon633 reported two patients with organophosphorus toxicity who had dilated pupils. Nattel and colleagues634 studied the effect of intravenous physostigmine, 2 mg, on the pupils of patients with drug-induced coma. In subjects comatose from drugs without atropinic activity (e.g., barbiturates), physostigmine caused pupils to dilate. In subjects comatose from drugs with atropinic activity (e.g., amitriptyline), physostigmine did not cause pupil dilatation. These results are difficult to interpret and may have been due to central nervous system effects. Physostigmine, being a tertiary amine, can cross the blood-brain barrier.

Phosphorylating inhibitors depress serum cholinesterase activity and prolong the effects and increase the toxicities of drugs normally inactivated by this enzyme. Succinyldicholine and ester local anesthetics such as procaine are commonly cited in this regard. However, it is difficult to find instances in which chronic administration of eyedrops has depressed serum cholinesterase activity to a clinically significant degree. With regard to the prolongation of succinyldicholine effect, the report frequently referred to is that by Pantuck.635 It consists of a single case. A 39-kg female, on daily 0.125% echothiophate drops bilaterally for 9 months, was given 40 mg succinyldicholine intravenously. Diaphragmatic activity and tracheal tug did not begin for 10 minutes, but by 20 minutes postinjection her respirations had returned to normal. Serum cholinesterase activity was found to be 30% of normal levels. This relatively mild prolongation of apnea does not seem to justify the degree of fear that is often voiced. With regard to local anesthetic toxicity, there is even less justification. Again, a firm theoretic and experimental basis exists,636 but the amount of cholinesterase depression from systemic absorption of eyedrops seems inadequate to convert a therapeutic dose into a lethal one.637,638 Other drugs shown to be hydrolyzed by serum cholinesterase are methylprednisolone acetate,639 substance P,640 and heroin.641 The evidence that maternal cholinesterase-inhibitor eyedrops reduce fetal serum cholinesterase activity is limited.642

The human blood complement system, consisting of 20 plasma proteins and 9 regulatory proteins, neutralizes and lyses bacteria and viruses. Activation of this system usually requires two serine esterases, C1R and C1S, and an esteradic site on C2. The phosphorylating cholinesterase inhibitors, such as DFP, are potent inhibitors of these serine esterases.643 There are no reports of increased susceptibility to infections in patients receiving topical cholinesterase inhibitors.

ANTIDOTES. A small dose of intravenous physostigmine protects against a subsequent lethal dose of DFP. It also prevents a prolonged decrease in serum cholinesterase activity.644 However, physostigmine does not protect or reactivate serum esterase if it is given after DFP. Oxime therapy will reactivate serum cholinesterase if it is given soon enough. After 9 months of 0.25% echothiophate eyedrops twice a day, 1 week of pralidoxime, 500 mg orally three times a day, did not elevate serum or red blood cell cholinesterase activity.629 This was because the phosphorylated enzymes had aged. After 3 weeks of oxime treatment there was a significant increase in red cell acetylcholinesterase activity.645 This resulted from erythrocyte turnover and synthesis of new enzyme. In chronic simple glaucoma patients receiving 10.5 g pralidoxime orally each day for 3 weeks, there were no changes in pupil size, intraocular pressure, or outflow facility.645 de Roetth and associates629 reported that the intraocular pressures rose in patients given oral pralidoxime, but these subjects had discontinued their echothiophate eyedrops.

Local ocular oxime therapy has been investigated. Pralidoxime, diacetyl monoxime, TMB-4 (1,1-trimethylene bis-4-formylpyridinium oxime bromide), and MINA (monoisonitrosoacetone) have been instilled as 1%, 3%, and 5% aqueous drops, 5% aqueous drops with 1/3000 benzalkonium, and 5%, 10%, and 20% petrolatum ointments.606 In 31 volunteers, they had no effect on the normal pupil or in pupils made miotic with pilocarpine. With a few exceptions, multiple drops, even with benzalkonium, had no effect when given immediately after DFP- or physostigmine-induced miosis. The 10% and 20% ointments were effective antidotes in about half the subjects. Subconjunctival injection of a 5% solution was 100% effective in reversing miosis and was more effective than 1% atropine plus 10% phenylephrine eyedrops.607 Similar results were reported by Becker and associates597 in glaucomatous eyes. In untreated glaucoma patients, subconjunctival pralidoxime had no effect. However, in echothiophate-treated patients and, to the authors' surprise, in two of six pilocarpine-treated eyes, it produced a decrease in outflow facility.

Muscarinic Antagonists

GENERAL CONSIDERATIONS. The muscarinic blocking agents in clinical use act by competing with the physiologic agonist, acetylcholine, for the receptor. This may be too simplistic a view, however. Marshall646 studied the two stereoisomers of atropine: (-) hyoscyamine was 30 times more active than (+ ) hyoscyamine; (-) hyoscyamine was a competitive antagonist, but (+ ) hyoscyamine appeared to be a noncompetitive antagonist. Gupta and co-workers647 studied the binding of an irreversible antagonist, benzilylcholine mustard, to the muscarinic receptor. They found evidence that binding occurred at two different sites. Ellenbroek and colleagues648 believed that atropinic drugs were competitive antagonists but that agonists and antagonists bound to the receptor at different sites.

The muscarinic antagonists can be subdivided into the naturally occurring agents, such as atropine (hyoscyamine) and scopolamine (hyoscine), and the synthetic agents, such as cyclopentolate, homatropine, and tropicamide (Figs. 9 and 10). All are quite stable.

Fig. 9. Naturally occurring muscarinic antagonists.

Fig. 10. Structures of muscarinic antagonists. Eucatropine has virtually no cycloplegic effect. Tropicamide and cyclopentolate are synthetic congeners with cycloplegic as well as iridoplegic effects.

When cyclopentolate spontaneously degrades, it is by hydrolysis of its ester bond with formation of N,N-dimethylaminoethanol and cyclopentanyl benzeneacetic acid. The latter then either breaks down into phenylacetic acid and cyclopentanone or is hydroxylated and becomes hydroxycyclopentyl benzeneacetic acid.649 Atropine spontaneous hydrolysis is pH and temperature dependent. At 20° C, the half-life of atropine in a pH 7 solution is 2.7 years; in a pH 6 solution, 27 years; in a pH 5 solution, 266 years; and in a pH 4.5 solution, 811 years. At 30° C, these values are reduced to 0.61 years at pH 7, 6.1 years at pH 6, 61 years at pH 5, and 194 years at pH 4.5.650 The half-life of tropicamide is even longer (e.g., at 20° C and pH 7.45, it is 2346 years).651 Additional factors, besides pH and temperature, are important for commercial preparations. Unbuffered solutions of atropine and scopolamine are more stable than buffered solutions, and low-density polyethylene containers are preferable to glass.652

Tropicamide, with pKa = 5.37, is the only clinically used muscarinic antagonist that is primarily (approximately 98%) in the nonionized form at physiologic pH. Homatropine, with pKa = 9.9, is only 0.32% nonionized. Atropine, pKa = 9.8, and cyclopentolate, pKa = 8.4, are also primarily in an ionized state.653,654 As a result, tropicamide has much greater access to the muscarinic receptors because it can readily penetrate the corneal epithelium. The relative in vitro muscarinic blocking activities of these drugs is atropine > cyclopentolate > homatropine > tropicamide. However, the greater penetration of tropicamide makes it more effective than homatropine and changes the in vivo order of potency to atropine > cyclopentolate > tropicamide > homatropine.654 Tropicamide consists of two stereoisomers.655 Both appear to be competitive blockers of acetylcholine.656 However, the levorotatory isomer is far more active pharmacologically. In pigmented and nonpigmented irides, it is 75 times and 50 times, respectively, more active than the dextrorotatory isomer.

Muscarinic receptors in different tissues, and even in different mammalian species, tend to bind the non-subtype-specific antagonist atropine in a similar manner. The concentration of atropine needed to half-saturate human iris receptors in vitro is 0.4 to 0.7 nmol/L.657 This value agrees with those reported for rabbit iris,654 guinea pig ileum,658 and guinea pig heart.659 However, the variability in duration of action of muscarinic antagonists at different sites may be due to differences in receptor subtype (e.g., the tachycardia effect of atropine lasts minutes to hours, but the pupil dilation effect lasts for days). Two other factors that may affect duration of action are the pigment binding of drugs and, in some species, the presence of enzymes that inactivate muscarinic antagonists. Chen and Poth660 noted that eucatropine was a more effective mydriatic in white subjects than in blacks; the effect on Orientals was intermediate. Patil and associates661 found that the binding to uveal pigment was not stereoselective. Salazar and co-workers662,663 found that pigmented rabbit iris accumulated much more atropine than nonpigmented iris. On repeated washing, the atropine bound to nonpigmented tissues was removed more readily. Pigmented human iris tissue behaved in a manner similar to that of pigmented rabbit iris tissue. Pigment binding explains several clinical phenomena. There is a delay in onset and a decrease in magnitude of dilation in pigmented subjects. These result from an initial competition for atropine between pigment and receptors. There is a prolonged effect from atropine in pigmented subjects. It results from the melanin-bound drug acting as a reservoir. Emiru664 reported that normally pigmented black Africans responded differently to 4% homatropine plus 4% phenylephrine eye drops than did albino Africans. The latter responded in a manner similar to that of white subjects (i.e., onset of dilation and peak dilation occurred more rapidly).

Many rabbits, but not all, contain enzymes absent in humans that are capable of hydrolyzing and inactivating muscarinic antagonists. Atropinase (atropinesterase) is one of these and may protect rabbits from the toxic effects of belladonna ingested during leaf eating. Atropinase is also found in some strains of Pseudomonas.665 Its existence in mammalian species other than rabbits (e.g., rats and guinea pigs) is not well documented.666

Cauthen and colleagues667 found that rabbit atropinase hydrolyzed atropine and scopolamine but not cocaine. Although all three were esters and had similar structures, a different enzyme inactivated cocaine (Fig. 11). Cocainesterase did not hydrolyze atropine or scopolamine. The effects of both atropinase and pigment binding were studied by Salazar and co-workers.663 In rabbits with atropinase, the molecules bound to pigment were atropine and not its hydrolysis products, tropic acid and tropine. They found that the half-times for recovery of rabbits from atropine mydriasis were: albino rabbits with atropinase, 3.8 hours; albino rabbits without atropinase, 29.7 hours; pigmented rabbits with atropinase, 12.4 hours; and pigmented rabbits without atropinase, 96 hours or more.

Fig. 11. Structural similarity of two pharmacologically dissimilar drugs. Cocaine is an anesthetic and indirect α-adrenergic agonist. Atropine is a muscarinic antagonist.

Hemicholinium is a cholinergic blocking agent that exerts its effect at a site other than the receptor. It prevents uptake of choline by nerve endings. This results in decreased acetylcholine synthesis. It is highly toxic because it prevents acetylcholine synthesis by both nicotinic and muscarinic neurons. Its antinicotinic action results in paralysis of the respiratory muscles and death. Rabbits and cats can be killed from the systemic absorption of three drops of 1% hemicholinium.668 At concentrations below 0.5%, single drops have no effect. At higher concentrations, a single drop instilled unilaterally will produce pupillary dilation bilaterally and respiratory embarrassment within 40 minutes. If 0.001% to 0.0035% benzalkonium is added to 0.25% to 0.50% hemicholinium solutions, sufficient drug is absorbed through the cornea to produce dilation unilaterally without respiratory complications. The pupil does not respond to light or to stimulation of the ciliary nerve. These effects occur within 60 minutes and are usually gone within 6 hours. Hemicholinium is approximately 0.01 as potent a mydriatic agent as atropine (e.g., in mice, 0.1% hemicholinium gives as much dilation as 0.001% atropine sulfate). Topical 0.5% hemicholinium lowers the intraocular pressure in most, but not all, cats. There is an associated decrease in outflow facility. Therefore, the presumed mechanism of the hypotensive effect is a large decrease in aqueous humor production. Subconjunctival and intracameral injections of hemicholinium have produced corneal anesthesia in experimental animals.669,670 This may indicate a role for the corneal epithelial cholinergic system in touch-pain sensation.

OCULAR PHARMACOLOGY. Changes in pupillary diameter are more easily monitored than are changes in lens accommodation. As a result, animal studies of muscarinic antagonists have concentrated on the former. Gordon and Ehrenberg486 demonstrated that dilation from muscarinic antagonists is due to a parasympatholytic effect. The eyes of anesthetized albino rabbits, dilated with cyclopentolate or atropine, no longer responded to third-nerve stimulation but continued to dilate further on stimulation of cervical sympathetic neurons. Lund Karlsen,192 using quinuclidinyl benzilate, which is a muscarinic antagonist with 10 times higher affinity for the receptor than atropine,671,672 demonstrated that muscarinic receptors are found only in the sphincter region of the iris. Denervation did not increase their number. In one study, kittens and cats received daily topical atropine drops for 13 weeks.673 One year later there was a relative miosis and an eightfold increase in the number of muscarinic iris receptors in the kitten eyes, whereas adult cat eyes were unchanged from contralateral untreated eyes. Smith653 dilated the eyes of a volunteer with cyclopentolate before and after guanethidine drops. The pupil diameter after guanethidine paralysis of the dilator muscle was 7.05 mm, only slightly less than that before guanethidine (7.75 mm). This was consistent with the sphincter muscle playing the dominant role in determining the pupil size. Korczyn and Laor,674 after observing the pupillary responses of a patient with Waardenburg's syndrome given different pharmacologic agents (atropine, homatropine, guanethidine, and cocaine), suggested that atropine might have a partial direct α-agonistic action in addition to being antimuscarinic.

Both muscarinic agonists and antagonists, at concentrations that are submaximally effective, alter the pupillary light reflex in a similar manner: the speed and extent of the light response are diminished.383 This suggests that both types of drugs limit the number of muscarinic receptors on the sphincter muscle available for constriction to endogenously released acetylcholine. After a muscarinic antagonist is given, the pupils dilate with a speed proportional to the difference between the maximum pupil diameter and the actual pupil diameter.675

Accommodation has been considered a cause of myopia. Monkeys forced to do only near work develop myopia.676 Preventing accommodation with the use of atropine arrests the development of myopia in experimental animals.677 However, atropine may be working at other sites, either within the eye or as a result of systemic absorption. For example, pituitary secretion of growth hormone is inhibited by low blood levels of atropine. Subcutaneous atropine injections prevent chick eyes from developing myopia even though their ciliary muscles have nicotinic receptors and would not be expected to be affected by the drug.678 Furthermore, myopia can occur in animals whose ability to accommodate has been destroyed by lesions in the Edinger-Westphal nuclei679 and in animals who are normally unable to accommodate.680 Daily administration of the relatively selective M1 antagonist pirenzepine prevents chick myopia,681,682 and alternating daily between pirenzepine eye drops and pirenzepine subcutaneous injections prevents myopia in a mammal, the tree shrew.683 Because mammalian ciliary muscle contains primarily M3 receptors, this effect of pirenzepine implies a site of action other than on the muscle producing accommodation. However, the relatively large doses of pirenzepine applied could result in a loss of M1 receptor selectivity or in a toxic effect.

Monkeys treated unilaterally twice a day with 1% atropine eyedrops from age 10 days to 8 months developed an anisometropic amblyopia that remained present 4 months after discontinuation of the drug.684

The corneal epithelium contains acetylcholine. Its physiologic role is unknown. Umrath and Mussbichler685 and von Oer686 found that atropine drops caused a relative corneal anesthesia in rabbits. Atropine is structurally similar to the anesthetic cocaine. However, van Alphen,155 studying both rabbits and humans, could not confirm that atropine produced anesthesia.

THERAPEUTICS. Mydriasis. Mydriasis aids the visualization of those intraocular structures behind the iris. The amount of mydriasis produced by a drug can be altered by the light reflex and by intraocular inflammation. α-Adrenergic agonists, such as phenylephrine, produce mydriasis by stimulating the iris dilator muscle. However, much of this dilation is lost when the retina is stimulated by a bright light (e.g., that of an ophthalmoscope or slit lamp) because of sphincter muscle constriction. When muscarinic antagonists produce mydriasis, light-induced relaxation of the dilator muscle does not result in a significant decrease in pupillary diameter. Most clinical studies of mydriatic agents do not measure pupil size in response to bright lighting. This is an especial failing when the mydriasis from an α-adrenergic agonist is being compared with that from a muscarinic antagonist.

Mydriasis also plays a major role in preventing posterior synechiae to the anterior lens capsule. The anterior lens surface is convex (Fig. 12). As mydriasis increases, the area of posterior iris surface in contact with the lens capsule decreases. Cycloplegia is of additional value because it reduces both the convexity and the thickness of the lens. If posterior synechiae do develop while the iris is dilated, there is less chance of iris bombé (as the pupil becomes more dilated, more synechiae must form if aqueous humor flow is to be blocked). This relationship is expressed by πd, where d is the diameter of the pupil. There is some controversy as to whether a mobile iris is or is not superior to a dilated fixed iris when intraocular inflammation is present.687 The rationale of those who believe mobility is superior is that the base of the dilated iris is thicker and may be in contact with the trabeculum. Prolonged mydriasis may, therefore, lead to anterior synechiae. A mobile iris would effectively prevent both anterior and posterior synechiae.

Fig. 12. Muscarinic antagonists reduce lens-iris contact by two mechanisms. Mydriasis pulls the iris from the convex lens surface and cycloplegia reduces the thickness of the lens.

The results from investigations of mydriatic efficacy will be presented individually. Comparisons between studies are virtually impossible because different brands, concentrations, numbers of instillations, and drop intervals are used. In addition, patient populations are not uniform in age, race, and iris pigmentation. If one generalization does emerge, it is that all the commercially available muscarinic blocking agents produce adequate mydriasis if given either frequently enough or in high enough concentration. Eucatropine holds a unique position. Its muscarinic blocking activity is sufficient to produce mydriasis but too weak to produce significant cycloplegia. It would be an ideal agent when mydriasis alone is desired were it not for its prolonged latency, especially in darker irides. In these, it is not uncommon for maximum mydriasis to require several drops and well over 1 hour.

The efficacy of 1% atropine drops three times a day for 3 days was demonstrated by Marron688 in subjects 15 to 40 years of age. He noted that 5 minutes after the first drop there was a mean decrease in pupil diameter of 0.6 mm. By 40 minutes, maximum mydriasis had been achieved. In 16 of 107 subjects, maximum mydriasis was no longer present by the end of the second day or the beginning of the third day. However, compliance was not controlled, and these subjects may not have taken all their drops. In general, 4 to 6 days after the last drop, the pupils began to react to light, but 12 days were required for full recovery. In 21 subjects, with a mean age of 23 years, a single drop of 0.5% scopolamine also produced an initial miosis. By 20 minutes, maximum mydriasis had occurred. This lasted at least 90 minutes. Full recovery occurred by the eighth day. Early miosis also occurred when pupils were dilated with 5% homatropine, followed in 5 minutes by 1% hydroxyamphetamine, followed in 5 minutes by a second drop of homatropine. Maximum mydriasis occurred by 30 minutes and remained for 1 hour. Pupillary diameters were normal in 48 hours.

Wolf and Hodge689 compared single drops of 1% atropine, 1% methylatropine, and 1% homatropine in subjects 16 to 37 years of age. The respective times until maximum mydriasis were 40, 50, and 40 minutes. However, the amounts of maximum mydriasis differed, the respective ratios being 1.4:1.3:1. The onset of recovery for all three drugs was 6 hours.

Milder and Riffenburgh690 compared 0.5% cyclopentolate (two drops, each given 10 minutes apart to one eye) with 5% homatropine (two drops, each given 10 minutes apart to the other eye). The eye receiving homatropine also received a single drop of 1% hydroxyamphetamine. Cyclopentolate produced dilation sooner, but the mean maximum mydriasis achieved with the homatropine-hydroxyamphetamine combination was greater: 6.7 mm for the former versus 7.4 mm for the latter. Recovery also occurred sooner with cyclopentolate, often beginning by 3 hours and usually not complete until the next day. The mydriatic effect was less in black subjects in both magnitude and duration.

Gordon and Ehrenberg486 gave two drops of 0.5% cyclopentolate followed by a third drop 5 minutes later. Maximum mydriasis occurred at approximately 30 minutes, and the mean final pupillary diameter (7 mm) was greater than that achieved by 2% homatropine (6.1 mm) given in a similar manner. Recovery occurred within 20 hours of cyclopentolate administration but required up to 48 hours with homatropine administration.

Two drops of 1% cyclopentolate were administered to 48 children whose mean age was 7 years.691 Instilling the drops one minute apart produced as much mydriasis as instilling them 5 minutes apart.

Five volunteers were given (at different times) one drop of each of four different muscarinic antagonists in pH 6.5 physiologic saline: 5% eucatropine, 0.5% tropicamide, 0.5% homatropine, and 0.5% cyclopentolate.692 At 20 minutes postdrop, the mean mydriatic effects, compared with baseline, were: eucatropine (1.19 mm) < homatropine (1.99 mm) < tropicamide (3.72 mm) < cyclopentolate (3.96 mm). The maximum mydriasis was in the same order: 2.89 mm, 3.80 mm, 4.02 mm, and 4.42 mm. Percent recovery at 8 hours was: tropicamide (95%) > eucatropine (72%) > homatropine (30%) > cyclopentolate (12%). At 24 hours, recoveries from eucatropine and tropicamide were essentially complete, but not from homatropine (79%) or cyclopentolate (44%).

Merrill and colleagues693 found that 0.5% or 1% tropicamide almost always produced maximum mydriasis within 30 minutes, whereas 1% cyclopentolate, 5% homatropine, or 10% phenylephrine almost always required 60 to 90 minutes. The magnitude of dilation from tropicamide at 30 minutes was greater than that from the other drugs at 60 minutes. Tropicamide 1% was more effective than 0.5% tropicamide. Mydriasis disappeared 6 hours after 1% tropicamide in a group of 17 white subjects, aged 8 to 20 years; however, mydriasis from 1% cyclopentolate was still present in 82% of these subjects.

Gettes485 found single drops of 4% cocaine and 0.05% tropicamide about equal in mydriatic potency. So, too, were 1% hydroxyamphetamine and 0.1% tropicamide when compared 30 minutes postinstillation. Indirect ophthalmoscopy could be performed after a single drop of 0.5% tropicamide or after a combination of 0.2% tropicamide and 2% phenylephrine.

Gambill and associates694 compared the mydriatic effects of 0.5% tropicamide and 2% homatropine in 15 subjects using pupillography (Table 2). The maximum amount of mydriasis from tropicamide was approximately 5% greater than that from homatropine in eyes with light irides, and approximately 14% greater in eyes with dark irides.

 

TABLE 2. Comparisons of Mydriatic Effects of Tropicamide 0.5% and Homatropine 2%*


 Light IridesDark Irides
 TropicamideHomatropineTropicamideHomatropine
Latency7.114.36.414.2
Maximum effect36.868.042.478.4
Half recovery151.8420.0186.6425.4
90% recovery451.81192.8489.01190.4

*Average time in minutes.
(Gambill HD, Ogle KN, Kearns TP: Mydriatic effect of four drugs determined with pupillograph. Arch Ophthalmol 77:740, 1967)

 

A single eyedrop containing tropicamide and phenylephrine in various combinations (i.e., 0.5% to 1% tropicamide and 2.5% to 10% phenylephrine) produces adequate but not maximum pupil dilation.695–697

Carpel and Kalina698 dilated the eyes of 25 premature infants with birth weights of 800 to 2900 g. Three applications of 1% cyclopentolate, one drop in each eye every 5 minutes, were given, and the pupils were measured 30 minutes after the last drop. Then 10% phenylephrine was given to the right eye only and the pupils were remeasured 30 minutes after the last drop. The mean pupillary diameter after cyclopentolate alone was less than 70% of the corneal diameter at both readings. In the eyes receiving cyclopentolate and phenylephrine, the mean pupillary diameter increased to approximately 90% of corneal diameter.

Alzheimer's dementia is associated with degeneration of central nervous system cholinergic neurons. It is unknown if this is a primary or secondary finding. Because of this association, iris supersensitivity to tropicamide has been suggested as a diagnostic test. Pupil supersensitivity to a drop of 0.01% tropicamide was reported to differentiate non-Alzheimer patients from those who had the disease or were suspect.699 However, multiple studies have failed to confirm this finding.700–702

Cycloplegia. Ciliary muscle paralysis prevents the eye from increasing the convex power of the lens. This occurs because the curvature of the intraocular lens cannot be altered. It is not that a change in the corneal curvature is prevented. This was shown by Daily and Coe,703 who performed keratometry readings before and after cycloplegia. The two were identical. Poinoosawmy and co-workers518 reported that stimulation of accommodation with pilocarpine did alter corneal curvature.

With the use of ultrasound, ciliary body thickness was found to decrease by 0.06 mm 2 hours after volunteers received a drop of 1% cyclopentolate.393 This was believed to be due to relaxation of the ciliary muscle.

Cycloplegia is of clinical importance because it allows a baseline evaluation of the refractive status of the eye. In subjects capable of accommodation, a dynamic focusing system is present. As the young child looks from physician, to retinoscope light, to mother, to distant fixation target, the diopteric power of the intraocular lens changes. Accurate refraction becomes difficult or impossible. This is not acceptable in children with accommodative esotropia or anisometropic amblyopia. In orthotropic children with normally developing vision, it might be argued that cycloplegia is unnecessary because small errors in the measurements are unimportant. However, this defense assumes that the refractionist knows his or her errors are insignificant without having measured them. On the other hand, in younger subjects, cycloplegia will occasionally induce errors in the amounts and axes of astigmatism. These may result from the taut zonules tilting the lens in a nonphysiologic manner. The art of refraction lies in blending both cycloplegic and noncycloplegic findings.

The assessment of the relative cycloplegic activity of different drugs suffers from the same limitations mentioned for mydriatic activity. Different concentrations and commercial preparations are used in populations that differ in race, age, and iris pigmentation. Furthermore, the techniques for determining residual accommodation differ from paper to paper. Some measure the near point of accommodation with print or a Prince rule; others use lens techniques that incorporate near-point determinations; and others use retinoscopic findings. If blur-point techniques are used to measure residual accommodation, then depth of focus is being evaluated as well.

Atropine (1%) drops, three times a day for 3 days, in 107 subjects ranging in age from 15 to 40 years produced maximum cycloplegia 23 to 48 hours after the first drop. Accommodation returned rapidly enough that most subjects could read newsprint 3 days after the last drop. Giving drops five times a day did not increase cycloplegia.688 A single drop of 0.5% scopolamine in 21 subjects with a mean age of 23 years produced maximum cycloplegia in 40 minutes; this persisted for at least 90 minutes. By the third day, most could read. Normal accommodation returned within 10 days. Homatropine (5%), two applications given 5 minutes apart to 25 subjects with a mean age of 28 years, resulted in maximum cycloplegia 50 minutes after the first drop. This was maintained for 30 minutes. By 6 hours, subjects could read, and full return of accommodation occurred within 48 hours.

Atropine (1%), as an ointment, was given twice a day for 4 days to 648 1-year-olds.489 The cycloplegia induced was compared with that from a single drop of 1% cyclopentolate given to each of 355 1-year-olds 30 minutes before retinoscopy. A third group of 415 1-year-olds received two instillations of 1% cyclopentolate, 10 minutes apart, with retinoscopy performed 30 minutes after the last drop. There were no significant differences in the results obtained from one or two drops of cyclopentolate. However, there was significantly more (p < 0.01) cycloplegia, averaging approximately 0.4 D per subject, in the group receiving atropine. Of esotropic children under age 5.5 years, 22% had 1 D or more of hyperopia uncovered by atropine rather than cyclopentolate.704

Single drops of 1% atropine, methylatropine, or homatropine were given to subjects 16 to 37 years of age. The times until maximum cycloplegia were 5 hours, 5 hours, and 25 minutes, respectively.689 However, the amounts of maximum cycloplegia were not the same for all three drugs. Residual accommodation was least after atropine and most after homatropine. The duration of maximum cycloplegia was 1 day for atropine, 6 hours for methylatropine, and 1 hour for homatropine. The times until complete cycloplegia recovery from atropine (9.2 ± 3.6 days) and from methylatropine (6.8 ± 3.8 days) were not significantly different.

Twelve black and 19 white subjects, whose ages ranged from 8 to 48 years, were given 0.5% cyclopentolate to one eye and 5% homatropine to the other. Two instillations of each drug, 10 minutes apart, produced no significant differences in residual accommodation. Cyclopentolate had a more rapid onset but shorter duration: 40% of cyclopentolate-treated eyes achieved maximum cycloplegia in less than 15 minutes; 22% of cyclopentolate-treated eyes required 45 minutes or more. By 24 hours, the cyclopentolate effect, but not that of homatropine, was gone. In 30% of eyes receiving cyclopentolate, maximum cycloplegia lasted less than or equal to 30 minutes. It was concluded that the optimum time for refraction was 45 minutes or less after 0.5% cyclopentolate was given in this manner.690 Blacks tended to have less cycloplegia from both drugs. In subjects initially given two drops of 0.5% cyclopentolate to the eye, followed by a third drop 5 minutes later, similar results were obtained.486 Maximum cycloplegia occurred 30 to 60 minutes after the drops. The residual accommodation 60 minutes after the cyclopentolate drops was less than that from 4% homatropine, 1.1 D versus 2.0 D. In both studies, cyclopentolate recovery occurred within 24 hours, whereas that from homatropine lagged.

Single drops of 1% cyclopentolate, 1% tropicamide, and 0.5% tropicamide, were compared with use of a Prince rule.693 Tropicamide (0.5%) produced much less cycloplegia. In subjects under 10 years of age, the mean residual accommodation 30 minutes after a 0.5%, or 1% tropicamide drop was, respectively, 4.22 or 0.35 D. The maximum cycloplegic effect from 1% tropicamide was greater than that from 1% cyclopentolate or 5% homatropine but of much shorter duration (Table 3). Six hours after instillation of 1% tropicamide, 90% of accommodation had returned, whereas 6 hours after instillation of cyclopentolate, 42% of accommodation had returned.

 

TABLE 3. Residual Accommodation (Prince Rule) in Subjects 4 to 9 Years of Age After a Single Drop


   Diopters of Residual Accommodation Minutes After Drop
CycloplegicRaceNo. Subjects15306090120
1% TropicamideWhite224.20.43.76.45.6
 Black144.42.65.388.2
1% CyclopentolateWhite84.844.14.74.8
 Black84.84.23.33.15
5% HomatropineWhite57.66.35.95.55.4
 Black586.45.95.65.5
(Merrill DL, Goldberg B, Zavell S: bis-Tropicamide, a new parasympatholytic. Curr Ther Res 2:43, 1960)

 

However, a study by Gettes490 found that the cycloplegia produced by a single instillation of 1% tropicamide was inadequate. In 53% of the eyes of subjects whose ages ranged from 14 to 35 years, more than 2.5 D of residual accommodation remained 20 to 25 minutes after drug application. In the 20- to 35-minute period postinstillation, 38% of eyes had more than 2.5 D residual accommodation. If a second drop of 1% tropicamide was given 5 to 25 minutes after the first, 100% of these subjects had less than 2.5 D of residual accommodation 20 to 25 minutes after the second drop. If refractions were performed up to 35 minutes after the second drop, 10% of eyes had more than 2.5 D of residual accommodation. The effect of 1% tropicamide, 1% cyclopentolate, or 4% homatropine-1% hydroxyamphetamine given to one eye was compared with the cycloplegic effect of one of the other two solutions placed in the contralateral eye. Two instillations of each medication were given, 5 minutes apart.705 Refractions were performed 20 to 40 minutes after the second drop. Residual accommodation was less than 2.5 D in 79% of the eyes of white subjects and 69% of the eyes of black subjects given tropicamide, 83% of the eyes of white subjects given cyclopentolate, and 51% of the eyes of white subjects and 36% of the eyes of black subjects given homatropine. By 40 to 60 minutes after the second drop, residual accommodation was more than 2.5 D in over half of the eyes receiving tropicamide. However, 91% of eyes receiving cyclopentolate and 59% of eyes receiving homatropine still had less than 2.5 D of residual accommodation.

Milder706 performed similar studies in a masked manner. Two instillations of one drop of 1% tropicamide, 1% cyclopentolate, or 5% homatropine were given to each eye of the subjects. Tropicamide drops were given 5 minutes apart and the others were given 10 minutes apart. Residual accommodations were measured at 30 and 60 minutes. The values 30 minutes after the tropicamide were compared with those 60 minutes after cyclopentolate or homatropine. In 80% of subjects, homatropine was superior to tropicamide, and in 92% of subjects, cyclopentolate was superior to tropicamide. The magnitude of residual accommodation was inversely related to age, and it was concluded that tropicamide should not be used for cycloplegia in patients under 40 years of age.

Miranda707 preceded 1% cyclopentolate drops to each eye with bilateral proparacaine anesthetic drops. In one eye, a second drop, 1% tropicamide, was given 25 seconds after the cyclopentolate. Refractions were performed 30 to 40 minutes later. Residual accommodation was measured by holding a reading card at 16 inches and gradually overminusing a + 2.50 lens. In a test group of 185 subjects ranging in age from 7 to 36 years, the cyclopentolate-tropicamide combination was superior in heavily pigmented eyes. In blue, green, light brown, and medium brown irides, the residual accommodation of the two eyes ranged from 0.25 to 1.00 D. However, the residual accommodation in eyes with dark brown irides receiving cyclopentolate alone was 1.25 to 5.50 D, whereas that in eyes receiving cyclopentolate-tropicamide was 0.50 to 1.25 D. Age was not as important a variable as was iris pigmentation. Equivalent cycloplegia was achieved in a group of children with a mean age of 7 years by instilling two drops of cyclopentolate 1 minute apart or 5 minutes apart.691

Five volunteers were given, at different times, one drop of the following made up in pH 6.5 physiologic saline: 5% eucatropine, 0.5% homatropine, 0.5% tropicamide, and 0.5% cyclopentolate.692 The mean maximum reduction in accommodation was eucatropine (2.85 D) < homatropine (6.17 D) < tropicamide (7.14 D) < cyclopentolate (8.64 D). The percent recoveries at 8 and 24 hours, respectively, were: eucatropine, 89% and 100%; tropicamide, 99% and 98%; homatropine, 39% and 89%; and cyclopentolate, 46% and 66%.

Analgesia. The source of pain during intraocular inflammation is unknown. The cornea is innervated by sensory fibers of the trigeminal nerve that pass near or through the uvea. In primates, trigeminal innervation is also present in the anterior stroma of the ciliary body and, to a lesser degree, in the iris and trabecular meshwork.708,709 Cycloplegic agents relieve the discomfort associated with intraocular inflammation. The degree of relief is variable but often dramatic.

Malignant Glaucoma. Slack zonules may be a cause of malignant glaucoma. The lens comes forward and flattens the anterior chamber. This mechanism is resistant to peripheral iridectomy and muscarinic agonists. The latter may initiate or aggravate the condition. Chandler and Grant534 reported seven patients in whom malignant glaucoma developed after a peripheral iridectomy for narrow-angle glaucoma. Muscarinic antagonists, such as atropine, homatropine, and scopolamine, were of value in breaking these attacks. Presumably they acted by paralyzing the ciliary muscle, pulling the zonules taut, and drawing the lens posteriorly. Frezzotti and Gentili710 found that long-term muscarinic antagonists also prevented recurrences of malignant glaucoma. However, Chandler and colleagues711 reported a more complex situation. Not all patients with malignant glaucoma responded to muscarinic antagonists. Those who did were not always controlled during long-term therapy. Although malignant glaucoma usually returned when muscarinic blocking agents were discontinued, one subject could be maintained on acetazolamide alone. Overall, their short-term success rate in 17 subjects was 60% and their long-term success rate was just under 50%.

Provocative Testing. Muscarinic antagonists can elevate intraocular pressure. Sometimes this is an undesired side effect. At other times, it is of diagnostic value.

CLOSED-ANGLE GLAUCOMA. Muscarinic antagonists have been used to predict which eyes with narrow angles are likely to develop acute closed-angle glaucoma. The rationale for this provocative action is that mydriasis thickens the iris base and occludes the angle. However, the results of testing are erratic. For example, Sugar712 instilled 4% homatropine into the eyes of four subjects who had had prior attacks of closed-angle glaucoma but who had not received iridectomies. Two did not have an increase in ocular pressure. The other two had marked elevations of more than 15 mmHg. In four narrow-angle glaucoma patients whose eyes were dilated with 10% phenylephrine, an adrenergic agonist, two had no increases in ocular pressure, one had an increase of 32 mmHg 30 minutes after instillation, and one had a latency of more than 5 hours before the pressure rose by 29 mmHg.

There appears to be little relation between the intrinsic muscarinic blocking potency of a drug and its ability to elicit a positive provocative test. Twenty subjects with prior histories of closed-angle glaucoma were tested. In 13 subjects, the drops were placed in the contralateral eyes (i.e., the eyes that had no histories of angle-closure attacks). In 7 subjects, the drops were placed in the diseased eyes.713 Eucatropine (2%) did not elevate the ocular pressure of five eyes but did elevate the ocular pressure of five other eyes by a mean of 21 mmHg. Three of the five unresponsive eyes remained normotensive after 2% homatropine. The two eyes that did respond had ocular pressure increases of 36 and 37 mmHg. Eucatropine elevated the intraocular pressure in one eye that did not respond to homatropine. One of the five eyes unresponsive to eucatropine developed a marked elevation, of 42 mmHg, after 1% hydroxyamphetamine, an adrenergic agonist.

A decrease in tonographic outflow facility may occur more often than an increase in intraocular pressure.714 Tonography was performed before and 1 hour after 5% eucatropine eyedrops were placed in 58 normotensive eyes with narrow angles. Twenty-eight percent had ocular pressure elevations of at least 8 mmHg, and 67% had outflow facility decreases of at least 25%. Of these 58 subjects, 55% eventually had a closed-angle attack. In retrospect, 44% had had a positive pressure provocative test and 88% had had a positive tonography provocative test.

CILIARY BLOCK GLAUCOMA. Ciliary block glaucoma occurs when the ciliary processes or ciliary muscle adhere to the back of the iris. This can occur spontaneously or after intraocular surgery (especially glaucoma filtering procedures). Muscarinic antagonists, such as atropine, can be of therapeutic value by paralyzing and flattening the ciliary muscle, thereby pulling away the adhering tissues.715 The effectiveness of muscarinic antagonists is variable; chronic use may be necessary.

OPEN-ANGLE GLAUCOMA. Harris716 observed that 2% of the “normal” open-angle population had a pressure elevation of 6 mmHg or more after topical applications of 1% cyclopentolate. Homatropine (5%) and 1% atropine were as effective as 1% cyclopentolate in provoking this response, but 0.5% tropicamide, 0.2% cyclopentolate, 5% eucatropine, and 10% phenylephrine were not. In approximately 70% of subjects responding to 1% cyclopentolate, 0.25% scopolamine was equally effective. Harris raised the question of whether this 2% of the population was or was not at risk of developing open-angle glaucoma. Subsequently, 58 subjects with a family history of open-angle glaucoma were studied.717 In none did 1% cyclopentolate elevate the intraocular pressure more than 5 mmHg. This seemed to indicate that muscarinic antagonists were of little predictive value. A different approach was then investigated. Dexamethasone (0.1%) was instilled three times a day for 3 weeks by these 58 subjects. In those with a steroid-induced pressure elevation of at least 6 mmHg, 41% had an additional elevation of at least 6 mmHg after topical application of 1% cyclopentolate. In those without a steroid-induced pressure elevation, only 6% had an elevation of this magnitude after cyclopentolate. A positive cyclopentolate test correlated significantly with a steroid-induced reduction in tonographic outflow facility but not with a steroid-induced elevation in intraocular pressure. The importance of these observations with respect to predicting future cases of open-angle glaucoma remains unclear.

A second use of provocative testing has been to anticipate which open-angle glaucoma patients given systemic muscarinic antagonists will experience increases in their intraocular pressures. Medications with muscarinic blocking activity are given for ulcer therapy and psychiatric conditions, for example. Lazenby and associates718,719 studied 24 subjects who had been off glaucoma therapy 3 or more days and 4 subjects who had been continued on medication. They found that topical 1% cyclopentolate caused a rise of 5 mmHg within 2 hours in half of these patients. Neither the cyclopentolate-responding group nor the cyclopentolate-nonresponding group had ocular pressure elevations during short-term oral atropine sulfate therapy. The atropine sulfate was given in two doses of 0.6 mg, 4 hours apart. A second group of 21 patients with open angles and elevated pressures was given oral atropine sulfate, 0.6 mg, three times a day for 7 days. Nine had responded to prior cyclopentolate eyedrops with an ocular pressure increase of 5 mmHg or more. In 4 of these 9, oral atropine was associated with an elevation in ocular pressure of 6 to 14 mmHg. In 1 of the 4, the pressure in one eye was elevated 9 mmHg and the pressure in the other eye was lowered 2 mmHg. In the remaining 5 cyclopentolate responders, the change in ocular pressure ranged from -2 to + 3 mmHg. A consistent relationship between the ocular pressure response and the tonographic outflow facility response was not observed (e.g., in 1 subject whose ocular pressures increased by 14 and 6 mmHg, the outflow facility values decreased from 0.08 μL/min/mmHg to 0.06 μL/min/mmHg in the former and increased from 0.08 μL/min/mmHg to 0.13 μL/min/mmHg in the latter). The 12 subjects who did not respond to cyclopentolate had little response to oral atropine. Their mean ocular pressures and outflow facilities before and after atropine were, respectively, 22.6 and 22.5 mmHg and 0.18 μL/min/mmHg and 0.19 μL/min/mmHg. These authors concluded that pretesting open-angle glaucoma patients with 1% cyclopentolate eyedrops often identified those at risk of developing further elevations in their ocular pressures from oral anticholinergic medications.

Myopia. It has been suggested that myopia results from accommodation (i.e., ciliary muscle contraction produces elongation of the eye). If so, then muscarinic antagonists, such as atropine, would prevent myopia by putting the ciliary muscle to rest. The evidence is, at best, suggestive. Dyer720 instilled 1% atropine once each day bilaterally in 86 children for 2 to 8 years. Nineteen percent had an increase in myopia of 1 D or more. In another group of 86 children given their full corrections, 84% had an increase of 1 D or more. Bedrossian721 reported that children using 1% atropine for 1 year in one eye had a mean decrease in myopia of 0.21 D in that eye compared with an increase of 0.82 D in the control eye. However, the comparison was made by refracting the control eye with tropicamide. The data may only represent a difference in the cycloplegic potency of atropine versus tropicamide. Sampson722 found that atropine drops seemed to prevent the progression of myopia, but on discontinuing the drops only 12% of subjects maintained their improvement for more than 6 months.

If muscarinic antagonists prevent myopia, then muscarinic agonists, by facilitating accommodation, might induce myopia. However, there are no reports of rapidly developing myopia in children with accommodative esotropia treated with DFP or echothiophate.

Perhaps atropine prevents myopia in a manner that is unrelated to the drug's effect on accommodation. Oral doses of 0.6 mg atropine abolish sleep-associated growth hormone secretion.723 Two 50-μL eyedrops of 1% atropine contain 1 mg atropine, an amount sufficient to have systemic effects.

Amblyopia. As an alternative to occlusive patching of the normal eye, disuse amblyopia can be treated with muscarinic antagonists. The blurring produced by cycloplegia penalizes the eye with normal acuity and encourages use of the amblyopic eye. This form of therapy will succeed only if the reduction in acuity of the normal eye exceeds that of the amblyopic eye. In cases of latent nystagmus, pharmacologic penalization may be the preferred treatment. In patients with eccentric fixation, penalization has been said to be contraindicated.724 However, others have reported dramatic success with this condition.725 Johnson and Antuna726 preferred using atropine in the ointment form because they believed any additional blurring from this viscous material was beneficial.

Single daily instillations of 1% atropine may be inadequate, and multiple drops may have to be given.727 Von Noorden and Milam725 used only one drop, given each morning, and reported good results. Successful therapy, defined as an improvement of two lines or more in visual acuity, occurred in 10 of 17 amblyopic eyes. Pharmacologic penalization not only improved vision but was also used to maintain vision. In 10 of 13 patients whose vision deteriorated when patching was discontinued, vision was maintained within one line of the best acuity by the use of atropine.

Penalization during that period of visual development can result in the initially normal seeing eye developing amblyopia.728 This would occur after the initially amblyopic eye had improved to the point that its acuity surpassed that of the contralateral atropine-blurred eye. Ikeda and Tremain729 studied this phenomenon in experimental animals. The eyes of kittens were chronically blurred with atropine drops, unilaterally or bilaterally. When these cats reached maturity, single-cell recordings were made from their lateral geniculate bodies and visual cortices. Lateral geniculate body recordings were abnormal in unilaterally and bilaterally treated cats. Visual cortex recordings were abnormal only in unilaterally treated cats.

OCULAR HYPERTENSION FROM TOPICAL THERAPY. Muscarinic antagonists given topically or systemically can elevate intraocular pressure. This occurs in normotensive subjects and glaucoma patients whether the angles are open or narrow. The mechanisms involved are varied and not completely understood.

Pigment Release. Mobility of the iris is associated with release of uveal pigment and a transient block of the trabecular meshwork. Mitsui and Takagi730 removed aqueous humor from subjects diagnosed clinically as releasing pigment; the material was identified as being compatible with uveal melanin. They challenged subjects with 5% phenylephrine, 1% atropine, 1% homatropine, 0.5% physostigmine, and 1% pilocarpine. Phenylephrine was by far the most effective in releasing pigment. The other drugs were about equal in effectiveness, with the exception of pilocarpine, which elicited pigment release in only 1 of 16 subjects. Calhoun731 dilated the eyes of subjects having Krukenberg spindles with 2% homatropine plus 10% phenylephrine. The presence or absence of an increase in intraocular pressure correlated with the amount of pigment released into the aqueous humor. Valle732 studied 21 eyes that had or were suspected of having untreated open-angle glaucoma and that responded to a drop of 1% cyclopentolate with intraocular pressure elevations of 8 to 20 mmHg. These pressure responses were maximum 1 to 4 hours after instillation of cyclopentolate. By 6 hours, they approached normal values. In one third of the eyes, pigment was liberated into the anterior chamber. The degree of pressure elevation correlated with the amount of pigment released.

Pseudoexfoliation. A 1% cyclopentolate provocative test was performed on Scandinavian patients suspected of having open-angle glaucoma.733 An increase of 8 mmHg in intraocular pressure was considered positive. Of the 8% of patients having a positive test, half had pseudoexfoliation of the lens capsule.

Open-Angle Glaucoma. The response of eyes with open-angle glaucoma to muscarinic antagonists is not entirely predictable. Some eyes develop elevations of intraocular pressure and some do not. Of 15 eyes with open-angle glaucoma that were dilated with two drops of 5% homatropine given 10 minutes apart, 8 had intraocular pressure elevations of 6 to 13 mmHg, 4 had elevations of less than 6 mmHg, 2 did not change, and 1 had a decrease in ocular pressure of 3 mmHg.734 In a comparison of 5% homatropine, 2% hydroxyamphetamine, and a solution containing both, the mean ocular pressure rise from the combination was the largest. It occurred 3 hours after instillation and averaged 5.6 mmHg. The maximum homatropine and hydroxyamphetamine responses were at 2 hours and averaged 4.5 and 3 mmHg, respectively. Sugar712 instilled 4% homatropine in one eye and 10% phenylephrine in the other eye of 51 open-angle glaucoma subjects who had not taken their medications that day. The changes in intraocular pressures were determined 30 and 60 minutes later. The range of responses to homatropine was -4 to + 8 mmHg and the range of responses to phenylephrine was -8 to + 8 mmHg. Galin735 dilated bilaterally the eyes of three subjects with open-angle glaucoma off medication and six normotensive subjects with open angles; he used 1% cyclopentolate, every 15 minutes for four doses. In seven of the subjects, an increase in intraocular pressure of 8 mmHg or more occurred, but only unilaterally.

Harris and Galin736 studied 69 open-angle glaucoma patients receiving either bilateral pilocarpine or bilateral echothiophate therapy. Each subject was challenged with three drops of 1% cyclopentolate unilaterally. The drops were given 15 minutes apart. The other eye served as control. Forty-one percent of 53 pilocarpine-treated eyes and 50% of 16 echothiophate-treated eyes responded to cyclopentolate with pressure elevations of 6 mmHg or more. It was not unexpected that muscarinic antagonists would reverse the hypotensive effects of muscarinic agonists, but it was surprising that the reversal did not occur in all eyes. Thirty-eight of these patients were then taken off muscarinic therapy for 2 weeks and rechallenged. Twenty-four percent had an increase in intraocular pressure of 6 mmHg or more. This incidence was lower than that while on therapy, probably because the pressures were already near their peak before they were challenged. Combining these results with those of prior studies, the authors stated that the overall incidence of a 6-mmHg or greater ocular pressure elevation after challenge by cyclopentolate drops was 33% for open-angle glaucoma subjects on muscarinic agonist therapy.

Valle737 compared the cyclopentolate response of glaucoma suspects with intraocular pressures of 22 to 24 mmHg with that of untreated open-angle glaucoma patients. Two drops of cyclopentolate were given, each 15 minutes apart, and the ocular pressures were followed for a minimum of 3 hours. In the suspect group, the mean increase in intraocular pressure was 0.4 ± 2.5 mmHg. This was significantly less than that of the glaucoma group (2.5 ± 3.1 mmHg). Only 2% of the suspect group and 9% of the glaucoma group had elevations in pressure of 8 mmHg or more. There was no correlation between the initial ocular pressure and the magnitude of the pressure response.

The eyes of patients with primary open-angle glaucoma were dilated with 1% tropicamide plus phenylephrine.738 The mean ± SD intraocular pressure before dilation was 22.9 ± 6.1 mmHg. One hour after the drops, the mean intraocular pressure was 25.8 ± 7.7 mmHg. Individual changes in ocular pressure ranged from -6 mmHg to + 22 mmHg. An intraocular pressure increase occurred in 60% of subjects and a decrease in 30%. Increases of 10 mmHg or more occurred in 12% of subjects, and increases of 20 mmHg or more occurred in 2%. The only significant risk factor for an elevation was the therapeutic use of muscarinic agonists: 41% of these subjects had an elevation of 5 mmHg or more and 19% had an elevation of 10 mmHg or more. There was no significant correlation between the intraocular pressure rise after dilation and the intraocular pressure rise after laser trabeculoplasty.

The tonographic outflow facility responses to muscarinic antagonists may be more consistent than the ocular pressure responses. Galin735 gave multiple drops of cyclopentolate to 18 eyes. Nine developed elevations in intraocular pressure of 8 mmHg or more and 11 developed decreases in outflow facility of 25% or more. Schimek and Lieberman739 found that all 17 eyes of open-angle glaucoma subjects receiving cyclopentolate had decreases in outflow facility, whereas only 15 eyes had increases in intraocular pressure. Christensen and Pearce740 gave two drops of 5% homatropine unilaterally to 35 chronic simple glaucoma patients. The mean increase in ocular pressure was 3 mmHg, with a range of -2 to + 19 mmHg. The mean decrease in tonographic outflow facility was 28%.

Normotensive Subjects With Open Angles. One eye of each of 70 normotensive subjects, ranging in age from 22 to 80 years, was dilated with 5% homatropine. The ocular pressure change 45 minutes later was similar to that of the control eye, ranging from -6 mmHg to + 3.5 mmHg.740 Tonographic outflow facilities were reduced in the challenged eyes 9% to 10% more than in the control eyes. However, Harris716 found a 2% incidence of a 6-mmHg or greater pressure elevation in 550 normotensive open-angle subjects after 1% cyclopentolate, one drop every 15 minutes for three doses. Homatropine (5%) and 1% atropine were as effective as cyclopentolate in elevating the ocular pressure.

Chronic Narrow-Angle Glaucoma. Lowe741 found that many subjects with chronic narrow-angle glaucoma and open peripheral iridectomies developed angle closure, increased intraocular pressure, and decreased outflow facility after their eyes were dilated with homatropine. Phenylephrine (10%) dilatation did not produce these changes. The explanation offered was that the pull of the sphincter muscle against the phenylephrine-stimulated dilator muscle produced a vector of force pulling the iris base away from the angle. This, presumably, did not occur after homatropine. Harris and Galin742 found similar results. Dilating 26 eyes successfully treated with peripheral iridectomies (i.e., none had residual chronic closed-angle glaucoma) did not produce elevations in ocular pressures. However, in seven of eight eyes with chronic narrow-angle glaucoma, 1% cyclopentolate, but not 10% phenylephrine, produced pressure elevations of 6 mmHg or more. They did not confirm Lowe's741 explanation because the filtration angles, as shown by gonioscopy, remained open in the seven eyes developing elevated intraocular pressures after homatropine.

Acute Closed-Angle Glaucoma. Only 1 of 250 primary care physicians routinely dilates pupils, even when examining diabetics.743 The stated excuse is the fear of provoking acute narrow-angle glaucoma.744 However, if patients with a history of glaucoma or shallow anterior chambers on penlight examination are excluded, there is less than a 0.3% chance of inadvertently dilating the eyes of a subject with potentially occludable filtration angles, as determined by gonioscopy.745

The mechanisms by which muscarinic antagonists produce acute closed-angle glaucoma were stated earlier. However, the incidence of pharmacologically induced angle closure in eyes without previous attacks is unknown. Therefore, a controversy exists. Some ophthalmologists will not perform a dilated intraocular examination on subjects with narrow angles for fear of provoking an acute attack of glaucoma. Other ophthalmologists routinely instill muscarinic antagonists because they believe that the incidence of acute angle closure is lower than the incidences of other types of ocular pathology (e.g., retinal tears, retinal detachments, and melanomas) that would otherwise escape detection. It can also be argued that pharmacologically provoking an attack of angle closure is in the patient's best interest. The ophthalmologist can make the correct diagnosis and provide adequate treatment. Spontaneous attacks that occur without medical supervision are more likely to lead to severe visual loss and intractable glaucoma.

OCULAR HYPERTENSION FROM SYSTEMIC THERAPY. Lund Karlsen192 gave guinea pigs intraperitoneal injections of atropine at a concentration that was lethal in humans (i.e., 0.225 mg/kg). This produced iris concentrations that were only 3% of those achieved by eyedrops containing 0.01 mg atropine. This demonstrates why systemic muscarinic antagonists do not commonly affect intraocular structures (i.e., relatively small amounts enter the eye). The ensuing discussion deals with the ocular effects of systemically administered muscarinic antagonists. Normotensive, open-angle glaucoma, and narrow-angle glaucoma subjects are considered separately. The responses are variable within all three groups. Most subjects demonstrate little or no effect. However, a minority do respond significantly. As a result, the ophthalmologist cannot dismiss a priori systemic anticholinergic medications as being of little consequence.

Normotensive, open-angle subjects were given intramuscular injections of 0.6 to 0.8 mg atropine or 0.4 to 0.6 mg scopolamine. Three of the eight receiving atropine developed 0.5 to 1.5 mm mydriasis, and seven of the eight receiving scopolamine developed 0.5 to 2 mm mydriasis.590 There was a mean increase of 8 mm in the near point of accommodation after atropine and a mean increase of 27 mm after scopolamine. When 100 normotensive subjects ranging in age from 16 to 40 years were given atropine 0.016 mg/kg, 13 developed pupillary dilations of 2 mm or less and 9 developed ocular pressure elevations of 3 mmHg or less.746 Similar results were obtained after intramuscular injection of scopolamine 0.01 mg/kg.747 Cozanitis and co-workers748 reported that atropine 0.01 mg/kg did not affect the pupillary diameter.

A single intramuscular injection of atropine sulfate, 2 mg, in 13 male normotensive subjects produced a mean maximum pupil dilation of 1.25 mm at 2 hours postinjection.749 By 5 hours postinjection this effect was gone. Bye and colleagues750 used pupillography to study the effects of oral atropine sulfate, 0.02 mg/kg. During the 3 hours after ingestion, the mean pupillary diameter increased significantly, going from 7.26 mm to 7.49 mm. The amplitude of the light reflex was significantly diminished. Other anticholinergic drugs that have been studied include oral propantheline751 and intramuscular glycopyrrolate.748 Propantheline, 15 mg every 6 hours, was given for 24 hours. There was a 16% incidence of an ocular pressure elevation of at least 4 mmHg and a 12% incidence of an ocular pressure depression of at least 4 mmHg. The incidences of pupillary dilation or constriction of at least 1 mm were similar. Glycopyrrolate (glycopyrronium), 0.04 mg/kg, did not affect either the pupillary diameters or the ocular pressures of the 10 subjects who were tested.

Eight open-angle glaucoma patients off therapy for 48 hours were given either 0.5 to 0.6 mg atropine or 0.4 to 1 mg scopolamine intramuscularly. Usually the intraocular pressures fell or were unchanged. In one eye there was a pressure increase of 3 mmHg after atropine, and in two eyes there were pressure increases of less than 2 mmHg after scopolamine.752 Thirty-four eyes with open-angle glaucoma were maintained on therapy, and atropine 0.01 mg/kg was injected intramuscularly. Pupillary diameters, ocular pressures, and accommodation were followed for 2 hours.753 The intraocular pressures of 22 eyes were unchanged or were reduced. In the remaining 12 eyes, the ocular pressures increased by 2 to 5 mmHg. Overall, neither the ocular pressure changes nor the pupil diameter changes were significant. Ten glaucoma subjects were given scopolamine 0.01 mg/kg. There were no significant changes in ocular pressure or pupil size.747 The ocular pressures of 94 eyes with untreated open-angle glaucoma were monitored while propantheline, 15 mg every 6 hours, was administered for 24 hours. In 21% of these eyes there was an increase in ocular pressure of 4 mmHg or more, and in 10% there was a decrease of 4 mmHg or more. In one eye, the ocular pressure elevation was 16 mmHg. Pupillary dilations were always less than 1 mm.751

Narrow-angle glaucoma patients were studied by Schwartz and associates.752 Six subjects, normotensive at the time of injection, were given 0.5 to 0.6 mg atropine or 0.4 to 1 mg scopolamine intramuscularly. Five of the six had unilateral iridectomies. The mean elevation in intraocular pressure was less than 0.5 mmHg. Six subjects with previous histories of closed-angle attacks received intramuscular injections of atropine 0.01 mg/kg.753 The ocular pressures remained unchanged or decreased. When seven narrow-angle glaucoma patients were given propantheline, 15 mg every 6 hours for 24 hours, 21% of the 14 eyes had increases in ocular pressure of 4 mmHg or more. In two eyes, the pressure elevations were 16 and 17 mmHg. In none of the 14 eyes did the pupils dilate more than 1 mm.751

SYSTEMIC TOXICITY FROM TOPICAL THERAPY. Toxicities have been reported after topical muscarinic antagonist therapy and from the ingestion of eyedrop solutions.754 All the commonly used blocking agents have been implicated.

Eyedrops produce measurable drug levels in the blood. A single 40-μL drop of 1% atropine given unilaterally to recumbent patients produced a mean ± SD peak plasma concentration of 860 ± 402 pg/mL within 8 minutes.755 A single 35-μL drop of cyclopentolate given unilaterally to supine children whose mean age was 9 ± 3 years produced a maximum plasma level of 2.2 ± 1.6 ng/mL at 5 minutes.756 Two 30-μL drops of 1% cyclopentolate produced a mean peak plasma concentration of approximately 3 ng/mL within 30 minutes; in some subjects a second peak occurred at 2 hours, presumably from gastrointestinal tract absorption.757 When the cyclopentolate drops were separated by 5 minutes, the peak concentration, 8.3 ± 0.5 ng/mL, was reached 10 ± 5 minutes after the second drop189; the second peak occurred at 45 to 60 minutes. The mean half-life in plasma of both atropine and cyclopentolate is just under 2 hours.758 Two 40-μL drops of 0.5% tropicamide instilled in one eye of women whose mean age was 70.4 ± 9.3 years produced a peak concentration of 2.8 ± 1.7 ng/mL in 5 minutes.759 By 5 hours, the plasma level was less than 0.25 ng/mL.

Death occurred in a 3-year-old white girl with a corneal perforation who was given six drops of 1% atropine topically, 0.1 mg atropine subcutaneously, and, at the conclusion of surgery, 1.5 g of 1% atropine ointment on the lids.760 The patient died within 24 hours of the first application of atropine. A 3-year-old white retarded girl developed a fever, convulsed, and died after receiving only four drops of 1% atropine; no postmortem examination was performed. Scopolamine,754 homatropine,761 and cyclopentolate762–765 have produced toxicity. The central nervous system manifestations include cerebellar signs, ataxia, dysarthria, and inappropriate behavior such as hallucinations, incoherent speech, and restlessness. Patients with prior histories of convulsions may develop seizures more readily.766 Dry, flushed skin and fever are often but not always present.761,767 Toxic signs may occur within a few minutes of administration.763 Recovery occurs within 24 hours. Two studies stand out as being especially well documented. In one, an 8-year-old black girl developed toxicity after two drops of 1% tropicamide and four drops of 1% cyclopentolate.767 The child was subsequently readmitted and given 10 drops of 1% tropicamide within 30 minutes. Toxicity did not develop. Five days later, she was challenged with six drops of 1% cyclopentolate within a 15-minute period. Toxicity, including hallucinations, returned. The other report was by Binkhorst and co-workers.768 It was a masked prospective study of drug toxicity. Thirty-five children had psychiatric evaluations before and after receiving four drops bilaterally of 1% cyclopentolate, 2% cyclopentolate, 1% homatropine, or 1% hydroxyamphetamine. Each of the four sets of drops was instilled 10 minutes apart. Only the 2% cyclopentolate solution evoked significant abnormal behavior.

Newborns are especially susceptible to systemic intoxication. Reports have associated increased abdominal distention and necrotizing enterocolitis with the use of muscarinic antagonist eyedrops for ophthalmic examination.765,769 Isenberg and colleagues770 found that 0.25% cyclopentolate had no significant effect on gastric function but that 0.5% cyclopentolate did. Interestingly, these workers reported that, as would be expected, 0.5% cyclopentolate reduced gastric volume output, whereas Hermansen and Sullivan769 reported that 0.5% cyclopentolate was associated with large gastric aspirates.

Systemic toxicity from muscarinic antagonists has been treated with direct and indirect muscarinic agonists. Pilocarpine, 6 mg subcutaneously, has caused death in a 3-year-old child.760 Forrer and Miller771 reversed the delirium and coma that followed the ingestion of 200 mg or more of atropine by injecting 1 to 4 mg physostigmine. The reversal was temporary, and after 30 to 60 minutes additional physostigmine had to be given. Duvoisin and Katz772 and Young and colleagues754 suggested using an initial subcutaneous dose of 0.25 mg physostigmine in children and 1 to 2 mg physostigmine in adults. This initial dose would be supplemented as needed every 15 minutes by doses of similar magnitude.

Back to Top
REFERENCES

1. Fukada K: Purification and partial characterization of a cholinergic neuronal differentiation factor. Proc Natl Acad Sci U S A 82:8795, 1985

2. Potter DD, Landis SC, Matsumoto SG, Furshpan EJ: Synaptic functions in rat sympathetic neurons in microcultures II. Adrenergic/cholinergic dual states and plasticity.J Neurosci 6:1080, 1986

3. Dixon WE: On the mode of action of drugs. Med Magazine 16:454, 1907

4. Loewi O: Uber humorale Ubertragbarkeit der Herznervenwirkung. Pflugers Arch Ges Physiol 189:239, 1921

5. Dale HH: The action of certain esters and ethers of choline and their relation to muscarine. J Pharmacol Exp Ther 6:147, 1914

6. Cervini R, Rocchi M, DiDonato S, Findcchiaro G: Isolation and sub-chromosomal localization of a DNA fragment of the human choline acetyltransferase gene. Neurosci Lett 132:191, 1991

7. Usdin TB, Eiden LE, Bonner TI, Erickson JD: Molecular biology of the vesicular ACh transporter. Trends Neurosci 18:218, 1995

8. Whittaker VP, Michaelson IA, Kirkland RJA: The separation of synaptic vesicles from nerve ending particles (“synaptosomes”). Biochem J 90:293, 1964

9. Burt AM: A histochemical procedure for the localization of choline acetyltransferase activity. J Histochem Cytochem 18:408, 1970

10. Fonnum F: Choline acetyltransferase binding to and release from membranes. Biochem J 109:389, 1968

11. White HL, Wu JC: Separation of apparent multiple forms of human brain choline acetylcholine acetyltransferase by isoelectric focusing. J Neurochem 21:939, 1973

12. White HL, Cavallito CJ: Choline acetyltransferase: enzyme mechanism and mode of inhibition by a styrylpyridine analogue. Biochim Biophys Acta 206:343, 1970

13. Mindel JS, Mittag TW: In vitro activation of human ocular acetylcholine synthesis by pilocarpine. Invest Ophthalmol 17 (suppl):188, 1978

14. Burt AM, Silver A: Non-enzymatic imidazole-catalyzed acyl transfer reaction and acetylcholine synthesis. Nature New Biol 243:157, 1973

15. Kasa P, Mann SP, Karcsu S et al: Transport of choline acetyltransferase and acetylcholinesterase in the rat sciatic nerve: a biochemical and electron histochemical study. J Neurochem 21:431, 1973

16. Fonnum F, Frizell M, Sjostrand S: Transport, turnover and distribution of choline acetyltransferase and acetylcholinesterase in the vagus and hypoglossal nerve of the rabbit. J Neurochem 21:1109, 1973

17. Haubrich DR: Partial purification and properties of choline kinase (EC 2.7.1.32) from rabbit brain: measurement of acetylcholine.J Neurochem 21:315, 1973

18. Wagner JA, Carlson SS, Kelley RB: Chemical and physical characterization of cholinergic synaptic vesicles. Biochemistry 17:1199, 1978

19. Vizi ES, Vyskocil F: Changes in total and quantal release of acetylcholine in the mouse diaphragm during activation and inhibition of membrane ATPase. J Physiol 286:1, 1979

20. Tauc L: Are vesicles necessary for release of acetylcholine at cholinergic synapses? Biochem Pharmacol 27:3493, 1979

21. Carroll PT, Aspry J-AM: Subcellular origin of cholinergic transmitter release from mouse brain. Nature 210:641, 1980

22. Betz WJ, Bewick GS: Optical analysis of synaptic vesicle recycling at the frog neuromuscular junction. Science 255:200, 1992

23. Sudhof TC: The synaptic vesicle cycle: a cascade of protein-protein interactions. Nature 375:645, 1995

24. Hayashi T, McMahon H, Yamasaki S: Synaptic vesicle membrane fusion complex: action of clostridial toxins on assembly. EMBO J 13:5051, 1994

25. Popov SV, Poo M: Synaptotagmin: a calcium-sensitive inhibitor of exocytosis? Cell 73:1247, 1993

26. Neher E: Secretion without full fusion. Nature 363:497, 1993

27. Alvarez de Toledo G, Fernandez-Chacon R, Fernandez JM: Release of secretory products during transient vesicle fusion. Nature 363:554, 1993

28. Gansel M, Penner R, Dreyer F: Distinct sites of action on clostridial neurotoxins revealed by double poisoning of mouse motor nerve terminals. Pflugers Arch 409:533, 1987

29. Blasi J, Chapman ER, Link E: Botulinum neurotoxin A selectively cleaves the synaptic protein SNAP-25. Nature 365:160, 1993

30. Blasi J, Chapman ER, Yamasaki S: Botulinum neurotoxin C1 blocks neurotransmitter release by means of cleaving HPC-1/syntaxin. EMBO J 12:4821, 1993

31. Ansell GB, Spanner S: Studies on the origin of choline in the brain of the rat. Biochem J 122:741, 1971

32. Blusztajn JK, Wurtman RJ: Choline biosynthesis by a preparation enriched in synaptosomes from rat brain. Nature 290:417, 1981

33. Blusztajn JK, Wurtman RJ: Choline and cholinergic neurons. Science 221:614, 1983

34. Hattori H, Kanfer JN: Synaptosomal phospholipase D potential role in providing choline for acetylcholine synthesis. J Neurochem 45:1578, 1985

35. Lee H-C, Fellenz-Maloney M-P, Liscovitch M, Blusztajn JK: Phospholipase D catalyzed hydrolysis of phosphatidylcholine provides the choline precursor for acetylcholine synthesis in a human neuronal cell line. Proc Natl Acad Sci U S A 90;10086, 1993

36. Haga T, Noda H: Choline uptake systems of rat brain synaptosomes. Biochim Biophys Acta 291:564, 1973

37. Barker LA, Mittag TW: Comparative studies of substrates and inhibitors of choline transport and choline acetyltransferase. J Pharmacol Exp Ther 192:86, 1975

38. Jenden DJ, Jope RS, Weiler MH: Regulation of acetylcholine synthesis: does cytoplasmic acetylcholine control high affinity choline uptake? Science 194:635, 1976

39. Collier B, Ilson D: The effect of preganglionic nerve stimulation on the accumulation of certain analogues of choline by a sympathetic ganglion. J Physiol 264:489, 1977

40. Jope RS, Weiler MH, Jenden DJ: Regulation of acetylcholine synthesis: control of choline transport and acetylation in synaptosomes. J Neurochem 30:949, 1978

41. Marchbanks RM, Kessler PD: The independency of choline transport and acetylcholine synthesis. J Neurochem 39: 1424, 1982

42. Burnstock G: Cholinergic, adrenergic, and purinergic neuromuscular transmission. Fed Proc 36:2434, 1977

43. Purves RD: Function of muscarinic and nicotinic acetylcholine receptors. Nature 261:149, 1976

44. Raftery MA, Hunkapiller MW, Strader CD, Hood LE: Acetylcholine receptor: complex of homologous subunits. Science 208:1454, 1980

45. Takai T, Noda M, Mishina M et al: Cloning, sequencing and expression of cDNA for a novel unit of acetylcholine receptor from calf muscle. Nature 315:761, 1985

46. Hall ZW, Sanes JR: Synaptic structure and development: the neuromuscular junction. Cell 72:99, 1993

47. Kaminski HJ, Fenstermaker R, Ruff RL: Adult extraocular and intercostal muscle express the gamma-subunit of fetal AChR. Biophys J 59:444a, 1991

48. Horton RM, Manfredi AA, Conti-Tronconi BM: The embryonic gamma subunit of the nicotinic acetylcholine receptor is expressed in adult extraocular muscle. Neurology 43:983, 1993

49. Kaminski HJ, Kusner LL, Nash KV, Ruff RI: The gamma subunit of acetylcholine receptor is not expressed in the levator palpebrae superioris. Neurology 45:516, 1995

50. Kaminski HJ, Kusner LL, Block CH: Expression of acetylcholine receptor isoforms at extraocular muscle endplates. Invest Ophthalmol Vis Sci 37:345, 1996

51. Kistler J, Stroud RM, Klymokowsky MW et al: Structure and function of an acetylcholine receptor. Biophys J 37: 371, 1982

52. Brisson A, Univin PNT: Quaternary structure of the acetylcholine receptor. Nature 315:474, 1985

53. Kao PN, Dwork AJ, Kaldany RR et al: Identification of the alpha subunit half-cysteine specifically labelled by an affinity reagent for the acetylcholine receptor binding site. J Biol Chem 259:11662, 1984

54. Neumann D, Barchan D, Safran A et al: Mapping of the α-bungarotoxin binding site within the α subunit of the acetylcholine receptor. Proc Natl Acad Sci U S A 83: 3008, 1986

55. Neumann D, Barchan D, Fridkin D, Fuchs S: Analysis of binding to the synthetic dodecapeptide 185–196 of the acetylcholine receptor α subunit. Proc Natl Acad Sci U S A 83:9250, 1986

56. Whiting P, Lindstrom J: Affinity labelling of neuronal acetylcholine receptors localizes acetylcholine-binding sites to their β-subunits. FEBS Lett 213:55, 1987

57. Sine SM, Taylor P: Relationship between reversible antagonist occupancy and the functional capacity of the acetylcholine receptor. J Biol Chem 256:6692, 1981

58. Sine SM: Molecular dissection of subunit interfaces in the acetylcholine receptor: identification of residues that determine curare selectivity. Pharmacology 90:9436, 1993

59. Chothia A: Interaction of acetylcholine with different cholinergic nerve receptors. Nature 225:36, 1970

60. Dreyer F: Acetylcholine receptor. Br J Anaesthesiol 54: 115, 1982

61. Lewis CA, Stevens CF: Acetylcholine receptor channel ionic selectivity: ions experience an aqueous environment. Proc Natl Acad Sci U S A 80:6110, 1983

62. Harvey AL, van Helden D: Acetylcholine receptors in singly and multiply innervated skeletal muscle fibers of the chicken during development. J Physiol 317:397, 1981

63. Karpen JW, Hess GP: Acetylcholine receptor inhibition by d-tubocurarine involves both a competitive and a noncompetitive binding site as determined by stopped-flow measurements of receptor-controlled ion flux in membrane vesicles. Biochemistry 25:1786, 1986

64. Sine SM, Steinbach JH: Agonists block currents through acetylcholine receptor channels. Biophys J 46:277, 1984

65. Peralta EG, Ashkenazi A, Winslow JW et al: Distinct primary structures, ligand-binding properties and tissue-specific expression of four human muscarinic acetylcholine receptors. EMBO J 6:3923, 1987

66. Liao C-F, Themmen APN, Joho R et al: Molecular cloning and expression of a fifth muscarinic acetylcholine receptor. J Biol Chem 264:7328, 1989

67. Maggio R, Vogel Z, Wess J: Reconstitution of functional muscarinic receptors by co-expression of amino- and carboxyl-terminal receptor fragments. FEBS Lett 319:195, 1993

68. Maggio R, Vogel Z, Wess J: Coexpression studies with mutant muscarinic/adrenergic receptors provide evidence for intermolecular cross-talk between G-protein-linked receptors. Proc Natl Acad Sci U S A 90:3103, 1993

69. Hosey MM: Diversity of structure, signaling and regulation within the family of muscarinic cholinergic receptors. FASEB J 6:845, 1992

70. Hulme EC, Birdsall NJM, Buckley NY: Muscarinic receptor subtypes. Annu Rev Pharmacol Toxicol 30:633, 1990

71. Eglen RM, Redd H, Watson N: Muscarinic receptor subtypes in smooth muscle. Trends Pharmacol Sci 15:114, 1994

72. Eglen RM, Reddy H, Watson N: Selective inactivation of muscarinic receptor subtypes. Int J Biochem 26:1357, 1994

73. Brann MR, Klimkowski VJ, Ellis J: Structure/function relationships of muscarinic acetylcholine receptors. Life Sci 52:405, 1993

74. Lee NH, El-Fakahany EE: Allosteric antagonists of the muscarinic acetylcholine receptor. Biochem Pharmacol 42:199, 1991

75. Wess J, Bonnert, Dorje F, Brann MR: Delineation of muscarinic receptor domains conferring selectively of coupling to guanine nucleotide binding proteins and second messengers. Mol Pharmacol 38:517, 1990

76. Lechleiter J, Hellmiss R, Duerson K et al: Distinct sequence elements control the specificity of G protein activation by muscarinic acetylcholine receptor subtypes. EMBO J 9:4381, 1990

77. Burn JH, Rand MJ: Acetylcholine in adrenergic transmission. Annu Rev Pharmacol 5:163, 1965

78. Sharma VK, Banerjee SP: Presynaptic muscarinic cholinergic receptors. Nature 272:276, 1978

79. Ganguly DK, Das M: Effects of oxotremorine demonstrate presynaptic muscarinic and dopaminergic receptors on motor nerve terminals. Nature 278:645, 1979

80. Michaelson DM, Avissar S, Kloog Y, Sokolovsky M: Mechanism of acetylcholine release: possible involvement of presynaptic muscarinic receptors in regulation of acetylcholine release and protein phosphorylation. Proc Natl Acad Sci U S A 76:6336, 1979

81. Grundstrom N, Anderson RGG, Wikberg JES: Prejunctional alpha 2 adrenoceptors inhibit contraction of tracheal smooth muscle by inhibiting cholinergic neurotransmission. Life Sci 28:2981, 1981

82. Cook MA, Hamilton JT, Okussaba FK: Coenzyme A is a purine nucleotide modulator of acetylcholine output. Nature 271:768, 1978

83. Junstad M, Wennmalm A: Release of prostaglandin from the rabbit isolated heart following vagal nerve stimulation and acetylcholine infusion. Br J Pharmacol 52:375, 1974

84. Hedquist P: Autonomic neurotransmission. In Ramwell PW (ed): The Prostaglandins, pp 101–103. New York, Plenum Press, 1973

85. Hahn RA, Patil PN: Further observations on the interaction of prostaglandin F2α with cholinergic mechanisms in canine salivary glands. Eur J Pharmacol 25:279, 1974

86. Botting JH, Salzmann R: The effect of indomethacin on the release of prostaglandin E2 and acetylcholine from the guinea pig isolated ileum at rest and during field stimulation. Br J Pharmacol 50:119, 1974

87. Wadhazy P, Illes P, Knoll J: The effects of PGE1 on responses to cardiac vagus nerve stimulation and acetylcholine release. Eur J Pharmacol 23:251, 1973

88. Barton JJS, Huaman AG, Sharpe JA: Effects of edrophonium on saccadic velocity in normal subjects and myasthenic and non-myasthenic ocular palsies. Ann Neurol 36:585, 1994

89. Abdel-Latif AA: Calcium-mobilizing receptors, phosphoinositides, generation of second messengers and contraction in the mammalian iris smooth muscle: historical perspectives and current status.Life Sci 45:757, 1989

90. Sims SM, Janssen LJ: Cholinergic excitation of smooth muscle. News Physiological Sci 8:207, 1993

91. Fertuch HC, Salpeter MM: Quantitation of junctional and extrajunctional receptors by electron microscope autoradiography after 125I-alpha-bungarotoxin binding at mouse neuromuscular junctions. J Cell Biol 69:144, 1976

92. Albuquerque EX, McIssac RJ: Fast and slow mammalian muscle after denervation. Exp Neurol 26:183, 1970

93. Hartzell HC, Fambrough DM: Acetylcholine receptors: distribution and extrajunctional density in rat diaphragm after denervation correlated with acetylcholine sensitivity. J Gen Physiol 60:248, 1972

94. Stanley EF, Drachman DB: Rapid degeneration of “new” acetylcholine receptors at neuromuscular junctions. Nature 222:67, 1983

95. Xu R, Salpeter MM: Protein kinase A regulates the degradation rate of Rs acetylcholine receptors. J Cell Physiol 165:30, 1995

96. Shyng SL, Salpeter MM: Degradation rate of acetylcholine receptors inserted into denervated vertebrate neuromuscular junctions. J Cell Biol 108:647, 1989

97. Libelius R: Binding of 3H-labelled cobra neurotoxin to cholinergic receptors in fast and slow mammalian muscles. J Neural Transm 35:137, 1974

98. Chiu TH, Lapa AJ, Bernard EA, Albuquerque EX: Binding of d-tubocurarine and α-bungarotoxin in normal and denervated mouse muscles. Exp Neurol 43:399, 1974

99. Ringel SP, Bender AN, Engel WK: Extrajunctional acetylcholine receptors. Arch Neurol 33:751, 1976

100. Axelsson J, Theslef S: A study of supersensitivity in denervated mammalian skeletal muscle. J Physiol 147:178, 1959

101. Drachman DB, Witzke F: Trophic regulation of acetylcholine sensitivity of muscle: effect of electrical stimulation.Science 176:514, 1972

102. Lomo T, Westgaard RH: Further studies on the control of ACh sensitivity by muscle activity in the rat. J Physiol 252:603, 1975

103. Pestronk A, Drachman DB, Griffin JW: Effect of muscle disuse on acetylcholine receptors. Nature 260:352, 1976

104. Lavoie PA, Collier B, Tenenhouse A: Comparison of α-bungarotoxin binding to skeletal muscles after inactivity or denervation. Nature 260:349, 1976

105. Osinski MA, Bass P: Chronic denervation of rat jejunum results in cholinergic supersensitivity due to reduction of cholinesterase activity. J Pharmacol Exp Ther 266:1684, 1993

106. Bacou F, Vigneron P: Acetylcholinesterase forms in fast and slow rabbit muscle. Nature 296:661, 1982

107. McConnell MG, Simpson LL: The role of acetylcholine receptors and acetylcholinesterase activity in the development of denervation and supersensitivity. J Pharmacol Exp Ther 198:507, 1976

108. Chang CC, Chen TF, Chuang ST: N,O-di and N,N,O-tri (3H) acetyl α-bungarotoxins as specific labelling agents of cholinergic receptors. Br J Pharmacol 47:147, 1963

109. Hata F, Takeyasu K, Morikawa Y et al: Specific changes in the cholinergic system in guinea-pig vas deferens after denervation.J Pharmacol Exp Ther 215:716, 1980

110. Westfall DP, McPhillips JJ, Foley DJ: Inhibition of cholinesterase activity after postganglionic denervation of the rat vas deferens: evidence for prejunctional supersensitivity to acetylcholine. J Pharmacol Exp Ther 189:493, 1974

111. Hall ZW, Brockes JP: Acetylcholine receptors in normal and denervated rabbit diaphragm muscle: I and II. Biochemistry 14:2092, 1975

112. Fleming WW: Supersensitivity of the denervated rat diaphragm to potassium: a comparison with supersensitivity in other tissues. J Pharmacol Exp Ther 176:160, 1971

113. Klein WL, Nathanson N, Nirenberg M: Muscarinic acetylcholine regulation by accelerated rate of receptor loss. Biochem Biophys Res Commun 90:506, 1979

114. Swope SL, Moss SJ, Blackstone CD, Hugarir RL: Phosphorylation of ligand-gated ion channels: a possible mode of synaptic plasticity. FASEB J 6:2514, 1992

115. Higuchi H, Takeyasu K, Uchida S, Yoshida H: Receptor-activated and energy-dependent decrease of muscarinic cholinergic receptors in guinea-pig vas deferens. Eur J Pharmacol 75:305, 1981

116. Richelson E, El-Fakahany E: The molecular basis of neurotransmission at the muscarinic receptor. Biochem Pharmacol 30:2887, 1981

117. Haga K, Kameyama K, Haga T et al: Phosphorylation of human m1 muscarinic acetylcholine receptors by G protein coupled receptor kinase 2 and protein kinase C. J Biol Chem 271:2776, 1996

118. Tsuga H, Kameyama K, Haga T et al: Sequestration of muscarinic acetylcholine receptor m2 subtypes. J Biol Chem 269:32522, 1994

119. Pals-Rylaarsdam R, Xu Y, Witt-Enderby P et al: Desensitization and internalization of the m2 muscarinic acetylcholine receptor are directed by independent mechanisms. J Biol Chem 270:29004, 1995

120. Augustinsson K-B, Axenfors B, Andersson I, Erikson H: Arylesterase and acetylcholinesterase in the erythrocytes of man, cow, and pig. Biochim Biophys Acta 293:424, 1973

121. Kerkut GA: Acetylcholinesterase. Gen Pharmacol 15: 375, 1984

122. Knight VA, Thomas HW: Are the active sites of the (Na+ -K+ ) activated ATPase and the acetylcholinesterase of the plasma membrane on the same peptide chain? Life Sci 18:291, 1976

123. Jain MK: Studies on a reconstituted acetylcholine receptor system: effect of agonists. Arch Biochem Biophys 164:20, 1974

124. Nachmansohn D, Wilson JB: The enzymatic hydrolysis and synthesis of acetylcholine. Adv Enzymol 12:259, 1951

125. Maelicke A: Acetylcholine esterase: the structure. Trends Biochem Sci 16:355, 1991

126. Roufogalis BD, Wickson VM: Acetylcholinesterase: specificity of the peripheral anionic site for cholinergic ligands. Mol Pharmacol 11:352, 1975

127. Wilson IB, Quan C: Acetylcholinesterase studies on molecular complementariness. Arch Biochem Biophys 73:131, 1958

128. Sussman JL, Harel M, Frolow F et al: Atomic structure of acetylcholinesterase from Torpedo, California: a prototypic acetylcholine binding protein. Science 253:872, 1991

129. Weise C, Kreienkamp HJ, Raba R et al: Anionic subsites of the acetylcholinesterase from Torpedo, California: affinity labelling with the cationic reagent N, N-dimethyl-2-phenyl-aziridinium. EMBO J 9:3885, 1990

130. Silman I, Harel M, Axelsen P et al: Three dimensional structures of acetylcholinesterase and of its complexes with anticholinesterase agents. Biochem Soc Trans 22:745, 1994

131. Quinn DM: Acetylcholinesterase: enzyme structure, reaction dynamics and virtual transition states.Chem Rev 87:955, 1987

132. Mooser G, Sigman DS: Ligand binding properties of acetylcholinesterase determined with fluorescent probes. Biochemistry 13:2299, 1974

133. del Castello J, Katz B: The membrane change produced by the neuromuscular transmitter. J Physiol 125:546, 1954

134. Motta GE, Castillo JD: Diffusion barrier for acetylcholine at the frog neuromuscular junction. Nature 270:178, 1977

135. Wilson IB, Ginsburg S: A powerful reactivator of alkylphosphate-inhibited acetylcholinesterase. Biochim Biophys Acta 18:168, 1955

136. Hobbiger F: Effect of nicotinhydroxamic acid methiodide on human plasma cholinesterase inhibited by organophosphates containing a dialkylphosphato group. Br J Pharmacol 10:356, 1955

137. Berends F, Posthumus CH, Sluys I Vd, Deierkauf FA: The chemical basis of the “aging process” of DFP-inhibited pseudocholinesterase. Biochim Biophys Acta 34:576, 1959

138. Fleisher JH, Harris LW: Dealkylation as a mechanism for aging of cholinesterase after poisoning with pinacolyl methylphosphonofluoridate. Biochem Pharmacol 14:641, 1965

139. Hobbiger F: Protection against the lethal effects of organophosphates by pyridine-2-aldoxime methiodide. Br J Pharmacol 12:438, 1957

140. Berry WK, Davies DR: Factors influencing the rate of “aging” of a series of alkyl methylphosphonyl-acetylcholinesterases. Biochem J 100:572, 1966

141. Crone HD: Can allosteric effectors of acetylcholinesterase control the rate of aging of the phosphorylated enzyme? Biochem Pharmacol 23:460, 1974

142. Cleland WW: The kinetics of enzyme-catalyzed reactions with two or more substrates or products. Biochim Biophys Acta 67:173, 1963

143. Sterri SH: Effect of imidazoles and pH on aging of phosphorylated acetylcholinesterase. Biochem Pharmacol 26: 656, 1977

144. Yaksh TL, Filbert MG, Harris LW, Yamamura HI: Acetylcholinesterase turnover in brain, cerebrospinal fluid and plasma. J Neurochem 25:853, 1975

145. Glow PH, Rose S, Richardson A: The effect of acute and chronic treatment with diisopropyl fluorophosphate on cholinesterase activities of some tissues of the rat. Aust J Exp Biol Med Sci 44:73, 1966

146. Pagala MKD, Sandow A: Twitch potentiation of skeletal muscle by physostigmine at different pH. J Pharmacol Exp Ther 197:439, 1976

147. Silman I, Futerman AH: Modes of attachment of acetylcholinesterase to the surface membrane. Eur J Biochem 170:11, 1987

148. Lockridge O, Eckerson HW, LaDu BN: Interchain disulfide bonds and subunit organization in human serum cholinesterase. J Biol Chem 254:8324, 1979

149. Lockridge O, LaDu BN: Comparison of atypical and usual human serum cholinesterase. Purification, number of active sites, substrate affinity and turnover number.J Biol Chem 253:361, 1978

150. Soylemez Z, Ozer L: Multiple effects of isoproterenol on horse plasma cholinesterase. Comp Biochem Physiol [C] 81:433, 1985

151. Lai J, Jedrzejczyk J, Pizzey JA et al: Neural control of the forms of acetylcholinesterase in slow mammalian muscles. Nature 321:72, 1986

152. Chatonnet A, Lockridge O: Comparison of butyrylcholinesterase and acetylcholinesterase. Biochem J 260:625, 1989

153. Taxi J, Rieger F: Molecular forms of acetylcholinesterase in mammalian smooth muscle. Biol Cell 57:23, 1986

154. Rama Sastry BV, Sadavongvivad C: Cholinergic systems in non-nervous tissues. Pharmacol Rev 30:65, 1979

155. van Alphen GWHM: Acetylcholine synthesis in corneal epithelium. Arch Ophthalmol 58:449, 1957

156. de Roetth A Jr: Choline acetylase activity in ocular tissues. Arch Ophthalmol 43:849, 1950

157. Mindel JS, Mittag TW: Choline acetyltransferase in ocular tissues of rabbits, cats, cattle, and humans. Invest Ophthalmol 15:808, 1976

158. Lam DMK: Biosynthesis of acetylcholine in turtle photoreceptors. Proc Natl Acad Sci U S A 69:1987, 1972

159. Ross CD, McDougal DB Jr: The distribution of choline acetyltransferase activity in vertebrate retina. J Neurochem 26:521, 1976

160. Brucke HV, Hellauer HF, Umrath K: Azetylcholin-und Aneuringehalt der Hornhaut und seine Beziehungen zur Nervenversorgung. Ophthalmologica 117:19, 1949

161. Williams JD, Cooper JR: Acetylcholine in bovine corneal epithelium. Biochem Pharmacol 14:1286, 1965

162. Mindel JS, Szylagyi PIA, Zadunaisky JA et al: The effects of blepharorrhaphy induced depression of corneal cholinergic activity. Exp Eye Res 29:463, 1979

163. Pesin SR, Candia OA: Acetylcholine concentration and its role in ionic transport by the corneal epithelium. Invest Ophthalmol Vis Sci 22:651, 1982

164. Millodot M, O'Leary DJ: Loss of corneal sensitivity with lid closure in humans. Exp Eye Res 29:417, 1979

165. Ehinger B, Falck B, Persson H et al: Acetylcholine in adrenergic terminals in the cat iris. J Physiol 209:557, 1970

166. Kovacik L, Jezek L, Mrazova E: Acetylcholine des tissus du segment posterieur de l'oeil des bovides: II. Acetylcholine sous forme de depot dans la choroide des bovins.Arch Ophthalmol 33:429, 1973

167. Masland RH, Livingstone CJ: Effect of stimulation with light on synthesis and release of acetylcholine by an isolated mammalian retina. J Neurophysiol 39:1210, 1976

168. Dowling JE, Boycott BB: Organization of the primate retina: electron microscopy. Proc R Soc Lond 166:80, 1966

169. Petersen RA, Lee K, Donn A: Acetylcholinesterase in the rabbit cornea. Arch Ophthalmol 73:370, 1965

170. Robertson DM, Winkelmann RK: A whole mount cholinesterase technique for demonstrating corneal nerves: observations in the albino rabbit. Invest Ophthalmol 9:710, 1970

171. Howard RO, Zadunaisky JA, Dunn BJ: Localization of acetylcholinesterase in the rabbit cornea by light and electron microscopy. Invest Ophthalmol 14:592, 1975

172. de Roetth A Jr: Role of acetylcholine in nerve activity. J Neurophysiol 14:55, 1951

173. Leopold IH, Furman M: Cholinesterase isoenzymes in human ocular tissue homogenates. Am J Ophthalmol 72: 460, 1971

174. Dardenne U, Leydhecker W, Halferich E: Die cholinesterase in der Iris von Mensch und Rind. Graefes Arch Clin Exp Ophthalmol 158:434, 1957

175. Lund Karlsen R, Fonnum F: Properties of the external acetylcholinesterase in guinea-pig iris. J Neurochem 29: 151, 1977

176. Nichols CW, Koelle GB: Acetylcholinesterase: method for demonstration in amacrine cells of rabbit retina. Science 155:477, 1967

177. Nichols CW, Koelle GB: Comparison of the localization of acetylcholinesterase and nonspecific cholinesterase activities in mammalian and avian retinas. J Comp Neurol 133:1, 1968

178. Ross D, Cohen AI, McDougal DB Jr: Choline acetyltransferase and acetylcholine esterase activities in normal and biologically fractionated mouse retinas. Invest Ophthalmol 14:756, 1975

179. de Roetth A Jr: Lens opacities in glaucoma patients on phospholine iodide therapy. Am J Ophthalmol 62:619, 1966

180. Laties AM, Nichols CW: Demonstration of a nonspecific cholinesterase in retinal Müller cell. Am J Ophthalmol 71:1093, 1971

181. Bradley ME, Peters CL, Lambert RC et al: Subcellular distribution of muscarinic acetylcholine receptors in rat extraorbital lacrimal gland. Invest Ophthalmol Vis Sci 31:997, 1990

182. Mittag TW: On the presence of acetylcholine receptors in ocular structures of the rabbit (abstr). Invest Ophthalmol Vis Sci 19 (suppl):189, 1979

183. Olson JS, Neufeld AH: The rabbit cornea lacks cholinergic receptors. Invest Ophthalmol Vis Sci 18:1216, 1979

184. Cavanagh HD, Colley AM: Cholinergic, adrenergic and PGE1 effects on cyclic nucleotides and growth in cultured corneal epithelium. Metab Pediatr Syst Ophthalmol 6:63, 1982

185. Colley AM, Cavanagh HD: Binding of 3H-quinuclidinyl benzilate to intact cells of cultured corneal epithelium. Metab Pediatr Syst Ophthalmol 6:75, 1982

186. Lind GJ, Cavanagh HD: Identification and subcellular distribution of muscarinic acetylcholine receptor-related proteins in rabbit corneal and Chinese hamster ovary cells. Invest Ophthalmol Vis Sci 36:1492, 1995

187. Walkenbach RJ, Ye G-S: Muscarinic receptors and their regulation of cyclic GMP in corneal endothelial cells. Invest Ophthalmol Vis Sci 31:702, 1990

188. Walkenbach RJ, Ye G-S: Muscarinic cholinoceptor regulation of cyclic guanosine monophosphate in human corneal epithelium. Invest Ophthalmol Vis Sci 32:610, 1991

189. Kaila T, Huupponen R, Salminen L, Iisalo E: Systemic absorption of ophthalmic cyclopentolate. Am J Ophthalmol 107:562, 1989

190. Lind GJ, Cavanagh HD: Nuclear muscarinic acetylcholine receptors in corneal cells from rabbit. Invest Ophthalmol Vis Sci 34:2943, 1993

191. Gupta N, Drance SM, McAllister R et al: Localization of M3 muscarinic receptor subtype and mRNA in the human eye. Ophthalmic Res 26:207, 1994

192. Lund Karlsen R: Muscarinic receptor binding and the effect of atropine on the guinea-pig iris. Exp Eye Res 27:577, 1978

193. Sachs DI, Kloog Y, Korczyn AD et al: Denervation, supersensitivity and muscarinic receptors in the cat iris. Biochem Pharmacol 28:1513, 1979

194. Taft WC Jr, Abdel-Latif AA, Akhtar RA: [3H] Quinuclidinyl benzilate binding to muscarinic receptors and [3H] WB-4101 binding to alpha-adrenergic receptors in rabbit iris. Biochem Pharmacol 29:2713, 1980

195. Hutchins JB, Hollyfield JG: Autoradiographic identification of muscarinic receptors in human iris smooth muscle. Exp Eye Res 38:515, 1984

196. Yoshitomi T, Ito Y: Double reciprocal innervations in dog iris sphincter and dilator muscles. Invest Ophthalmol Vis Sci 27:83, 1986

197. Landmesser L, Pilar G: Selective reinnervation of two cell populations in the adult pigeon ciliary ganglion. J Physiol 211:203, 1970

198. Akhtar RA, Honkanen RE, Howe PH, Abdel-Latif AA: M2 muscarinic receptor subtype is associated with inositol triphosphate accumulation, myosin light chain phosphorylation and contraction in sphincter smooth muscle of rabbit iris.J Pharmacol Exp Ther 243:624, 1987

199. Bognar IT, Baumann B, Dammann F et al: M2 muscarinic receptors on the iris sphincter muscle differ from those on iris nonadrenergic nerve. Eur J Pharmacol 163:263, 1989

200. Hankanen RE, Howard EF, Abdel-Latif AA: M3-muscarinic receptor subtype predominates in the bovine iris sphincter smooth muscle and ciliary processes. Invest Ophthalmol Vis Sci 31:590, 1990

201. Woldemussie E, Feldmann BJ, Chen J: Characterization of muscarinic receptors in cultured human iris sphincter and ciliary smooth muscle cells. Exp Eye Res 56:385, 1993

202. Mallorga P, Babilon RW, Buisson S, Sugrue MF: Muscarinic receptors of albino rabbit ciliary process. Exp Eye Res 48:509, 1989

203. Zhang X, Hernandez MR, Yang H, Erickson K: Expression of muscarinic receptor subtype mRNA in the human ciliary muscle. Invest Ophthalmol Vis Sci 36:1645, 1995

204. Woldemussie E, Ruiz G, Feldmann B: Muscarinic receptor subtype involved in signalling mechanisms in cultured human trabecular meshwork cells. Invest Ophthalmol Vis Sci 31 (suppl):338, 1990

205. Masland RH, Ames A: Responses to acetylcholine of ganglion cells in an isolated mammalian retina. J Neurophysiol 39:1220, 1976

206. Pourcho RG: Localization of cholinergic synapses in mammalian retina with peroxidase-conjugated alpha-bungarotoxin. Vision Res 19:289, 1979

207. Neal MJ, Dawson C: Muscarinic cholinergic receptors in rabbit retina. J Pharm Pharmacol 37:60, 1985

208. Hutchins JB, Hollyfield JG: Acetylcholine receptors in the human retina. Invest Ophthalmol Vis Sci 26:1550, 1985

209. Vogel Z, Maloney GJ, Ling A, Daniels MP: Identification of synaptic acetylcholine receptor sites in retina with peroxidase labeled α-bungarotoxin. Proc Natl Acad Sci U S A 74:3268, 1977

210. Paterson SJ, Wilson WS: Uptake of choline by rabbit corneal epithelium. Br J Pharmacol 59:499P, 1977

211. Neal MJ, Gilroy J: High affinity choline transport in the isolated retina. Brain Res 93:548, 1975

212. Atterwill CK, Mahoney A, Neal MJ: The uptake and sub-cellular distribution of 3H-choline by the retina. Br J Pharmacol 53:447P, 1975

213. Massey SC, Neal MJ: Release of 3H-acetylcholine from the isolated retina of the rat by potassium depolarization: dependence on high affinity choline uptake. Br J Pharmacol 65:271, 1979

214. Masland RH, Mills JW: Choline accumulation by photoreceptor cells of the rabbit retina. Proc Natl Acad Sci U S A 77:1671, 1980

215. Kador PF, Jernigan HM Jr, Kinoshita JH: Accumulation and incorporation of radiolabelled choline into cultured rabbit lenses: evidence for a choline transport system. Exp Eye Res 30:1, 1980

216. Bell KM, Kirby AR, Rodger FC: The source of the corneal nerve fibres in the cat. J Physiol 117:56P, 1952

217. Warwick R: Eugene Wolff's Anatomy of the Eye and Orbit, 7th ed, pp 309–311. Philadelphia, WB Saunders, 1976

218. Purcell JJ, Krachmer JH, Thompson HS: Corneal sensation in Adie's syndrome. Am J Ophthalmol 84:496, 1977

219. Laties AM, Jacobowitz D: A comparative study of the autonomic innervation of the eye in monkey, rat, and rabbit. Anat Rec 156:383, 1966

220. Nomura T, Smelser GK: The identification of adrenergic and cholinergic nerve endings in the trabecular meshwork. Invest Ophthalmol 13:525, 1974

221. Miller NR, Morris JE, Maguire M: Combined use of neostigmine and ocular motility measurements in the diagnosis of myasthenia gravis. Arch Ophthalmol 100:761, 1982

222. Youngberg JA: Cardiac arrest following treatment of paroxysmal atrial tachycardia with edrophonium. Anesthesiology 50:234, 1979

223. Ludwig S, Bristow G: Hazards of edrophonium. Anesthesiology 51:567, 1979

224. Glaser JS, Miller GR, Gass JDM: The edrophonium tonogram test in myasthenia gravis. Arch Ophthalmol 76:368, 1966

225. Glaser JS: Tensilon topography in the diagnosis of myasthenia gravis. Invest Ophthalmol 6:135, 1967

226. Semland O, Waller W, Krieglstein G: Die augen-tonographie in der Diagnostik der Myasthenia gravis. Dtsch Med Wochenschr 102:896, 1977

227. Campbell MJ, Simpson E, Crombie AL, Walton JN: Ocular myasthenia: evaluation of Tensilon topography and electronystagmography as diagnostic tests. J Neurol Neurosurg Psychiatry 33:639, 1970

228. Wray SH, Pavan-Langston D: A reevaluation of edrophonium chloride (Tensilon) tonography is the diagnosis of myasthenia gravis. Neurology 21:586, 1971

229. Kornbleuth W, Jampolsky A, Tamber E, Marg E: Contraction of the oculorotatory muscles and intraocular pressure. Am J Ophthalmol 49:1381, 1960

230. Barton JJS, Huaman AG, Sharpe JA: Effects of edrophonium on saccadic velocity in normal subjects and myasthenic and nonmyasthenic ocular palsies. Ann Neurol 36:585, 1994

231. Huber A: Zur Diagnose and Behandlung der okularen Myasthenie. Klin Monatsbl Augenheilkd 171:889, 1977

232. Cogan DG, Grant WM: Treatment of pediculosis ciliaris with anticholinesterase agents. Arch Ophthalmol 41:627, 1949

233. Caccamise WC: Phthiriasis palpebrum. Am J Ophthalmol 42:305, 1956

234. Norn MS: Demodex folliculorum. Acta Ophthalmol 108 (suppl):71, 1970

235. Duke-Elder WS, Duke-Elder PM: Contraction of extrinsic muscles of eye by choline and nicotine. Proc R Soc Lond 107:332, 1930

236. Sanghvi IS, Smith CM: Characterization of stimulation of mammalian extraocular muscles by cholinomimetics.J Pharmacol Exp Ther 167:351, 1969

237. Katz RL, Eakins KE: The effects of succinylcholine, decamethonium, hexacarbacholine, gallamine, and dimethyl tubocurarine on the twitch and tonic neuromuscular systems of the cat. J Pharmacol Exp Ther 154:303, 1966

238. Pelikan EW, Tether JE, Unna KR: Sensitivity of myasthenia gravis patients to tubocurarine and decamethonium. Neurology 3:284, 1953

239. Balamoutsos NC, Tsakona H, Kanakoudes PS et al: Alcuronium and intraocular pressure. Anesth Analg 62:521, 1983

240. Maharaj RJ, Humphrey D, Kaplan N et al: Effects of atracurium on intraocular pressure. Br J Anaesth 56:459, 1984

241. Murphy DF, Eustace P, Unwin A, Magner JB: Atracurium and intraocular pressure. Br J Ophthalmol 69:673, 1985

242. Couch JA, Eltringham RJ: The effect of thiopentone and fazadinium on intraocular pressure. Anaesthesia 34:586, 1979

243. Cunningham AJ, Kelly CP, Farmer J, Watson AG: The effect of metocurine and metocurine-pancuronium combination on intraocular pressure. Can Anaesth Soc J 29: 617, 1982

244. Coleman AJ, Downing JW, Leary WP et al: The immediate cardiovascular effects of pancuronium, alcuronium and tubocurarine in man. Anaesthesia 27:415, 1972

245. Baraka A, Wakid N, Noueihed R et al: Pseudocholinesterase activity and atracurium v. suxamethonium block.Br J Anaesthesia 58:91S, 1986

246. Lavery GG, Mc Galliard JN, Mirakhur RK, Shepherd WFI: The effects of atracurium on intraocular pressure during steady state anesthesia and rapid sequence induction: a comparison with succinylcholine. Can Anaesth Soc J 33: 437, 1986

247. Mirakhur RK, Shepherd WFI, Lavery GG, Elliott P: The effect of vecuronium on extraocular pressure. Anaesthesia 42:944, 1987

248. Abbott MA, Samuel JR: The control of intra-ocular pressure during the induction of anaesthesia for emergency eye surgery. Anaesthesia 42:1008, 1987

249. Loewinger J, Friedmann-Neiger I, Cohen M, Levi E: Effects of atracurium and pancuronium on the oculocardiac reflex in children. Anesth Analg 73:25, 1991

250. Goldsmith E: An evaluation of succinylcholine and gallamine as muscle relaxants in relation to intraocular pressure. Anesth Analg 46:557, 1967

251. Litwiller RW, DiFazio CA, Rushia EL: Pancuronium and intraocular pressure. Anesthesiology 42:750, 1975

252. Dias PLR, Andrew DS, Romanes GJ: Effect on the intraocular pressure of hypotensive anaesthesia with intravenous trimetaphan. Br J Ophthalmol 66:721, 1982

253. Barnett AJ: Ocular effects of methonium compounds. Br J Ophthalmol 36:593, 1952

254. Weinstein P: Pharmacodynamics of the ciliary ganglion. Am J Ophthalmol 40:202, 1955

255. Drucker AP, Sadove MS, Unna KR: Ocular manifestations of intravenous tetraethylammonium chloride in man. Am J Ophthalmol 33:1564, 1950

256. Blodi FC: The effect of some newer ganglionic blocking agents on accommodation. Am J Ophthalmol 42:747, 1956

257. Polak RL, Sellin LC, Thesleff S: Acetylcholine content and release in denervated or botulinum poisoned rat skeletal muscle. J Physiol 319:253, 1981

258. Stanley EF, Drachman DB: Botulinum toxin blocks quantal but not non-quantal release of ACh at the neuromuscular junction. Brain Res 261:172, 1983

259. Binz T, Blasi J, Yamasaki S et al: Proteolysis of SNAP-25 by types E and A botulinal neurotoxins. J Biol Chem 269:1617, 1994

260. Binz T, Kurazono H, Wille M et al: The complete sequence of botulinum neurotoxin type A and comparison with other clostridial neurotoxins. J Biol Chem 265:9153, 1990

261. Barry N, Kamata Y, Simpson LL: Lectins from Tricum vulgaris and Limax flavus are universal antagonists of botulinum neurotoxin and tetanus toxin. J Pharmacol Exp Ther 258:830, 1991

262. Zhou L, de Paiva A, Liu D et al: Expression and purification of the light chain of botulinum neurotoxin A: a single mutation abolishes its cleavage of SNAP-25 and neurotoxicity after reconstitution with the heavy chain. Biochemistry 34:15175, 1995

263. Dreyer F, Mallart A, Brigant JL: Botulinum A toxin and tetanus toxin do not affect presynaptic membrane currents in mammalian motor nerve endings. Brain Res 270:373, 1983

264. Sellin LC: The action of botulinum toxin at the neuromuscular junction. Med Biol 59:11, 1981

265. Scott AB: Botulinum toxin injection into extraocular muscles as an alternative to strabismus surgery. Ophthalmology 87:1044, 1980

266. Elston JS, Lee JP: Paralytic strabismus: the role of botulinum toxin. Br J Ophthalmol 69:891, 1985

267. Scott AB, Kennedy RA, Stubbs HA: Botulinum A toxin injection as a treatment for blepharospasm. Arch Ophthalmol 103:347, 1985

268. Tsoy EA, Buckley EG, Dutton JJ: Treatment of blepharospasm with botulinum toxin. Am J Ophthalmol 99:176, 1985

269. Shorr N, Seiff SR, Kopelman J: The use of botulinum toxin in blepharospasm. Am J Ophthalmol 99:542, 1985

270. Lingua RW: Sequelae of botulinum toxin injections. Am J Ophthalmol 100:305, 1985

271. Elston JS, Russell RWR: Effect of treatment with botulinum toxin on neurogenic blepharospasm. Br Med J 290: 1857, 1985

272. Elston JS: The use of botulinum toxin A in the treatment of strabismus. Trans Ophthalmol Soc UK 104:208, 1985

273. Elston JS, Lee JP, Powell CM et al: Treatment of strabismus in adults with botulinum toxin A. Br J Ophthalmol 69: 718, 1985

274. Mauriello JA: Blepharospasm, Meige syndrome and hemifacial spasm: treatment with botulinum toxin. Neurology 35:1499, 1985

275. Perman KI, Baylis HI, Rosenbaum AL, Kirschen DG: The use of botulinum toxin in the medical management of benign essential blepharospasm. Ophthalmology 93:1, 1986

276. Dunn WJ, Arnold AC, O'Connor PS: Botulinum toxin for the treatment of dysthyroid ocular myopathy. Ophthalmology 93:470, 1986

277. Frueh BR, Musch DC: Treatment of facial spasm with botulinum toxin. Ophthalmology 93:917, 1986

278. Dutton JJ, Buckley EG: Botulinum toxin in the management of blepharospasm. Arch Neurol 43:380, 1986

279. Harris CP, Alderson K, Nebeker J et al: Histologic features of human orbicularis oculi treated with botulinum A toxin. Arch Ophthalmol 109:393, 1991

280. Alderson K, Holds JB, Anderson RL: Botulinum-induced alteration of nerve-muscle interactions in the human orbicularis oculi following treatment for blepharospasm. Neurology 41:1800, 1991

281. Biglan AW, Burnstine RA, Rogers GL, Saunders RA: Management of strabismus with botulinum A toxin. Ophthalmology 96:935, 1989

282. Helvston EM, Pogrebniak AE: Treatment of acquired nystagmus with botulinum A toxin. Am J Ophthalmol 106: 584, 1988

283. Ruben ST, Lee JP, O'Neil D et al: The use of botulinum toxin for treatment of acquired nystagmus and oscillopsia. Ophthalmology 101:783, 1994

284. Repka MX, Savino PJ, Reinecke RD: Treatment of acquired nystagmus with botulinum neurotoxin A. Arch Ophthalmol 112:1320, 1994

285. Tomsak RL, Remler BF, Averbush-Heller L et al: Unsatisfactory treatment of acquired nystagmus with retrobulbar injection of botulinum toxin. Am J Ophthalmol 119:489, 1995

286. Burns CL, Gammon JA, Gemmill MC: Ptosis associated with botulinum toxin treatment of strabismus and blepharospasm. Ophthalmology 93:1621, 1986

287. Freegard T, Mackie I, Rostron C: Therapeutic ptosis with botulinum toxin in epikeratoplasty. Refract Corneal Surg 77:820, 1993

288. Wuebbolt GE, Drummond G: Temporary tarsorrhaphy induced with type A botulinum toxin. Can J Ophthalmol 26:383, 1991

289. Kirkness CM, Adams GCW, Dilly PN, Lee JP: Botulinum toxin A-induced protective ptosis in corneal disease. Ophthalmology 95:473, 1988

290. Sanders DB, Massey EW, Buckley EG: Botulinum toxin for blepharospasm: Single-fiber EMG studies. Neurology 36:545, 1986

291. Zuber M, Sebald M, Bathien N et al: Botulinum antibodies in dystonic patients treated with type A botulinum toxin: frequency and significance. Neurology 43:1715, 1993

292. Jankovic J, Schwartz KS: Response and immuno-resistance to botulinum toxin injections. Neurology 45:1743, 1995

293. Siatkowski RM, Tyutyunikov A, Biglan AW et al: Serum antibody production to botulinum A toxin. Ophthalmology 100:1861, 1993

294. Borodic G, Pearce LB, Johnson E: Antibodies to botulinum toxin. Ophthalmology 101:1158, 1994

295. Hofmann H, Holzer H: Die Wirkung von Muskelrelaxantien auf den intraokularen Druck. Klin Monatsbl Augenheilkd 123:1, 1953

296. Lincoff HA, Ellis CH, DeVoe AG et al: The effects of succinylcholine on intraocular pressure. Am J Ophthalmol 40:501, 1955

297. Lincoff HA, Breinin GM, DeVoe AG The effect of succinylcholine on the extraocular muscles. Am J Ophthalmol 43:440, 1957

298. Craythorne NWB, Rottenstein HS, Dripps RD: The effects of succinylcholine on intraocular pressure in adults, infants, and children during general anesthesia. Anesthesiology 21:59, 1960

299. Simonsz HJ, Kolling GH, van Dijk B, Kaveman H: Length-tension curves of human eye muscles during succinylcholine-induced contraction. Invest Ophthalmol Vis Sci 29: 1320, 1988

300. Ginsborg BL: Some properties of avian skeletal muscle fibres with multiple neuromuscular junctions. J Physiol 154:581, 1960

301. Bach-y-Rita P, Ito F: In vivo microelectrode studies of the cat retractor bulbi fibers. Invest Ophthalmol 4:338, 1965

302. Kern R: A comparative pharmacologic-histologic study of slow and twitch fibers in the superior rectus muscle of the rabbit. Invest Ophthalmol 4:901, 1965

303. Browne JS: The contractile properties of slow muscle fibres in sheep extraocular muscle. J Physiol 254:535, 1976

304. Bach-y-Rita P, Ito F: In vivo studies on fast and slow muscle fibers in cat extraocular muscles. J Gen Physiol 49:1177, 1966

305. Ito F: The effects of succinylcholine on frog slow muscle fibers. Jpn J Pharmacol 17:550, 1967

306. Bach-y-Rita P, Lennerstrand G, Alvarado J et al: Extraocular muscle fibers: ultrastructural identification of iontophoretically labelled fibers contracting in response to succinylcholine. Invest Ophthalmol Vis Sci 16:561, 1977

307. Kuffler SW, Vaughan Williams EM: Properties of the “slow” skeletal muscle fibers of the frog. J Physiol 121: 318, 1953

308. Eakins KE, Katz RL: The action of succinylcholine on the tension of extraocular muscle. Br J Pharmacol 26:205, 1966

309. Ringel SP, Wilson WB, Barden MT, Kaiser KK: Histochemistry of human extraocular muscle. Arch Ophthalmol 96: 1067, 1978

310. Hannington-Kiff JG: Ocular interlimbic distance. Anesthesia 33:931, 1978

311. Taylor TH, Mulcahy M, Nightingale DA: Suxamethonium chloride in intraocular surgery. Br J Anaesth 40:113, 1968

312. Pandey K, Badola RP, Kumar S: Time course of intraocular hypertension produced by suxamethonium. Br J Anaesth 44:191, 1972

313. Bjork A, Halldin M, Wahlin A: Endophthalmus elicited by succinylcholine. Acta Anaesth Scand 1:41, 1957

314. Bjork A, Wahlin A, Koch T: Observations of the conjunctival vessels under the influence of succinylcholine with intravenous anaesthesia. Acta Anaesth Scand 3:163, 1959

315. France NK, France TD, Woodburn JD, Burbank DP: Succinylcholine alteration of the forced duction test. Ophthalmology 87:1282, 1980

316. Mindel JS, Raab EL, Eisenkraft JB, Teutsch G: Succinyldicholine-induced return of the eyes to the basic deviation. Ophthalmology 87:1288, 1980

317. Mindel JS, Eisenkraft JB, Raab EL, Teutsch G: Succinyldicholine and the basic ocular deviation. Am J Ophthalmol 95:315, 1983

318. Lingua RW, Szirth B, Edelman P, Green H: The relationship of the succinylcholine-induced ocular position to the postoperative alignment: a preliminary report. Am Orthoptic J 31:47, 1981

319. Abramson DH: Anterior chamber and lens thickness changes induced by succinylcholine. Arch Ophthalmol 86:643, 1971

320. McLeskey CH, McLeod DS, Hough TL, Stallworth JM: Prolonged asystole after succinylcholine administration. Anesthesiology 49:208, 1978

321. Ohmura A, Wong KC, Shaw L: Cardiac effects of succinyldicholine and succinylmonocholine. Can Anaesth Soc J 23:567, 1976

322. Lehmann H, Ryan E: The familial incidence of low pseudocholinesterase level. Lancet 11:124, 1956

323. Foldes FF, Foldes VM, Smith JC, Zsigmond EK: The relation between plasma cholinesterase and prolonged apnea caused by succinylcholine. Anesthesiology 24:208, 1963

324. Viby-Mogensen J: Correlation of succinylcholine duration of action with plasma cholinesterase activity in subjects with the genotypically normal enzyme. Anesthesiology 53:517, 1980

325. Gesztes T: Prolonged apnea after suxamethonium injection associated with eyedrops containing an anticholinesterase agent. Br J Anaesth 38:408, 1966

326. Donati F, Bevan DR: Controlled succinylcholine infusion in a patient receiving echothiophate eyedrops. Can Anaesth Soc J 28:488, 1981

327. Moore CB, Birchall R, Horack HM, Batson HM: Changes in serum pseudocholinesterase levels in patients with diseases of the heart, liver, or musculoskeletal systems. Am J Med Sci 234:538, 1957

328. Blitt CD, Petty WC, Alberternst EE, Wright BJ: Correlation of plasma cholinesterase activity and duration of action of succinylcholine during pregnancy. Anesth Analg 56:78, 1977

329. Oropollo AT: Abnormal pseudocholinesterase levels in a surgical population. Anesthesiology 48:284, 1978

330. Sunew KY, Hicks RG: Effects of neostigmine and pyridostigmine on duration of succinylcholine action and pseudocholinesterase activity. Anesthesiology 49:188, 1978

331. Verma RS: “Self-taming” of succinylcholine-induced fasciculations and intraocular pressure. Anesthesiology 50: 245, 1979

332. Meyers EF, Singer P, Otto A: A controlled study of the effect of succinylcholine self-taming on intraocular pressure. Anesthesiology 53:72, 1980

333. Macri FJ, Grimes PA: The effects of succinylcholine on the extraocular striate muscles and on the intraocular pressure. Am J Ophthalmol 44:221, 1957

334. Miller RD, Way LW, Hickey RF: Inhibition of succinylcholine induced increased intraocular pressure by nondepolarizing muscle relaxants. Anesthesiology 29:123, 1968

335. Meyers EF, Krupin T, Johnson M, Zink H: Failure of nondepolarizing neuromuscular blockers to inhibit succinylcholine-induced increased intraocular pressure, a controlled study. Anesthesiology 48:149, 1978

336. Meyers EF: Reply (to letter to the editor). Anesthesiology 49:441, 1978

337. Katz RL, Eakins KE, Lord CO: The effects of hexafluorenium in preventing the increase in intraocular pressure produced by succinylcholine. Anesthesiology 29:70, 1968

338. Torda TA, Gage PW: Postsynaptic effect of I.V. anaesthetic agents at the neuromuscular junction. Br J Anaesth 49:771, 1977

339. Joshi C, Bruce DL: Thiopental and succinylcholine: action on intraocular pressure. Anesth Analg 54:471, 1975

340. Nigrovic V, McCullough LS, Wajskol A et al: Succinylcholine-induced increases in plasma catecholamine levels in humans. Anesth Analg 62:627, 1983

341. Wynands JE, Crowell DE: Intraocular tension in association with succinylcholine and endotracheal intubation: a preliminary report. Can Anaesth Soc J 7:39, 1960

342. Lewallen WM Jr, Hicks BL: The use of succinylcholine in ocular surgery. Am J Ophthalmol 49:773, 1963

343. Kelly RE, Dinner M, Turner LS et al: Succinylcholine increases intraocular pressure in the human eye with the extraocular muscles detached. Anesthesiology 79:948, 1993

344. Mindel JS, Kharlamb AB: Alteration of acetylcholine synthesis by pilocarpine. Arch Ophthalmol 102:1546, 1984

345. Urtti AO, Salminen LM: Pilocarpine and acetylcholine synthesis. Arch Ophthalmol 103:477, 1985

346. Drake MV, O'Donnel JJ, Polansky HR: Isopilocarpine binding to muscarinic cholinergic receptors. J Pharm Sci 75:278, 1986

347. Schulman JM, Peck RC, Diach RL: Recognition of cholinergic agonists by the muscarinic receptor. 2. Pilocarpine. J Med Chem 34:1455, 1991

348. Rossum JMV, Cornelissen MJWJ, de Groot CTP, Hurkmans JATM: A new view on an old drug: pilocarpine. Experientia 16:373, 1960

349. Furchgott RF, Bursztyn P: Comparison of dissociation constants and of relative efficacies of selected agonists acting on parasympathetic receptors. Ann NY Acad Sci 144:882, 1967

350. Smith SA, Smith SE: Factors determining the potency of cholinomimetic miotic drugs and their effect upon the light reflex in man. Br J Clin Pharmacol 6:149, 1978

351. Maayani S, Treister G, Sokolovsky M: Drugs affecting the cholinergic system in the intact mammalian eye: I. Evaluation of the miotic activity of acetylcholine-like drugs in the mouse eye. Invest Ophthalmol 14:232, 1975

352. Clarke ST: The use of doryl in the treatment of glaucoma. Am J Ophthalmol 25:309, 1942

353. O'Brien CS, Swan KC: Carbaminoylcholine chloride in the treatment of glaucoma simplex. Arch Ophthalmol 27:253, 1942

354. Asseff CF, Weisman RL, Podos SM, Becker B: Ocular penetration of pilocarpine in rabbits. Am J Ophthalmol 75:212, 1973

355. Chrai SS, Robinson JR: Corneal permeation of topical pilocarpine nitrate in the rabbit. Am J Ophthalmol 77:735, 1974

356. Krohn DL, Breitfeller JM: Transcorneal flux of topical pilocarpine to the human aqueous. Am J Ophthalmol 87:50, 1979

357. Armaly MF, Rao KR: The effect of pilocarpine Ocusert with different release rates on ocular pressure. Invest Ophthalmol 12:491, 1973

358. Ticho U, Blumenthal M, Zonis S et al: Pilopex, a new long-acting pilocarpine polymer salt. A long term study. Br J Ophthalmol 63:45, 1979

359. Mazor Z, Ticho U, Rehany U, Rose L: Pilopex, a new long-acting pilocarpine polymer salt. B. Comparative study of the visual effects of pilocarpine and Pilopex eye-drops. Br J Ophthalmol 63:48, 1979

360. Marcus WH, Stewart RM, Mandell AI, Bruce LA: Duration of effect of pilocarpine gel. Arch Ophthalmol 100:1270, 1982

361. Goldberg I, Ashburn FS, Kass MA, Becker B: Efficacy and patient acceptance of pilocarpine gel. Am J Ophthalmol 88:843, 1979

362. Lejeune J, Bourdais M, Prieur M: Sensibilité pharmacologique de l'iris des enfants trisomiques 21. Therapie 31: 447, 1976

363. Smith LJ, Shelhamer JH, Kaliner M: Cholinergic nervous system and immediate hypersensitivity. J Allergy Clin Immunol 66:374, 1980

364. Schonberg SS, Ellis PP: Pilocarpine inactivation. Arch Ophthalmol 82:351, 1969

365. Ellis PP, Littlejohn K, Deitrich RA: Enzymatic hydrolysis of pilocarpine. Invest Ophthalmol 11 (suppl):747, 1972

366. Lee VH-L, Hui H-W, Robinson JR: Corneal metabolism of pilocarpine in pigmented rabbits. Invest Ophthalmol Vis Sci 19:208, 1980

367. Swan KC, Gehrsitz L: Competitive action of miotics on the iris sphincter. Arch Ophthalmol 46:477, 1951

368. Abdel-Latif AA, Yousufzai SYK, De S, Tachado SD: Carbachol stimulates adenyl cyclase and phospholipase C and muscle contraction-relaxation in a reciprocal manner in dog iris sphincter smooth muscle. Eur J Pharmacol 226:351, 1992

369. Gabelt BT, Kaufman PL: Inhibition of outflow facility and accommodative and miotic responses to pilocarpine in rhesus monkeys by muscarinic receptor subtype antagonists. J Pharmacol Exp Ther 263:1133, 1992

370. Bognar IT, Pallas S, Fuder H, Muscholl E: Muscarinic exhibition of [3H]-noradrenaline release on rabbit iris in vitro: effects of stimulation conditions on intrinsic activity of methacholine and pilocarpine. Br J Pharmacol 94:890, 1988

371. Banno H, Imaizumi Y, Watanabe M: Cellular mechanisms of supersensitivity to acetylcholine and potassium ion after ciliary ganglionectomy in the rat iris sphincter muscle. Jpn J Pharmacol 43:153, 1987

372. Jumblatt JE, North GT: Cholinergic inhibition of adrenergic neurosecretion in the rabbit iris-ciliary body. Invest Ophthalmol Vis Sci 29:615, 1988

373. Bito LZ, Banks N: Effects of chronic cholinesterase inhibitor treatment. Arch Ophthalmol 82:681, 1969

374. Bito LZ, Dawson MJ: The site and mechanism of the control of cholinergic sensitivity. J Pharmacol Exp Ther 175:673, 1970

375. Bito LZ, Dawson MJ, Petrinovic L: Cholinergic sensitivity: normal variability as a function of stimulus background. Science 172:583, 1971

376. Claesson H, Barany E: Time course of light induced changes in pilocarpine sensitivity of rat iris. Acta Physiol Scand 102:394, 1978

377. Barany EH: Pilocarpine-induced subsensitivity to carbachol and pilocarpine of ciliary muscle in vervet and cynomolgus monkeys. Acta Ophthalmol 55:111, 1977

378. Butler JM, Hammond BR: The effects of sensory denervation on the responses of the rabbit eye to prostaglandin E1, bradykinin and substance P. Br J Pharmacol 69:495, 1980

379. Mandahl A: Effects of the substance P antagonist [D-arg1, D-pro2,D-Trp7,9,Lev11]SP on miosis caused by echothiophate iodide or pilocarpine hydrochloride. Eur J Pharmacol 114:121, 1985

380. Lowenstein O, Loewenfeld IE: Effect of physostigmine and pilocarpine on iris sphincter of normal man. Arch Ophthalmol 50:311, 1953

381. Newsome DA, Loewenfeld IE: Pilocarpine re-examined: an old puzzle. Surv Ophthalmol 18:399, 1974

382. Ogle KN, Whisnant RA, Hazelrig JB: Quantitative study of pupil response to miotic drugs. Invest Ophthalmol 5: 176, 1966

383. Morgan SS, Hollenhorst RW, Ogle KN: Speed of pupillary light response following topical pilocarpine or tropicamide. Am J Ophthalmol 66:835, 1968

384. Smith SA, Smith SE: Subsensitivity to cholinoreceptor stimulation of the human iris sphincter in situ following acute and chronic administration of cholinomimetic miotic drugs. Br J Pharmacol 69:513, 1980

385. Tornqvist G: Effect of refraction of intramuscular pilocarpine in two species of monkey. Invest Ophthalmol 4:211, 1965

386. Tornqvist G: Effect of topical carbachol on the pupil and refraction in young and presbyopic monkeys. Invest Ophthalmol 5:186, 1966

387. Tornqvist G: Accommodation in monkeys. Acta Ophthalmol 45:429, 1967

388. Barany EH: Muscarinic subsensitivity without receptor change in monkey ciliary muscle. Br J Pharmacol 84:193, 1985

389. Gabelt BT, Kaufman PL, Polansky JR: Ciliary muscle muscarinic binding sites, choline acetyltransferase and acetylcholinesterase in aging rhesus monkeys. Invest Ophthalmol Vis Sci 31:2431, 1990

390. Gabelt BT, Kaufman PL: Inhibition of aceclidine-stimulated outflow facility, accommodation and miosis in rhesus monkeys by muscarinic receptor subtype antagonists. Exp Eye Res 58:623, 1994

391. Wiederholt M, Schafer R, Wagner U: Contractile response of the isolated trabecular meshwork and ciliary muscle to cholinergic and adrenergic agents. Ger J Ophthalmol 5: 146, 1996

392. Erickson-Lamy KA, Kaufman PL, Polansky JR: Dissociation of cholinergic supersensitivity from receptor number in ciliary muscle. Invest Ophthalmol Vis Sci 29:600, 1988

393. Mishima HK, Shoge K, Takamatsu M et al: Ultrasound biomicroscopic study of the ciliary body thickness after topical application of pharmacologic agents. Am J Ophthalmol 121:319, 1996

394. Wilkie J, Drance SM, Schulzer M: The effects of miotics on anterior-chamber depth. Am J Ophthalmol 68:78, 1969

395. Abramson DH, Chang S, Coleman J: Pilocarpine therapy in glaucoma. Arch Ophthalmol 94:914, 1976

396. Hallden V, Henricsson M: Astigmatism of the lens by asymmetric contraction of the ciliary muscle. Acta Ophthalmol 52:242, 1974

397. Willetts GS: Autonomic effector drugs and the normal human eye. Am J Ophthalmol 68:216, 1969

398. Dinslage T, Diestelhorst M, Hille T, Otto K: A new transdermal delivery for pilocarpine in glaucoma treatment. Ger J Ophthalmol 5:275, 1996

399. Becker B: The measurement of rate of aqueous flow with iodide. Invest Ophthalmol 1:52, 1962

400. Green K, Griffin C, Hensley A: Effect of parasympathetic and vasoactive drugs on ciliary epithelium permeability. Exp Eye Res 27:533, 1978

401. Macri FJ, Cevario SJ: The dual nature of pilocarpine to stimulate or inhibit the formation of aqueous humor. Invest Ophthalmol 13:617, 1974

402. Berggren L: Effect of parasympathomimetic and sympathetic drugs on secretion in vitro by the ciliary processes of the rabbit eye. Invest Ophthalmol 4:91, 1965

403. Berggren L: Further studies on the effect of autonomous drugs on in vitro secretory activity of the rabbit eye ciliary processes. Acta Ophthalmol 48:293, 1970

404. Edwards J, Hallman VC, Perkins ES: Perfusion studies on the monkey eye. Exp Eye Res 6:316, 1967

405. Walinder PE, Bill A: Influence of intraocular pressure and some drugs on aqueous flow and entry of cycloleucine into the aqueous humor of vervet monkeys (Cercopithecus ethiops). Invest Ophthalmol 8:446, 1969

406. Barsam PC: Comparison of the effect of pilocarpine and echothiophate on intraocular pressure and outflow facility. Am J Ophthalmol 73:742, 1972

407. Nagataki S, Brubaker RF: Effect of pilocarpine on aqueous humor formation in human beings. Arch Ophthalmol 100: 818, 1982

408. Stjernschantz J, Bill A: Effect of intracranial stimulation of the oculomotor nerve on ocular blood flow in the monkey, cat, and rabbit. Invest Ophthalmol Vis Sci 18:99, 1979

409. Holmberg AS, Barany EH: The effect of pilocarpine on the endothelium forming the inner wall of Schlemm's canal: an electron microscopic study in the monkey Cercopithecus aethiops. Invest Ophthalmol 5:53, 1966

410. Lutjen-Drecoll E: Structural factors influencing outflow facility and its changeability under drugs. Invest Ophthalmol 12:280, 1973

411. Grierson I, Lee WR, Abraham S: Effects of pilocarpine on the morphology of the human outflow apparatus. Br J Ophthalmol 62:302, 1978

412. Grierson I, Lee WR, Abraham S: The effects of topical pilocarpine on the morphology of the outflow apparatus of the baboon (Papio cynocephalus). Invest Ophthalmol Vis Sci 18:346, 1979

413. Barany EH: The mode of action of pilocarpine on outflow resistance in the eye of a primate (Cercopithecus ethiops). Invest Ophthalmol 1:712, 1962

414. Croft MA, Oyen MJ, Gange SJ et al: Aging effects on accommodation and outflow facility responses to pilocarpine in humans. Arch Ophthalmol 114:586, 1996

415. Moses RA, Goldberg I: Pilocarpine-induced movement of the trabecular mesh. Aust N Z J Ophthalmol 14:333, 1986

416. Gaasterland D, Kupfer C, Ross K: Studies of aqueous humor dynamics in man: IV. Effects of pilocarpine upon measurements in young normal volunteers. Invest Ophthalmol 14:848, 1975

417. Willetts GS: Autonomic effector drugs and the normal human eye. Am J Ophthalmol 68:216, 1969

418. Krill AE, Newell FW: Effects of pilocarpine on ocular tension dynamics. Am J Ophthalmol 57:34, 1964

419. Grant WM: Clinical measurements of aqueous outflow. Arch Ophthalmol 46:113, 1951

420. Becker B, Friedenwald JS: Clinical aqueous outflow. Arch Ophthalmol 50:557, 1953

421. Harris LS, Galin MA: Dose response analysis of pilocarpine-induced ocular hypertension. Am J Ophthalmol 84: 605, 1970

422. Flindall RJ, Drance SM: Dose response of intraocular pressures to single instillations of carbaminoylcholine chloride. Can J Ophthalmol 1:292, 1966

423. Kronfeld PC: Dose-effect relationships as an aid in the evaluation of ocular hypotensive drugs. Invest Ophthalmol 3:258, 1964

424. Lieberman TW, Leopold IH: The use of aceclidine in the treatment of glaucoma. Am J Ophthalmol 64:405, 1967

425. Thorburn W: The effect of a single dose of pilocarpine on the facility of aqueous outflow as estimated by use of a constant pressure technique. Acta Ophthalmol 52:246, 1974

426. Mapstone R: Normal response to pilocarpine and phenylephrine. Br J Ophthalmol 61:510, 1977

427. Bito LZ, Merritt SQ: Paradoxical ocular hypertensive effect of pilocarpine on echothiophate iodide-treated primate eyes. Invest Ophthalmol Vis Sci 19:371, 1980

428. Flocks M, Zweng HC: Studies on the mode of action of pilocarpine on aqueous outflow. Am J Ophthalmol 44: 380, 1957

429. Jampel RS, Mindel J: The nucleus for accommodation in the midbrain of the macaque: the effect of accommodation, pupillary constriction, and extraocular muscle contraction produced by stimulation of the oculomotor nucleus on the intraocular pressure. Invest Ophthalmol 6:40, 1967

430. Armaly MF, Burian HM: Changes in the tonogram during accommodation. Arch Ophthalmol 60:60, 1958

431. Abramson DH, Franzen LA, Coleman DJ: Pilocarpine in the presbyope: demonstration of an effect on the anterior chamber and lens thickness. Arch Ophthalmol 89:100, 1973

432. Kaufman PL, Barany EH: Loss of acute pilocarpine effect on outflow facility following surgical disinsertion and retrodisplacement of the ciliary muscle from the scleral spur in the cynomolgus monkey. Invest Ophthalmol 15:793, 1976

433. Nesterov AP: Role of the blockade in Schlemm's canal in pathogenesis of primary open angle glaucoma. Am J Ophthalmol 70:691, 1970

434. Barany EH: The influence of extraocular venous pressure on outflow facility in Cercopithecus ethiops and Macaca fascicularis. Invest Ophthalmol Vis Sci 17:711, 1978

435. François J, Goes F, Zagorski Z: Comparative ultrasonographic study of the effect of pilocarpine 2% and Ocusert P20 on the eye components. Am J Ophthalmol 86:233, 1978

436. Wilke K: Early effects of epinephrine and pilocarpine on the intraocular pressure and the episcleral venous pressure in the normal eye. Acta Ophthalmol 52:231, 1974

437. Bill A, Walinder PE: The effects of pilocarpine on the dynamics of aqueous humor in a primate (Macaca irus). Invest Ophthalmol 5:170, 1966

438. Goldberg MF, Payne JW, Brunt PW: Ophthalmologic studies of familial dysautonomia. Arch Ophthalmol 80:732, 1968

439. Smith AA, Dancis J, Breinin G: Ocular responses to autonomic drugs in familial dysautonomia. Invest Ophthalmol 4:358, 1965

440. Kroop IG: The production of tears in familial dysautonomia. J Pediatr 48:328, 1956

441. DeHaas EBH: Desiccation of cornea and conjunctiva after sensory denervation. Arch Ophthalmol 67:439, 1962

442. Kolker AE: Visual prognosis in advanced glaucoma. A comparison of medical and surgical therapy for retention of vision in 101 eyes with advanced glaucoma. Trans Am Ophthalmol Soc 75:539, 1977

443. Quigley HA, Maumenee AE: Longterm follow-up of treated open-angle glaucoma. Am J Ophthalmol 87:519, 1979

444. Schulzer M, Mikelberg FS, Drance SM: Some observations on the relation between intraocular pressure reduction and the progression of glaucomatous visual loss. Br J Ophthalmol 71:486, 1987

445. Vogel R, Crick RP, Newsom RB et al: Association between intraocular pressure and loss of visual field in chronic simple glaucoma. Br J Ophthalmol 74:3, 1990

446. O'Brien C, Schwartz B, Takamoto T, Wu DC: Intraocular pressure and the rate of visual field loss in chronic open-angle glaucoma. Am J Ophthalmol 111:491, 1991

447. Zeimer RC, Wilensky JT, Gieser DK, Viana MAG: Association between intraocular pressure peaks and progression of visual field loss. Ophthalmology 98:64, 1991

448. Stenart WC, Chorak RP, Hunt HH, Sethuraman G: Factors associated with visual loss in patients with advanced glaucomatous changes in the optic nerve head. Am J Ophthalmol 116:176, 1993

449. Drance SM, Nash PA: The dose response of human intraocular pressure to pilocarpine. Can J Ophthalmol 6:9, 1971

450. Worthen DM: Effect of pilocarpine drops on the intraocular pressure variation in patients with glaucoma. Invest Ophthalmol 15:784, 1976

451. Pratt-Johnson JA, Drance SM, Innes R: Comparison between pilocarpine and echothiophate for chronic simple glaucoma. Arch Ophthalmol 72:485, 1964

452. Rothkoff L, Biedner B, Biger Y, Blumenthal M: A proposed pilocarpine therapeutic test. Arch Ophthalmol 96:1380, 1978

453. van Hoose MC, Leaders FE: The role of the cornea in the biologic response to pilocarpine. Invest Ophthalmol 13:377, 1974

454. Reichert RW, Shields MB, Stewart WC: Intraocular pressure responses to replacing pilocarpine with carbachol. Am J Ophthalmol 106;747, 1988

455. Romano JH: Double-blind cross-over comparison of aceclidine and pilocarpine in open-angle glaucoma. Br J Ophthalmol 54:510, 1970

456. Lerman S, Reininger B: Simulated sustained release pilocarpine therapy and aqueous humor dynamics. Can J Ophthalmol 6:14, 1971

457. Drance SM, Mitchell DWA, Schulzer M: The duration of action of pilocarpine Ocusert on intraocular pressure in man. Can J Ophthalmol 10:450, 1975

458. Worthen DM, Zimmerman TJ, Wind CA: An evaluation of the pilocarpine Ocusert. Invest Ophthalmol 13:296, 1974

459. Hostyn P, LeRebeller MJ, Trinquand C et al: Fixed combination of carteolol and pilocarpine eye-drops: a double blind randomized cross-over trial versus carteolol alone on intraocular pressure. Eur J Ophthalmol 6:17, 1996

460. Sturm A, Vogel R, Binkowitz B et al: A fixed combination of timolol and pilocarpine: double-masked comparisons with timolol and with pilocarpine. J Glaucoma 1:7, 1992

461. Zadok D, Geyer O, Zadok J et al: Combined timolol and pilocarpine vs pilocarpine alone and timolol alone in the treatment of glaucoma. Am J Ophthalmol 717:728, 1994

462. Brown SVL, Thomas JV, Belcher CD III, Simons RJ: Effect of pilocarpine in treatment of intraocular pressure elevation following neodymium: YAG laser posterior capsulotomy. Ophthalmology 92:354, 1985

463. Ofner S, Samples JR, Van Buskirk EM: Pilocarpine and the increase in intraocular pressure after trabeculoplasty. Am J Ophthalmol 97:647, 1984

464. Elsas T, Johnsen H, Stang O: Pilocarpine to prevent acute pressure increase following primary laser trabeculoplasty. Eye 5:390, 1991

465. Linn DK, Zimmerman TJ, Nardin GF et al: Effect of intracameral carbachol on intraocular pressure after cataract extraction. Am J Ophthalmol 107:133, 1989

466. Wedrich A, Menapace R: Effect of carbachol on intraocular pressure in small-incision cataract surgery. Doc Ophthalmol 80:301, 1992

467. Ruiz RS, Wilson CA, Musgrove KH, Prager TC: Management of increased intraocular pressure after cataract extraction. Am J Ophthalmol 103:487, 1987

468. Hollands RH, Drance SM, Schulzer M: The effect of acetylcholine on early postoperative intraocular pressure. Am J Ophthalmol 103:749, 1987

469. Winter FC: The second eye in acute primary shallow chamber angle glaucoma. Am J Ophthalmol 40:557, 1955

470. Lowe RF: Acute angle-closure glaucoma. Br J Ophthalmol 46:641, 1962

471. Bain WES: The fellow eye in acute closed-angle glaucoma. Br J Ophthalmol 41:193, 1957

472. Mapstone R: Dilating dangerous pupils. Br J Ophthalmol 61:517, 1977

473. Wishart PK: Does the pilocarpine phenylephrine provocative test help in the management of acute and subacute angle closure glaucoma? Br J Ophthalmol 75:284, 1991

474. Abraham SV: The use of miotics in the treatment of convergent strabismus and anisometropia. Am J Ophthalmol 32: 233, 1949

475. Whitwell J, Preston A: Use of miotics in squint surgery. Br J Ophthalmol 40:96, 1956

476. Ray R: Use of acetylcholine in peripheral iridectomy. Am J Ophthalmol 60:728, 1965

477. Harley RD, Mishler JE: Acetylcholine in cataract surgery. Br J Ophthalmol 50:429, 1966

478. Rizzuti AB: Acetylcholine in surgery of the lens, iris, and cornea. Am J Ophthalmol 63:484, 1967

479. Hebb C: Physiologic significance of acetylcholine. In Elliot KAC, Page IH, Quoistel JH (eds): Neurochemistry, 2nd ed, pp 460–461. Springfield, IL, Charles C Thomas, 1962

480. Douglas GR: Comparison of acetylcholine and carbachol following cataract extraction. Can J Ophthalmol 8:75, 1973

481. Jackson H, Patel CK, Westcott M et al: Does topical flurbiprofen affect the pupillary response to acetylcholine? Eye 8:329, 1994

482. Anastasi LM, Ogle KN, Kearns TP: Effect of pilocarpine in counteracting mydriasis. Arch Ophthalmol 79:710, 1968

483. Lundvall A, Zetterstrom C: Exfoliation syndrome and the effects of phenylephrine and pilocarpine on pupil size. Acta Ophthalmol 71:177, 1993

484. Nelson ME, Orton HP: Counteracting the effects of mydriatics. Arch Ophthalmol 105:486, 1987

485. Gettes BC: Tropicamide: comparative mydriatic effects. Am J Ophthalmol 55:84, 1963

486. Gordon DM, Ehrenberg MH: Cyclopentolate hydrochloride: a new mydriatic and cycloplegic agent. Am J Ophthalmol 38:831, 1954

487. Laor N, Korczyn AD: Waardenburg syndrome with a fixed dilated pupil. Br J Ophthalmol 62:491, 1978

488. Gettes BC: Three new cycloplegic drugs. Arch Ophthalmol 51:467, 1954

489. Ingram RM, Barr A: Refraction of one-year-old children after cycloplegia with 1% cyclopentolate: comparison with findings after atropinisation. Br J Ophthalmol 63:348, 1979

490. Gettes BC: Tropicamide, a new cycloplegic mydriatic. Arch Ophthalmol 65:632, 1961

491. Pape LG, Forbes M: Retinal detachment and miotic therapy. Am J Ophthalmol 85:558, 1978

492. Harriman DGF, Garland H: The pathology of Adie's syndrome. Brain 91:401, 1968

493. Markus C: A peculiar pupil phenomenon in cases of partial iridoplegia. Trans Ophthalmol Soc UK 26:50, 1906

494. Scheie HG: Site of disturbance in Adie's syndrome. Arch Ophthalmol 24:225, 1940

495. Laties AM, Scheie HG: Adie's syndrome: duration of methacholine sensitivity. Arch Ophthalmol 74:458, 1965

496. Bourgon P, Pilley SFJ, Thompson HS: Cholinergic supersensitivity of the iris sphincter in Adie's tonic pupil. Am J Ophthalmol 85:373, 1978

497. Pilley SFJ, Thompson HS: Cholinergic supersensitivity in Adie's syndrome: pilocarpine vs. Mecholyl. Am J Ophthalmol 80:955, 1975

498. Clark CV, Mapstone R: Parasympathetic denervation hypersensitivity of the iris in ocular hypertension. Invest Ophthalmol Vis Sci 28:1732, 1987

499. Lowenstein O, Loewenfeld IE: Pupillotonic pseudotabes. Surv Ophthalmol 10:129, 1965

500. Loewenfeld IE, Oono S: The iris as a pharmacologic indicator: the supposed instability of Mecholyl. Eye Ear Nose Throat 45(10):69, 1966

501. Czarnecki JSC, Hachinski V: Site of lesion in Fisher syndrome. Ann Neurol 4:158, 1978

502. Okajima T, Imamura S, Kawasaki S et al: Fisher's syndrome: a pharmacologic study of the pupils. Ann Neurol 2:63, 1977

503. Keane JR: Tonic pupils with acute ophthalmoplegic polyneuritis. Ann Neurol 2:393, 1977

504. Drummond PD: The effect of light intensity and dose of dilute pilocarpine on pupillary construction in healthy subjects. Am J Ophthalmol 112:195, 1991

505. Cohen DN, Zakov ZN: The diagnosis of Adie's pupil using 0.0625% pilocarpine solution. Am J Ophthalmol 79:883, 1975

506. Young BR, Buski ZJ: Tonic pupil: a simple screening test. Can J Ophthalmol 11:295, 1976

507. Hedges TR, Gerner EW: Ross' syndrome (tonic pupil plus). Br J Ophthalmol 59:387, 1975

508. Bell RA, Thompson HS: Ciliary muscle dysfunction in Adie's syndrome. Arch Ophthalmol 96:638, 1978

509. Ponsford JR, Bannister R, Paul EA: Methacholine pupillary responses in third nerve palsy and Adie's syndrome. Brain 105:583, 1982

510. Ohno S, Mukuno K: Studies on synkinetic pupillary phenomena resulting from aberrant regeneration of the third nerve. Jpn J Clin Ophthalmol 27:229, 1973

511. Czarnecki JSC, Thompson HS: The iris sphincter in aberrant regeneration of the third nerve. Arch Ophthalmol 96:1606, 1978

512. Jacobson DM: A prospective evaluation of cholinergic supersensitivity of the iris sphincter in patients with oculomotor nerve palsies. Am J Ophthalmol 118:377, 1994

513. Kastl PR: Inadvertent systemic injection of pilocarpine. Arch Ophthalmol 105:28, 1987

514. Cordner SM, Fysh RR, Gordon H, Whitaker SJ: Deaths of two hospital inpatients poisoned by pilocarpine. Br Med J 293:1285, 1986

515. O'Donnell BF, Foulds IS: Contact allergic dermatitis and contact urticaria due to topical ophthalmic preparations. Br J Ophthalmol 77:740, 1993

516. Drance SM, Mitchell DWA, Schulzer M: The effects of Ocusert pilocarpine on anterior chamber depth, visual acuity and intraocular pressure in man. Can J Ophthalmol 12:24, 1977

517. Meyer HJ: Gefahren durch Ocusertbehandlung. Klin Monatsbl Augenheilkd 171:584, 1977

518. Poinoosawmy D, Nagasubramanian S, Brown NAP: Effect of pilocarpine on visual acuity and on the dimensions of the cornea and anterior chamber. Br J Ophthalmol 60:676, 1976

519. Drance SM: The coefficient of scleral rigidity in normal and glaucomatous eyes. Arch Ophthalmol 63:668, 1960

520. Kennedy RE, Roca PD, Landers PIL: Atypical band keratopathy in glaucoma patients. Trans Am Ophthalmol Soc 69:124, 1971

521. Kennedy RE, Roca PD, Platt DS: Further observations on atypical band keratopathy in glaucoma patients. Trans Am Ophthalmol Soc 72:107, 1974

522. Lemp MA, Ralph RA: Rapid development of band keratopathy in dry eyes. Am J Ophthalmol 83:657, 1977

523. Lichter PR: Pigmentation of the anterior lens capsule in glaucoma. Palestra Oftalmol Panam 2:14, 1978

524. Calder IT, Miller JHM: Application of an atomic absorption spectrophotometric method for the determination of organomercurial preservatives in eye drops. J Pharm Pharmacol 28 (suppl):25P, 1976

525. Ludtke E, Darsow H, Pohloudek-Fabini R: Untersuchungen zur Stabilitat von Thiomersal in Augentropfen. Pharmazie 32:99, 1977

526. McCluskey DJ, Douglas JP, O'Connor PS et al: The effect of pilocarpine on the visual field in animals. Ophthalmology 93:843, 1986

527. Webster AR, Luff AJ, Canning CR, Elkington AR: The effect of pilocarpine on the glaucomatous visual field. Br J Ophthalmol 77:721, 1993

528. Mori M, Araie M, Sakurai M, Oshika T: Effects of pilocarpine and tropicamide on blood-aqueous barrier permeability in man. Invest Ophthalmol Vis Sci 33:416, 1992

529. Young TL, Higginbotham EJ, Zou X, Farber MD: Effects of topical glaucoma drugs on fistulized rabbit conjunctiva. Ophthalmology 97:1423, 1990

530. Johnson DH, Yoshikawa K, Brubaker RF, Hodge DO: The effect of long-term medical therapy on the outcome of filtration surgery. Am J Ophthalmol 117:139, 1994

531. Broadway DC, Grierson I, O'Brien C, Hitchins RA: Adverse effects of topical antiglaucoma medication. II. The outcome of filtration surgery. Arch Ophthalmol 112:1446, 1994

532. Shaffer RN, Hetherington J: Anticholinesterase drugs and cataracts. Am J Ophthalmol 62:613, 1966

533. Axelsson U, Holmberg A. The frequency of cataract after miotic therapy. Acta Ophthalmol 44:421, 1966

534. Chandler PA, Grant WM: Mydriatic-cycloplegic treatment in malignant glaucoma. Arch Ophthalmol 68:353, 1962

535. Levene R: A new concept of malignant glaucoma. Arch Ophthalmol 87:497, 1972

536. Rieser JC: Miotic-induced malignant glaucoma. Arch Ophthalmol 87:706, 1972

537. Merritt JC: Malignant glaucoma induced by miotics postoperatively in open-angle glaucoma. Arch Ophthalmol 95: 1988, 1977

538. Vaughn ED, Hull DS, Green K: Effect of intraocular miotics on corneal endothelium. Arch Ophthalmol 96:1897, 1978

539. Mester U, Stein HJ, Koch HR: Experimental lens opacities in rabbits induced by intraocular application of acetylcholine. Ophthalmic Res 9:99, 1977

540. Rosen N, Lazar M: The mechanism of the Miochol lens opacity. Am J Ophthalmol 86:570, 1978

541. Jay JL, MacDonald M: Effects of intraocular miotics on cultured bovine corneal endothelium. Br J Ophthalmol 62:815, 1978

542. Babinski M, Smith RB, Wickerham EP: Hypotension and bradycardia following intraocular acetylcholine injection. Arch Ophthalmol 94:675, 1976

543. Beasley H, Fraunfelder FT: Retinal detachments and topical ocular miotics. Ophthalmology 86:95, 1979

544. Puustjarvi T: Retinal detachment during glaucoma therapy. Ophthalmologica 190:40, 1985

545. Weseley P, Liebmann J, Ritch R: Rhegmatogenous retinal detachment after initiation of Ocusert therapy. Am J Ophthalmol 112:458, 1991

546. Benedict WL, Shami M: Impending macular hole associated with topical pilocarpine. Am J Ophthalmol 114:765, 1992

547. Krishna N, Leopold IH: The effect of BC-48 (demecarium bromide) on normal rabbit and human eyes. Am J Ophthalmol 49:270, 1960

548. Lanks KW, Lieske CN, Papirmeister B: Spontaneous reactivation of acetylcholinesterase following organophosphate inhibition. Biochim Biophys Acta 483:320, 1977

549. Lund Karlsen R, Fonnum F: The effect of locally applied cholinesterase inhibitors and oximes on the acetylcholinesterase activity in different parts of the guinea-pig eye. Acta Pharmacol Toxicol 38:299, 1976

550. Cisson CM, Wilson BW: Recovery of acetylcholinesterase in cultured chick embryo muscle treated with paraoxon. Biochem Pharmacol 26:1955, 1977

551. Leopold IH, Gold P, Gold D: Use of a thiophosphinyl quaternary compound (217-MI) in treatment of glaucoma. Arch Ophthalmol 58:363, 1957

552. Leopold IH, Comroe JH: Use of diisopropyl fluorophosphate (DFP) in treatment of glaucoma. Arch Ophthalmol 36:1, 1946

553. Leopold IH, McDonald PR: Di-isopropyl fluorophosphate (DFP) in treatment of glaucoma. Arch Ophthalmol 40: 176, 1948

554. Koelle GB, Gilman A: The relationship between cholinesterase inhibition and the pharmacologic action of diisopropyl fluorophosphate (DFP). J Pharmacol Exp Ther 87: 421, 1946

555. Lawlor RC, Lee P: Use of echothiophate (Phospholine Iodide) in the treatment of glaucoma. Am J Ophthalmol 49:808, 1960

556. Schoene K: Aging of soman-inhibited acetylcholinesterase: inhibitors and accelerators. Biochim Biophys Acta 525: 468, 1978

557. Valdes JJ, Shih T-M, Whalley C: Competitive binding of the oximes H1-6 and 2-PAM with regional brain muscarinic receptors. Biochem Pharmacol 34:2815, 1985

558. Schroeder AC, DiGiovanni JH, von Bredow J, Heiffer MH: Pralidoxime chloride stability-indicating assay and analysis of solution samples stored at room temperature for ten years. J Pharm Sci 78:132, 1989

559. Kondritzer AA, Zvirblis P, Goodman A, Paplanus SH: Blood plasma levels and elimination of salts of 2-PAM in man after oral administration. J Pharm Sci 57:1142, 1968

560. Holland P, Parkes DC: Plasma concentrations of the oxime pralidoxime mesylate (P2S) after repeated oral and intramuscular administration. Br J Indust Med 33:43, 1976

561. Ballantyne B, Swanston DW: Aqueous humor pralidoxime mesylate (P2S) concentrations and intraocular tension following intramuscular P2S. Drug Chem Toxicol 3:259, 1980

562. Kaufman PL, Barany EH: Subsensitivity to pilocarpine in primate ciliary muscle following topical anticholinesterase treatment. Invest Ophthalmol 14:302, 1975

563. Kaufman PL, Barany EH: Subsensitivity to pilocarpine of the aqueous outflow system in monkey eyes after topical anticholinesterase treatment. Am J Ophthalmol 82:883, 1976

564. Bito LZ: The absence of sympathetic role in anti-Che induced changes in cholinergic transmission. J Pharmacol Exp Ther 161:302, 1968

565. Lutjen-Drecoll E, Kaufman PL: Echothiophate-induced structural alterations in the anterior chamber angle of the cynomolgus monkey. Invest Ophthalmol Vis Sci 18:918, 1979

566. Soli NE, Karlsen RL, Opsahl M, Fonnum F: Correlations between acetylcholinesterase activity in guinea-pig iris and pupillary function: a biochemical and pupillographic study. J Neurochem 35:723, 1980

567. Narita S, Watanabe M: Response of isolated rat iris dilator to adrenergic and cholinergic agents and electrical stimulation. Life Sci 30:1211, 1982

568. Mattio TG, Richardson JS, Giacobini E: Acute effects of cholinesterase inhibitors on uptake of choline in the rat iris. Neuropharmacology 24:325, 1985

569. Bito LZ, Baroody RA: Gradual changes in the sensitivity of rhesus monkey eyes to miotics and the dependence of these changes on the regimen of topical cholinesterase inhibitor treatment. Invest Ophthalmol Vis Sci 18:794, 1979

570. Mindel JS: Miosis from echothiophate in patients with total oculomotor nerve paralysis from intracranial abnormalities. Am J Ophthalmol 91:373, 1981

571. Dunphy EB: The effect of di-isopropyl fluorophosphate (DFP) on the pupil of the dark adapted eye. Am J Ophthalmol 32:1404, 1949

572. Loewenfeld IE, Newsome DA: Iris mechanics: I. Influence of pupil size on dynamics of pupillary movements. Am J Ophthalmol 71:347, 1971

573. van Alphen GWHM, Robinette SL, Macri FJ: Drug effects on ciliary muscle and choroid preparations in vitro. Arch Ophthalmol 68:81, 1962

574. Erickson-Lamy KA, Polansky JR, Kaufman PL, Zlock DM: Cholinergic drugs alter ciliary muscle response and receptor content. Invest Ophthalmol Vis Sci 28:375, 1987

575. Croft MA, Kaufman PL, Erikson-Lamy K, Polansky JR: Accommodation and ciliary muscle muscarinic receptors after echothiophate. Invest Ophthalmol Vis Sci 32:3288, 1991

576. Fincham EF: The proportion of ciliary muscular force required for accommodation. J Physiol 128:99, 1955

577. Scholz RO: Studies on the ocular reactions of rabbits to di-isopropyl fluorophosphate. J Pharmacol Exp Ther 88: 23, 1946

578. von Sallmann L, Dillon B: The effect of di-isopropyl fluorophosphate on the capillaries of the anterior segment of the eye in rabbits. Am J Ophthalmol 30:1244, 1947

579. Stocker FW: Experimental studies on the blood-aqueous barrier. Arch Ophthalmol 37:583, 1947

580. Lutjen-Drecoll E, Kaufman PL: Biomechanics of echothiophate-induced anatomic changes in monkey aqueous outflow system. Graefes Arch Clin Exp Ophthalmol 224:564, 1986

581. McDonald PR: Treatment of glaucoma with di-isopropylfluorophosphate (DFP). Am J Ophthalmol 29:1071, 1946

582. Drance SM, Carr F: Effects of phospholine-iodide (217MI) on intraocular pressure in man. Am J Ophthalmol 49: 470, 1960

583. Zekman TN, Syndacker D: Increased intraocular pressure produced by di-isopropylfluorophosphate (DFP). Am J Ophthalmol 36:1709, 1953

584. Becker B, Gage T, Kolker AE, Gay AJ: The effect of phenylephrine hydrochloride on the miotic-treated eye. Am J Ophthalmol 48:313, 1959

585. Drance SM: Effect of demecarium bromide (BC-48) on intraocular pressure in man. Arch Ophthalmol 62:673, 1959

586. Ariel M, Daw NW: Pharmacological analysis of directionally sensitive rabbit retinal ganglion cells. J Physiol 324:161, 1982

587. Bunke A, Bito LZ: Gradual increase in the sensitivity of extraocular muscles to acetylcholine during topical treatment of rabbit eyes with isoflurophate. Am J Ophthalmol 92:259, 1981

588. Krishna N, Leopold IH: Use of BC-48 (demecarium bromide) in treatment of glaucoma. Am J Ophthalmol 49: 554, 1960

589. Terner IS, Linn JG Jr, Goldstrohm R: Clinical experience with demecarium bromide (BC-48) in the treatment of glaucoma. Am J Ophthalmol 52:553, 1961

590. Leopold IH, Comroe JH: Effect of intramuscular administration of morphine, atropine, scopolamine and neostigmine on the human eye. Arch Ophthalmol 40:285, 1948

591. Leopold IH, Comroe JH: Effect of diisopropyl fluorophosphate (“DFP”) on the normal eye. Arch Ophthalmol 36: 17, 1946

592. Kellerman L, King AD: Preliminary observations on the use of new concentrations of echothiophate iodide in the treatment of glaucoma. Am J Ophthalmol 62:278, 1966

593. Harris LS: Dose-response analysis of echothiophate iodide. Arch Ophthalmol 86:502, 1971

594. Drance SM: Comparison of action of cholinergic and anticholinesterase agents in glaucoma. Invest Ophthalmol 5:130, 1966

595. Barsam PC, Vogel HP: The effect of phospholine iodide on the diurnal variations of intraocular pressure in glaucoma. Am J Ophthalmol 57:241, 1964

596. Becker B, Gage T: Demecarium bromide and echothiophate iodide in chronic glaucoma. Arch Ophthalmol 63: 126, 1960

597. Becker B, Pyle GC, Drews RC: The tonographic effects of echothiophate (phospholine) iodide: reversal by pyridine-2-aldoxime methiodide (P2AM). Am J Ophthalmol 47:635, 1959

598. Klayman J, Taffet S: Low concentration phospholine iodide therapy in open-angle glaucoma. Am J Ophthalmol 55: 1233, 1963

599. Ripps H, Chin NB, Siegel IM, Breinin GM: The effect of pupil size on accommodation, convergence and the AC/A ratio. Invest Ophthalmol 1:127, 1962

600. Miller JE: A comparison of miotics in accommodative esotropia. Am J Ophthalmol 49:1350, 1960

601. Hill K, Stromberg A: Echothiophate iodide in the management of esotropia. Am J Ophthalmol 53:488, 1962

602. Rehany U, Rose L, Mazor Z, Ticho U: Visual effects of echothiophate (Phospholine) iodide and pilocarpine hydrochloride in young adults. Glaucoma 2:456, 1980

603. Wheeler MC: Isoflurophate (DFP) in the handling of esotropia. Arch Ophthalmol 71:298, 1964

604. Parks MM: Abnormal accommodative convergence in squint. Arch Ophthalmol 59:364, 1958

605. Baker JD, Parks MM: Early onset accommodative esotropia. Am J Ophthalmol 90:11, 1980

606. Mamo JG, Leopold IH: Evaluation and use of oximes in ophthalmology. Am J Ophthalmol 46:724, 1958

607. Byron HM, Posner I: Clinical evaluation of Protopam. Am J Ophthalmol 57:409, 1964

608. Gorin G: Action of di-isopropyl-fluorophosphate on cyclodialysis clefts. Am J Ophthalmol 50:789, 1960

609. Cohen SW: Management of errors of refraction with echothiophate iodide. Am J Ophthalmol 62:303, 1966

610. Wirtschafter JD, Herman WK: Low concentration eserine therapy for the tonic pupil (Adie) syndrome. Ophthalmology 87:1037, 1980

611. Harrison R: Bilateral lens opacities. Am J Ophthalmol 50:153, 1960

612. Pietsch RL, Bobo CB, Finklea JF, Vallotton WW: Lens opacities and organophosphate cholinesterase-inhibiting agents. Am J Ophthalmol 73:236, 1972

613. Tarkkanen A, Karjalainen K: Cataract formation during miotic treatment for chronic open-angle glaucoma. Acta Ophthalmol 44:932, 1966

614. Albrecht M, Barany E: Early lens changes in Macaca fascicularis monkeys under topical treatment with echothiophate or carbachol studied by slit-image photography. Invest Ophthalmol Vis Sci 18:179, 1979

615. Thoft RA: Incidence of lens changes in patients treated with echothiophate iodide. Arch Ophthalmol 80:317, 1968

616. Axelsson U: Glaucoma miotic therapy and cataract. Acta Ophthalmol 102 (suppl):1, 1969

617. Morton WR, Drance SM, Fairclough M: Effect of echothiophate on the lens. Am J Ophthalmol 68:1003, 1969

618. Kaufman PL, Axelsson U, Barany EH: Atropine inhibition of echothiophate cataractogenesis in monkeys. Arch Ophthalmol 95:1262, 1977

619. Levene RZ: Echothiophate iodide and lens changes. In Leopold IH (ed): Symposium on Ocular Therapy, Vol 4. St. Louis, CV Mosby, 1969

620. Harkonen M, Tarkkanen A: Effect of phospholine iodide on energy metabolites of the rabbit lens. Exp Eye Res 10:1, 1970

621. Abraham SV: Intra-epithelial cysts of the iris. Am J Ophthalmol 37:327, 1954

622. Christensen L, Swan KC, Huggins HD: The histopathology of iris pigment changes induced by miotics. Arch Ophthalmol 55:666, 1956

623. Hollins M: Does the central human retina stretch during accommodation? Nature 251:729, 1974

624. Westsmith RA, Abernethy RE: Detachment of retina with use of diisopropyl fluorophosphate (Fluropryl) in treatment of glaucoma. Arch Ophthalmol 52:779, 1954

625. Alpar JJ: Miotics and retinal detachment. Ann Ophthalmol 11:395, 1979

626. Mathias CGT, Maibach HI, Irvine A, Adler W: Allergic contact dermatitis to echothiophate iodide and phenylephrine. Arch Ophthalmol 97:286, 1979

627. Juul P, Spiers F: Cholinesterase activities in plasma and erythrocytes in glaucoma patients treated with substances without any anticholinesterase effect. Acta Ophthalmol 45:132, 1967

628. de Roetth A Jr, Wong A, Dettbarn W-D et al: Blood cholinesterase activity of glaucoma patients treated with phospholine iodide. Am J Ophthalmol 62:834, 1966

629. de Roetth A Jr, Dettbarn W-D, Rosenberg P et al: Effect of phospholine iodide on blood cholinesterase levels of normal and glaucoma subjects. Am J Ophthalmol 59:586, 1965

630. Humphreys JA, Holmes JH: The systemic effects produced by echothiophate iodide in treatment of glaucoma. Arch Ophthalmol 69:737, 1963

631. Wahl JW, Tyner GS: Echothiophate iodide: the effect of 0.0625% solution on blood cholinesterase. Am J Ophthalmol 60:419, 1965

632. Markham HD, Rosenberg P, Dettbarn W-D: Eye drops and diarrhea. N Engl J Med 271:197, 1964

633. Dixon EM: Dilatation of the pupils in Parathion poisoning. JAMA 163:444, 1957

634. Nattel S, Bayne L, Ruedy J: Physostigmine in coma due to drug overdose. Clin Pharmacol Ther 25:96, 1979

635. Pantuck EJ: Echothiophate iodide eye drops and prolonged response to suxamethonium. Br J Anaesth 38:406, 1966

636. Cohen SD, Orzech D: Triorthotolyl phosphate inhibition of carboxylesterases and potentiation of procaine toxicity. Biochem Pharmacol 26:1791, 1977

637. Brodsky JB, Campos FA: Chloroprocaine analgesia in a patient receiving echothiophate iodide eye drops. Anesthesiology 48:288, 1978

638. Lanks KW, Sklar GS: Pseudocholinesterase levels and rates of chloroprocaine hydrolysis in patients receiving adequate doses of phospholine iodide. Anesthesiology 52:434, 1980

639. Myers C, Lockridge O, LaDu BN: Hydrolysis of methylprednisolone acetate by human serum cholinesterase. Drug Metab Dispos 10:279, 1982

640. Lockridge O: Substance P hydrolysis by human serum cholinesterase. J Neurochem 39:106, 1982

641. Lockridge O, Mattershaw-Jackson N, Eckerson HW, LaDu BN: Hydrolysis of diacetylmorphine (heroin) by human serum cholinesterase. J Pharmacol Exp Ther 215:1, 1980

642. Birks DA, Prior VJ, Silk E, Whittaker M: Echothiophate iodide treatment of glaucoma in pregnancy. Arch Ophthalmol 79:283, 1968

643. Casale GP, Bavari S, Connolly JJ: Inhibition of human serum complement activity by diisopropylfluorophosphate and selected anticholinesterase insecticides. Fundam Appl Toxicol 12:460, 1989

644. Koster R: Synergisms and antagonisms between physostigmine and di-isopropyl fluorophosphate in cats. J Pharmacol Exp Ther 88:39, 1946

645. Lipson ML, Holmes JH, Ellis PP: Oral administration of pralidoxime chloride in echothiophate iodide therapy. Arch Ophthalmol 82:830, 1969

646. Marshall PB: Antagonism of acetylcholine by (+ ) and (-) hyoscyamine. Br J Pharmacol Chemother 10:354, 1955

647. Gupta SK, Moran JF, Triggle DJ: Mechanism of action of benzilylcholine mustard at the muscarinic receptor. Mol Pharmacol 12:1019, 1976

648. Ellenbroek BWJ, Nivard RJF, Van Rossum JM, Ariens EJ: Absolute configuration and parasympathetic action: pharmacodynamics and enantiomorphic and diastereoisomeric esters of β-methylcholine. J Pharm Pharmacol 17:393, 1965

649. Roy AK, Guillory JK: The kinetics and mechanisms of the hydrolysis of cyclopentolate hydrochloride in alkaline solutions. Int J Pharmaceut 120:169, 1995

650. Kondritzer AA, Zvirblis P: Stability of atropine aqueous solution. J Am Pharm Assoc 46:531, 1957

651. Ulriketimm B, Gober B, Donhert H, Pfeifer S: Zur Analytik und Stabilitat von Tropicamid. Pharmazie 32:331, 1977

652. Jira T, Pohloudek-Fabini R: Zur Analytik und Stabilitat von Atropinsulfat und Scopolaminhydrobromid. Pharmazie 38:520, 1983

653. Smith SE: Dose-response relationships in tropicamide-induced mydriasis and cycloplegia. Br J Clin Pharmacol 1:37, 1974

654. Smith SA: Factors determining the potency of mydriatic drugs in man. Br J Clin Pharmacol 3:503, 1976

655. Petzold DR, Timm U, Gober B: Zur Thermodynamik der cis-trans-Isomeric von Tropicamid. Pharmazie 33:651, 1978

656. Patil PN: Antimuscarinic effects of stereoisomers of tropicamide on rabbit iris sphincter. Invest Ophthalmol Vis Sci 17:65, 1978

657. Kaumann AJ, Hennekes R: The affinity of atropine for muscarinic receptors in human sphincter pupillae. Naunyn Schmiedebergs Arch Pharmacol 306:209, 1979

658. Paton WDM, Rang HP: The uptake of atropine and related drugs by intestinal smooth muscle of the guinea pig in relation to acetylcholine receptors. Proc R Soc Lond 163:1, 1965

659. Thron CD, Waud DR: The rate of action of atropine. J Pharmacol Exp Ther 160:91, 1968

660. Chen KK, Poth EJ: Racial differences as illustrated by the mydriatic action of cocaine, euphthalmine and ephedrine. J Pharmacol Exp Ther 36:429, 1929

661. Patil PN, Shimada K, Feller DR, Malspeis L: Accumulation of (-)-14C-ephedrine by the pigmented and the nonpigmented iris. J Pharmacol Exp Ther 188:352, 1974

662. Salazar M, Patil PN: An explanation for the long duration of mydriatic effect of atropine in eye. Invest Ophthalmol 15:671, 1976

663. Salazar M, Shimada K, Patil PN: Iris pigmentation and atropine mydriasis. J Pharmacol Exp Ther 197:79, 1976

664. Emiru VP: Response to mydriatics in the African. Br J Ophthalmol 55:538, 1971

665. van der Drift ACM, Sluiter W, Berends F: Hydrodynamic characterization of the size and shape of atropinase from Pseudomonas putida. Biochim Biophys Acta 912:167, 1987

666. Tucker FS, Beattie RJ: Quantitative microtest for atropine esterase. Lab Anim Sci 33:268, 1983

667. Cauthen SE, Ellis RD, Larrison SB, Kidd MR: Resolution, purification and characterization of rabbit serum atropinesterase and cocainesterase. Biochem Pharmacol 25: 181, 1976

668. Armaly MF, Whinery RD, Long JP: The action of hemicholinium (HC-3) in the eye. Arch Int Pharmacodyn Ther 145: 89, 1963

669. Fitzgerald GG, Cooper JR: Acetylcholine as a possible sensory mediator in rabbit corneal epithelium. Biochem Pharmacol 20:2741, 1971

670. Stevenson RW, Wilson WS: Drug-induced depletion of acetylcholine in the rabbit corneal epithelium. Biochem Pharmacol 23:3449, 1974

671. Yamamura HI, Snyder SH: Muscarinic cholinergic binding in rat brain. Proc Natl Acad Sci U S A 71:1725, 1974

672. Yamamura HJ, Snyder SH: Muscarinic cholinergic binding in the longitudinal muscle of the guinea-pig ileum with (3H) quinuclidinyl benzilate. Mol Pharmacol 10:861, 1974

673. Smith EL III, Redburn DA, Harwerth RS, Maguire GW: Permanent alterations in muscarinic receptors and pupil size produced by chronic atropinization in kittens. Invest Ophthalmol Vis Sci 25:239, 1984

674. Korczyn AD, Laor N: A second component of atropine mydriasis. Invest Ophthalmol 16:231, 1977

675. Davanger M: The pupillary dilation curve after mydriatics. Acta Ophthalmol 49:565, 1971

676. Young FA: The effect of restricted visual space on the refractive error of the young monkey eye. Int Ophthalmol 2:571, 1963

677. Raviola E, Wiesel TN: An animal model of myopia. N Engl J Med 312:1609, 1985

678. Pilar G, Nunez R, McLennan IS, Meriney SD: Muscarinic and nicotinic synaptic activation of the developing chicken iris. J Neurosci 7:3813, 1987

679. Schaeffel F, Troilo D, Wallman J, Howland HC: Developing eyes that lack accommodation grow to compensate for defocus. Vis Neurosci 4:177, 1990

680. Mc Brien NA, Moghaddam HO, New R, Williams IR: Experimental myopia in a diurnal mammal (Sciurus carolinensis) with no accommodative ability. J Physiol 469: 427, 1993

681. Stone RA, Lin T, Laties AM: Muscarinic antagonist effects on experimental chick myopia. Exp Eye Res 52:755, 1991

682. Hammer R, Berrie CP, Birdsall NJM et al: Pirenzepine distinguishes between different sub-classes of muscarinic receptors. Nature 283:90, 1980

683. Cottriall CL, McBrien NA: The M1 muscarinic antagonist pirenzepine reduces myopia and eye enlargement in the tree shrew. Invest Ophthalmol Vis Sci 37:1368, 1996

684. Boothe RG, Kiorpes L, Hendrickson A. Anisometropic-amblyopia in Macaca nemestrina monkeys produced by atropinization of one eye during development. Invest Ophthalmol Vis Sci 22:228, 1982

685. Umrath K, Mussbichler H: Die Blockierung der Erregungsubertragung von sekundaren Sinneszellen auf die sensiblen Nerven und die Herabsetzung der Hornhautempfindlichkeit durch Atropin. Z Vitamin Hormon Fermentforschung 4:182, 1951

686. von Oer S: Uber die Beziehung des Acetylcholins des Hornhautepithels zur Erregungsubertragung von diesem auf die sensiblen Nervenenden. Pflugers Arch 273:325, 1961

687. Davidson SI: Mydriatic and cycloplegic drugs. Trans Ophthalmol Soc UK 96:327, 1976

688. Marron J: Cycloplegia and mydriasis by use of atropine, scopolamine and homatropine-Paredine. Arch Ophthalmol 23:340, 1940

689. Wolf AV, Hodge HC: Effects of atropine sulfate, methyl-atropine nitrate (Metropine) and homatropine hydrobromide on adult human eyes. Arch Ophthalmol 36:293, 1946

690. Milder B, Riffenburgh RS: An evaluation of Cyclogyl (compound 75GT). Am J Ophthalmol 36 (part 2):1724, 1953

691. Stolovitch C, Alster Y, Loewenstein A, Lazar M: Influence of the time interval between instillation of two drops of cyclopentolate 1% on refraction and dilation of the pupil in children. Am J Ophthalmol 119:637, 1995

692. Smith SE: Mydriatic drugs for routine fundal inspection: a reappraisal. Lancet 2:837, 1971

693. Merrill DL, Goldberg B, Zavell S: bis-Tropicamide, a new parasympatholytic. Curr Ther Res 2:43, 1960

694. Gambill HD, Ogle KN, Kearns TP: Mydriatic effect of four drugs determined with pupillograph. Arch Ophthalmol 77:740, 1967

695. Apt L, Henrick A: Pupillary dilation with single eyedrop mydriatic combinations. Am J Ophthalmol 89:553, 1980

696. Sinclair SH, Pelham V, Giovanoni R, Regan CDI: Mydriatic solution for outpatient indirect ophthalmoscopy. Arch Ophthalmol 98:1572, 1980

697. Huber MJE, Smith SA, Smith SE: Mydriatic drugs for diabetic patients. Br J Ophthalmol 69:425, 1985

698. Carpel EF, Kalina RE: Pupillary responses to mydriatic agents in premature infants. Am J Ophthalmol 75:988, 1973

699. Scinto LF, Daffner KR, Dressler D et al: A potential non-invasive neurobiological test for Alzheimer's disease. Science 266:1051, 1994

700. Marx JL, Kumar SP, Thach AB et al: Detecting Alzheimer's disease. Science 267:1577, 1995

701. Treloar A, Assin M, Macdonald A: Detecting Alzheimer's disease. Science 267:1578, 1995

702. Loupe DN, Newman NJ, Green RC et al: Pupillary response to tropicamide in patients with Alzheimer's disease. Ophthalmology 103:495, 1996

703. Daily L, Coe RE: Lack of effect of anesthetic and mydriatic solutions on the curvature of the cornea. Am J Ophthalmol 53:49, 1962

704. Rosenbaum AL, Bateman JB, Bremer DL: Cycloplegic refraction in esotropic children. Ophthalmology 88:1031, 1981

705. Gettes BC, Belmont O: Tropicamide-comparative cycloplegic effects. Arch Ophthalmol 66:336, 1961

706. Milder B: Tropicamide as a cycloplegic agent. Arch Ophthalmol 66:70, 1961

707. Miranda MN: Residual accommodation: a comparison between cyclopentolate 1% and a combination of cyclopentolate 1% and tropicamide 1%. Arch Ophthalmol 87:515, 1972

708. Huhtala A, Tervo T, Palkama A: Autonomic and somatic sensory nerves of iris and cornea. Acta Ophthalmol 125 (suppl):47, 1975

709. Bergmanson JPG: The ophthalmic innervation of the uvea in monkeys. Exp Eye Res 24:225, 1977

710. Frezzotti R, Gentili MC: Medical therapy attempts in malignant glaucoma. Am J Ophthalmol 57:402, 1964

711. Chandler PA, Simmons RJ, Grant WM: Malignant glaucoma. Am J Ophthalmol 66:495, 1968

712. Sugar HS: The provocative tests in the diagnosis of the glaucomas. Am J Ophthalmol 31:1193, 1948

713. Sugar HS: The mechanical factors in the etiology of acute glaucoma. Am J Ophthalmol 24:851, 1941

714. Becker B, Thompson HE: Tonography and angle-closure glaucoma: diagnosis and therapy. Am J Ophthalmol 46:305, 1958

715. Dickens CJ, Shaffer RN: The medical treatment of ciliary block glaucoma after extracapsular cataract extraction. Am J Ophthalmol 103:237, 1987

716. Harris LS: Cycloplegic-induced intraocular pressure elevations: a study of normal and open-angle glaucomatous eyes. Arch Ophthalmol 79:242, 1968

717. Harris LS, Galin MA, Mittag TW: Cycloplegic provocative testing after topical administration of steroids. Arch Ophthalmol 86:12, 1971

718. Lazenby GW, Reed JW, Grant WM: Short-term tests of anticholinergic medication in open-angle glaucoma. Arch Ophthalmol 80:443, 1968

719. Lazenby GW, Reed JW, Grant WM: Anticholinergic medication in open-angle glaucoma. Arch Ophthalmol 84:719, 1970

720. Dyer JA: Role of cycloplegics in progressive myopia. Ophthalmology 86:692, 1979

721. Bedrossian RH: The effect of atropine on myopia. Ophthalmology 86:713, 1979

722. Sampson WG: Role of cycloplegia in the management of functional myopia. Ophthalmology 86:695, 1979

723. Taylor BJ, Smith PJ, Brook CGD: Inhibition of physiologic growth hormone secretion by atropine. Clin Endocrinol 22:497, 1985

724. Lowe RF: The use of atropine in the treatment of amblyopia exanopsia. Med J Aust 50:725, 1963

725. von Noorden GK, Milam B: Penalization in the treatment of amblyopia. Am J Ophthalmol 88:511, 1979

726. Johnson DS, Antuna J: Atropine and miotics for treatment of amblyopia. Am J Ophthalmol 60:889, 1965

727. Gregersen E, Pontoppidan M, Rindziunski E: Optic and drug penalization and favouring in the treatment of squint amblyopia. Acta Ophthalmol 52:60, 1974

728. von Noorden GK: Amblyopia caused by unilateral atropinization. Ophthalmology 88:131, 1981

729. Ikeda H, Tremain KE: Amblyopia resulting from penalisation: neurophysiological studies of kittens reared with atropinisation of one or both eyes. Br J Ophthalmol 62: 21, 1978

730. Mitsui Y, Takagi Y: Nature of aqueous floaters due to sympathomimetic mydriatics. Arch Ophthalmol 65:626, 1961

731. Calhoun FP: Pigmentary glaucoma and its relation to Krukenberg's spindle. Am J Ophthalmol 36:1398, 1953

732. Valle O: The cyclopentolate provocative test in suspected or untreated open-angle glaucoma. III. The significance of pigment. Acta Ophthalmol 54:654, 1976

733. Valle O: The cyclopentolate provocative test in suspected or untreated open-angle glaucoma. Acta Ophthalmol 54: 473, 1976

734. Kronfeld PC, McGarry HI, Smith HE: The effect of mydriatics upon the intraocular pressure in so-called primary wide-angle glaucoma. Am J Ophthalmol 26:245, 1943

735. Galin MA: The mydriasis provocative test. Arch Ophthalmol 66:353, 1961

736. Harris LS, Galin MA: Cycloplegic provocative testing. Arch Ophthalmol 81:544, 1969

737. Valle O: The cyclopentolate provocative test in suspected or untreated open-angle glaucoma: I. Effect on intraocular pressure. Acta Ophthalmol 54:456, 1976

738. Shaw BR, Lewis RA: Intraocular pressure elevation after pupillary dilation in open angle glaucoma. Arch Ophthalmol 104:1185, 1986

739. Schimek RA, Lieberman WJ: The influence of Cyclogyl and Neo-Synephrine on tonographic studies on miotic control in open-angle glaucoma. Am J Ophthalmol 51:781, 1961

740. Christensen RE, Pearce I: Homatropine hydrobromide. Arch Ophthalmol 70:376, 1963

741. Lowe RF: Angle-closure, pupil dilatation and pupil block. Br J Ophthalmol 50:385, 1966

742. Harris LS, Galin MA: Cycloplegic provocative testing. Arch Ophthalmol 81:356, 1969

743. Strahlman E, Ford D, Whelton P, Sommer A: Vision screening in a primary care setting: a missed opportunity? Arch Intern Med 150:2159, 1990

744. Awh CC, Cupples HP, Javitt JC: Improved detection and referral of patients with diabetic retinopathy by primary care physicians: effectiveness of education. Arch Intern Med 151:1405, 1991

745. Patel KH, Javitt JC, Tielsch JM et al: Incidence of acute angle-closure glaucoma after pharmacologic mydriasis. Am J Ophthalmol 120:709, 1995

746. Mehra KS, Chandra P: The effect on the eye of premedication with atropine. Br J Anaesth 37:133, 1965

747. Mehra KS, Chandra P, Khare BB: Ocular manifestations of parenteral administration of scopolamine (hyoscine). Br J Ophthalmol 49:557, 1965

748. Cozanitis DA, Dundee JW, Buchanan TAS, Archer DB: Atropine versus glycopyrrolate: a study of intraocular pressure and pupil size in man. Anaesthesia 34:236, 1979

749. Kay CD, Morrison JD: The effects of a single intramuscular injection of atropine sulphate on visual performance in man. Hum Toxicol 6:165, 1987

750. Bye CE, Clubley M, Henson T et al: Effects of systemically administered drugs with anticholinergic actions on the pupil and other organs. Br J Clin Pharmacol 5:366P, 1978

751. Hiatt RL, Fuller IB, Smith L et al: Systemically administered anticholinergic drugs and intraocular pressure. Arch Ophthalmol 84:735, 1970

752. Schwartz H, de Roetth A Jr, Papper EM: Preanesthetic use of atropine and scopolamine in patients with glaucoma. JAMA 165:144, 1957

753. Tammisto T, Castren JA, Marttila I: Intramuscularly administered atropine and the eye. Acta Ophthalmol 42:408, 1964

754. Young SE, Ruiz RS, Falletta J: Reversal of systemic toxic effects of scopolamine with physostigmine salicylate. Am J Ophthalmol 72:1136, 1971

755. Lahdes K, Kaila T, Huupponen R et al: Systemic absorption of topically applied ocular atropine. Clin Pharmacol Ther 44:310, 1988

756. Lahdes K, Huupponen R, Kaila T et al: Systemic absorption of ocular cyclopentolate in children. Ger J Ophthalmol 1:16, 1992

757. Lahdes K, Huupponen R, Kaila T et al: Plasma concentrations and ocular effects of cyclopentolate after ocular applications of 3 formulations. Br J Clin Pharmacol 35:479, 1993

758. Kentala E, Kaila T, Iisalo E, Kanto J: Intramuscular atropine in healthy volunteers: a pharmacokinetic and pharmacodynamic study. Int J Clin Pharmacol Ther 28:399, 1990

759. Vuori M-L, Kaila T, Iisalo E, Saari KM: Systemic absorption and anticholinergic activity of topically applied tropicamide. J Ocul Pharmacol 10:431, 1994

760. Morton HG: Atropine intoxication: its manifestations in infants and children. J Pediatr 14:755, 1939

761. Hoefnagel D: Toxic effects of atropine and homatropine eye drops in children. N Engl J Med 264:168, 1961

762. Beswick JA: Psychosis from cyclopentolate. Am J Ophthalmol 53:879, 1962

763. Mark HH: Psychotogenic properties of cyclopentolate. JAMA 186:430, 1963

764. Praeger DL, Miller SN: Toxic effects of cyclopentolate (Cyclogyl). Am J Ophthalmol 58:1060, 1964

765. Bauer CR, Trottier MCT, Stern L: Systemic cyclopentolate (Cyclogyl) toxicity in the newborn infant. J Pediatr 82: 501, 1973

766. Kennerdell JS, Wucher FP: Cyclopentolate associated with two cases of grand mal seizure. Arch Ophthalmol 87:634, 1972

767. Simcoe CW: Cyclopentolate (Cyclogyl) toxicity. Arch Ophthalmol 67:406, 1962

768. Binkhorst RD, Weinstein GW, Baretz RM, Clahane AC: Psychotic reaction induced by cyclopentolate (Cyclogyl). Am J Ophthalmol 55:1243, 1963

769. Hermansen MC, Sullivan S: Feeding intolerance following ophthalmologic examination. Am J Dis Child 139:367, 1985

770. Isenberg SJ, Abrams C, Hyman PE: Effects of cyclopentolate eyedrops on gastric secretory function in pre-term infants. Ophthalmology 92:698, 1985

771. Forrer GR, Miller JJ: Atropine coma: a somatic therapy in psychiatry. Am J Psychiatry 115:455, 1958

772. Duvoisin RC, Katz R: Reversal of central anticholinergic syndrome in man by physostigmine. JAMA 206:1963, 1968

Back to Top