Chapter 64
Optics of Lamellar Refractive Keratoplasty
ROBERT C. ARFFA
Main Menu   Table Of Contents

Search

REFRACTIVE PROPERTIES OF THE CORNEA
ANALYSIS OF CORNEAL TOPOGRAPHY
POSTOPERATIVE CONSIDERATIONS
REFERENCES

Refractive keratoplasty refers to a variety of surgical procedures that are performed on the cornea to correct refractive errors. Refractive keratoplasty was introduced in the United States approximately 25 years ago, but it was not until FDA approval of phototherapeutic keratectomy using the excimer laser that patient and physician interest accelerated. Refractive keratoplasty has been and continues to be a rapidly evolving field, and techniques are likely to change in the future. However, the underlying principles will not change, and understanding these principles will provide a basis for understanding future developments. This chapter reviews the refractive properties of the cornea, describes the various lamellar refractive keratoplasty procedures, and explains how these procedures change the refractive properties of the cornea.
Back to Top
REFRACTIVE PROPERTIES OF THE CORNEA
The anterior surface of the cornea is responsible for more than two-thirds of the refractive power of the eye. The refractive power of this surface, which converges light toward a focus at the retina, is due to the large difference in the refractive indices of air (1.000) and the cornea (1.376) and is proportional to the curvature of the anterior surface:

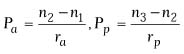
where Ps is the refractive power of the surface in diopters, n1 and n2 are the refractive indices of the first and second media, respectively, and r is the radius of curvature of the surface in meters. From Equation 1, an average anterior corneal surface with a radius of curvature of 7.7 mm has a refractive power of 48.8 diopters (D).

In reality, the anterior surface of the tear film that overlies the cornea is responsible for the refractive power described previously. However, the tear film is thin, and its curvature is determined by the curvature of the cornea. Additionally, the refractive index of the tear film is similar to that of the cornea. Thus, for simplicity, the tear film and cornea may be considered as one for the purposes of refractive calculations, with little loss of accuracy, bearing in mind that surgery that changes the shape of the anterior corneal surface also changes the shape of the anterior surface of the tear film.

Compared with the anterior surface, the posterior surface has a lesser and opposite effect on the refractive power of the cornea, even though the curvature of the posterior surface is steeper than the curvature of the anterior surface. This is because the refractive indices of the cornea (1.376) and aqueous humor (1.336) are close in value. Light is diverged by the posterior corneal surface as it passes from a medium of higher refractive index (cornea) to a medium of lower refractive index (aqueous humor), but the divergence is of a much lesser magnitude than the convergence produced at the anterior corneal surface. From Equation 1, an average posterior corneal surface with a radius of curvature of 6.9 mm has a refractive power of -5.8 D. Therefore, for an average cornea the net corneal refractive power is approximately 43 D.

Theoretically the refractive power of the cornea can be changed by altering the curvatures of the corneal surfaces or the refractive index of the cornea or both. Changes in the anterior corneal curvature affect the refractive power more than changes in the posterior corneal curvature because of the larger change in the refractive indices across the anterior surface. For example, steepening the anterior corneal curvature from 7.5 mm to 6.5 mm would increase the refractive power by approximately 7.7 D, whereas steepening the posterior corneal curvature by 1 mm would decrease the refractive power by less than 1 D.

Back to Top
ANALYSIS OF CORNEAL TOPOGRAPHY
Because most lamellar refractive procedures alter the anterior corneal surface, accurate information about this surface is essential in planning and analyzing these procedures. Early on it was found that changes in keratometry correlated poorly with the change in refraction observed.1,2,3 One hypothesis concerns the fact that the keratometer fits a curve through two points, approximately 3 mm apart, in each of two axes, assuming that the cornea is perfectly spherocylindrical between the points. This reading often does not reflect the postoperative corneal surface power accurately over the visual axis, where irregularity and multifocality may be present.

It is also important to recall that the dioptric power given by the keratometer is an estimate of the total corneal power based on the measured radius of curvature and assuming normal corneal thickness and posterior corneal curvature. Therefore, if the keratometer is used, the anterior surface curvature measurements are more reflective of the refractive change.

Keratoscopy provides more information about the shape and refractive power of the corneal surface than does keratometry (Fig. 1).4 Significantly more detail can be obtained by computer analysis of such images. Most currently used systems for corneal topographic examination utilize Placido disc images. Multiple illuminated concentric rings are placed in front of the cornea, and the reflections of the rings are viewed and analyzed. Corneal curvature can be determined at many points along each ring, giving a detailed image of the corneal surface power (Fig. 2). Unfortunately, this also requires some assumptions about corneal shape and may be less accurate on aspheric surfaces. Elevation maps can also be derived from the curvature data.

Fig. 1 A. Keratoscope photograph of a cornea 1 year after epikeratophakia for myopia. With a refraction of -1.50 + 1.00 × 50°, the visual acuity is 20/25 +. B. Keratometry reveals 6 D of astigmatism at 45°, which is evident in the keratoscope photograph (arrow). (Courtesy of Stephen D. Klyce, Ph.D., and Steven A. Dingeldein, M.D., LSU Eye Center, New Orleans)

Fig. 2 Computerized analysis of corneal topography after LASIK for myopia. Note central flattening in each eye.

Many other non-Placido disc systems have been used for corneal topography analysis. The most commonly used today (Orbscan, Bausch & Lomb, Rochester, NY) is based on analysis of multiple Scheimpflug slit images of the cornea. Anterior corneal elevation, corneal thickness, and posterior corneal shape can be determined.

LAMELLAR REFRACTIVE KERATOPLASTY PROCEDURES

Refractive keratoplasty can be divided into lamellar procedures and nonlamellar procedures. Nonlamellar procedures alter corneal curvature without the addition or removal of tissue. Radial keratotomy and various types of incisional surgery for astigmatism are the most common nonlamellar procedures.

Lamellar procedures involve the removal of tissue from the cornea or the addition of tissue or synthetic material to change its refractive power. Most lamellar procedures change the refractive power by altering the anterior corneal curvature, which can be accomplished in several ways. A tissue or hydrogel lens can be placed within the corneal stroma (keratophakia and intrastromal hydrogel lens implantation); a tissue lens can be placed on the anterior corneal surface (epikeratophakia); the anterior lamellae of the cornea can be removed, shaped, and replaced (keratomileusis); or the excimer laser can be used to remove corneal stroma, either on the surface or within the stroma. In one lamellar procedure (intrastromal polysulfone lens implantation), a synthetic lens with a high refractive index was placed within the cornea and changed the refractive properties of the cornea without altering the anterior corneal curvature. Each of these procedures is briefly described in the following sections.

KERATOPHAKIA AND INTRASTROMAL LENS IMPLANTATION

Modern lamellar refractive keratoplasty originated with Jose I. Barraquer's work in Colombia, South America. In 1949, Barraquer developed keratophakia for the correction of aphakia because of the dissatisfaction with aphakic spectacles and the contact lenses and intraocular lenses that were available at that time. His results were first reported in 1963,5 and the procedure was introduced in the United States in 1977.6 Attempts to adapt Barraquer's classic form of keratophakia for the correction of myopia have not been successful.

In keratophakia, a plus-powered tissue lens of donor corneal stroma is implanted intrastromally into the patient's cornea (Fig. 3). The portion of the patient's cornea that overlies the implanted tissue lens conforms to the anterior surface of the tissue lens, and the anterior corneal curvature steepens.

Fig. 3 Keratophakia. An anterior section of the patient's cornea is removed and replaced over a tissue lens of donor corneal stroma. The anterior corneal surface is steepened.

Prior to surgery, the donor corneal stroma is lathed with a cryolathe, which is a modified contact lens lathe that keeps the tissue frozen as it is being lathed. At the time of surgery, an anterior lamellar section of tissue is removed from the patient's cornea with a microkeratome, which is similar to a carpenter's plane. The prelathed tissue lens is placed on the exposed stromal bed, and the anterior lamellar section that was previously removed from the patient's cornea is sutured back into place on top of the tissue lens. It is necessary to remove an anterior lamellar section of tissue from the patient's cornea before implanting the tissue lens. If the tissue lens is placed in a lamellar pocket without a 360° anterior incision that penetrates Bowman's layer, there is little effect on the anterior corneal curvature;7,8 unless Bowman's layer is severed completely, the posterior layers of the cornea change shape rather than the relatively inelastic anterior layers (Fig. 4).

Fig. 4 If an anterior section of the patient's cornea is not removed and the tissue lens is implanted in a lamellar pocket, the posterior rather than the anterior corneal surface is altered.

Changes in anterior corneal curvature and refractive power have also been achieved with intrastromal hydrogel lenses, which have a refractive index (1.381) similar to that of the cornea. Both plus-powered9–11 and minus-powered12 hydrogel lenses have survived implantation into the corneas of experimental animals by means of the keratophakia technique, but the accuracy of the optical results and the long-term safety were not sufficient to warrant clinical use.

Intrastromal polysulfone lenses have also been used to correct hyperopia and myopia.13,14 Polysulfone has a high refractive index (1.633); a plus or minus lens can be made from this material and implanted in a pocket in the corneal stroma. Unlike tissue lenses and hydrogel lenses, which change the refraction of the cornea by altering the curvature of the anterior corneal surface, polysulfone lenses change the refractive power of the cornea by altering the path of light as it passes through the cornea–lens interface within the cornea. No change in the anterior corneal curvature is necessary to achieve this effect. Therefore, these lenses can be implanted into a lamellar pocket without the need for removing an anterior lamellar section of tissue.

KERATOMILEUSIS

In 1964, Barraquer developed keratomileusis for the correction of myopia.15 He later adapted the technique for the correction of hyperopia and first reported his results in 1981.16

In keratomileusis, an anterior lamellar section of tissue is removed from the patient's cornea with a microkeratome (Fig. 5). This tissue is lathed, from the posterior surface, on a cryolathe and is then sutured back onto the stromal bed (Fig. 5). If more tissue is removed from the periphery of the tissue than from the center, the anterior corneal curvature steepens; if more tissue is removed from the center than from the periphery, the anterior corneal curvature flattens. This autoplastic keratomileusis procedure requires no donor tissue. However, a prelathed donor tissue lens can be used, in which case the procedure is called homoplastic keratomileusis.

Fig. 5 Keratomileusis for aphakia (top) and myopia (bottom). An anterior section of the patient's cornea is removed, shaped from the posterior surface, and replaced, altering the anterior corneal surface.

EPIKERATOPHAKIA

Epikeratophakia evolved from the Barraquer procedures of keratophakia and keratomileusis. It was developed by Kaufman and co-workers17 to provide a procedure that was safer and simpler than keratophakia or keratomileusis. The results of epikeratophakia for aphakia were first published in 198118 and those of epikeratophakia for myopia in 1985.19 Epikeratophakia was used widely for a number of years, but was largely abandoned with the development of superior techniques.20–22

In epikeratophakia, a prelathed tissue lens of donor corneal stroma and Bowman's layer is sutured onto the anterior surface of the patient's cornea (Fig. 6). The tissue lens was lathed preoperatively at a central laboratory, according to the patient's preoperative measurements (refraction at the corneal plane and average keratometry). Plus-powered and minus-powered tissue lenses were available. Both had a central optical zone and a peripheral wing. After being lathed, the tissue was lyophilized and shipped to the surgeon. At the time of surgery, it was rehydrated.

Fig. 6 Epikeratophakia for aphakia (top) and myopia (bottom). A tissue lens of donor corneal stroma and Bowman's layer is placed on the patient's cornea, which has been deepithelialized centrally. The wing of the tissue lens is placed into a peripheral lamellar pocket.

The central epithelium of the patient's cornea is removed, and a peripheral lamellar keratotomy is created into which the wing of the tissue lens is inserted and then sutured. The anterior surface of the tissue lens forms the anterior surface of the patient's cornea. The tissue lens is held in place by a thin peripheral scar. Because the central Bowman's layer of the patient's cornea is undisturbed, a central scar does not form, which allows the tissue lens to be removed and the procedure to be repeated if desired.

Tissue Lathing

In keratomileusis and epikeratophakia, the tissue lens forms the anterior surface of the eye postoperatively. This surface must retain its ability to support an epithelial layer and smooth tear film. For this reason, attempts are made to retain the anterior structures of the tissue lens, including the epithelial basement membrane and Bowman's layer. Therefore, lathing is done on the posterior surface. This altered posterior surface conforms to the unaltered corneal bed, and the anterior surface of the tissue lens takes on a new configuration (Fig. 7).

Fig. 7 (Top) A tissue lens can be shaped by placing the anterior surface of the cornea on a plastic base and removing tissue from the posterior surface (hatched area). More tissue is removed centrally to create a lens for myopia. (Center) Additional tissue is removed from the periphery to create a wing. (Bottom) When placed on the patient's cornea, the posterior surface of the tissue lens conforms to the anterior surface of the patient's cornea, and the anterior surface of the tissue lens assumes a different shape. In this method of shaping a tissue lens, the plastic base remains constant, and the lathing parameters for the posterior surface are varied.

More detailed descriptions of a method for calculating lathing parameters have been published.23–25

All these calculations assume that the tissue lens is placed in its bed without tension or distortion, that there is no change in its refractive index, and that the cornea posterior to the tissue lens is not altered by the procedure. It is difficult to suture the tissue lens without tension or distortion, and irregular astigmatism as well as undercorrection or overcorrection may result. The validity of the other assumptions has not been tested.

The freezing process causes dimensional alterations in the lathing apparatus as well as in the corneal tissue. Both the rotating headstock and cutting tool contract, and the tissue decreases in diameter and increases in thickness. Because accuracy to at least 0.1 mm is required, these alterations must be taken into account. Freezing also damages the tissue, particularly the keratocytes.25–26

Fig. 8 A tissue lens can be shaped by varying the plastic base and keeping the method of removal of posterior tissue constant.

PHOTOREFRACTIVE KERATECTOMY (PRK)

In the late 1980s researchers began to shape the corneal surface using an excimer laser. This laser emits light with a wavelength of 193 nm, which ablates surface tissue without injury to adjacent tissue.27 The laser emits a 6.5 mm pulsed beam that removes approximately 0.25 microns of tissue. Removal of more tissue centrally than peripherally can flatten the central corneal curvature and correct myopia (Fig. 9). Initially this was accomplished by a computer-controlled diaphragm that opened as the procedure progressed, such that the peripheral treated area was exposed for the least time and the central cornea for the greatest time. Astigmatism could be corrected by removal of tissue in one meridian using a rectangular beam. Since then scanning spot lasers have also been developed. These can also be used to treat hyperopia by removal of tissue in the corneal midperiphery (Fig. 10).

Fig. 9 Diagram of photorefractive keratectomy for myopia. Dark area indicates tissue removed with the excimer laser in order to flatten central curvature.

Fig. 10 Diagram of photorefractive keratectomy for hyperopia. Dark area indicates tissue removed with the excimer laser in order to steepen central curvature.

In the mid-1990s researchers began to apply the ablation under a lamellar stromal flap created with a microkeratome (Fig. 11).28

Fig. 11 Diagram of laser-assisted in situ keratomileusis (LASIK). A large central lamellar flap is created and lifted. Dark area indicates tissue removed with the excimer laser in order to flatten central curvature for myopia.

OPTICAL ISSUES

Centration

Several optical problems must be addressed to optimize the refractive results of these procedures. First, how should the optical correction be centered? There is no simple way to identify the corneal intercept of the visual axis. The current consensus is that procedures be centered on the entrance pupil, the virtual image of the real pupil formed by the cornea.29 The entrance pupil is approximately 0.5 mm anterior to and 14% larger than the real pupil.30 Unfortunately, the center of the entrance pupil can vary with changes in the diameter of the pupil. Others have recommended using the location of the corneal reflex of a fixation light, when viewed by both of the surgeon's eyes.

Determination of Desired Correction

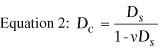
For any of the lamellar refractive keratoplasty procedures, the desired amount of power correction at the corneal plane must be determined. In most cases, the desired postoperative result is emmetropia. However, in some cases ametropia may be preferable, depending on the refractive error of the fellow eye. The correction at the corneal plane can be calculated from the spectacle correction, if the vertex distance is known, by means of the following equation:

where Dc is the correction at the corneal plane in diopters, Ds is the correction at the spectacle plane in diopters, and v is the vertex distance in meters.

Determination of Desired Postoperative Anterior Corneal Curvature

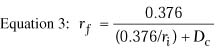
The desired postoperative radius of anterior corneal curvature can be calculated with the following equation, which is derived from Equation 1:

where rf is the postoperative radius of anterior curvature in meters, ri is the preoperative radius of anterior curvature in meters, and Dc is the correction at the corneal plane in diopters.

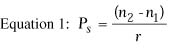
Equation 3 is for a thin lens and does not take into account the change in corneal thickness that occurs with lamellar refractive keratoplasty. In epikeratophakia and keratophakia, the central corneal thickness is increased; in PRK, LASIK, and keratomileusis, it is decreased. In epikeratophakia for aphakia, for example, the central corneal thickness increases from 0.52 mm to approximately 0.86 mm.1 The back vertex power of a thick lens, such as the cornea, is given by the following equation:

where

and where BVP is the back vertex power of the cornea in diopters, Pa is the power of the anterior surface in diopters, Ppis the power of the posterior surface in diopters, ra is the radius of anterior curvature in meters, rp is the radius of posterior curvature in meters, and t is the thickness of the cornea in meters. In this equation, n1 is the refractive index of air (1.000), n2 is the refractive index of the cornea (1.376), and n3 is the refractive index of aqueous humor (1.336).

In a hypothetical epikeratophakia patient with a preoperative radius of anterior curvature of 7.7 mm and a desired correction of +15.00 D, Equation 3 predicts that the desired postoperative radius of anterior curvature would be 5.9 mm. However, with this new anterior curvature and increased corneal thickness, the back vertex power of the cornea would increase by 16.6 D instead of by the desired 15.0 D. It is evident that for the relatively high refractive changes achieved with lamellar refractive keratoplasty, alterations in corneal thickness should be taken into account. Barraquer, in his keratomileusis calculations, used an estimated effect of the change in corneal thickness: the final radius of anterior curvature calculated by Equation 3 is reduced by 0.004095 mm for each diopter of myopic correction.

Finally, as the position of the anterior surface of the eye is moved, the effective axial length of the eye is also altered. This effect is taken into account if back vertex power of the cornea is used.

Determining Amount of Tissue Removal

The following formula can be used to calculate how much of the axial corneal stroma must be removed to achieve the desired myopic correction:

where d = the maximum depth of ablation, R1 = the initial radius of curvature in millimeters, D = the diopters of correction, and OZ is the diameter of the optical zone of the correction in millimeters.

Munnerlyn indicated that the ablation depth can be approximated using





It is evident from this formula that the depth of the ablation is directly proportional to the diopters of correction and proportional to the square of the optical zone (Fig. 12). For a 6 mm optical zone, a 3 diopter correction needs to ablate approximately 36 microns of tissue, and a 9 diopter correction needs to remove approximately 108 microns. To achieve a 9 diopter correction with an optical zone of 5 mm, the depth of ablation is approximately 75 microns; increasing the optical zone to 8 mm increases the depth to 192 microns.

Fig. 12 Relationship between diopters of correction for myopia, optical zone diameter, and maximum depth of ablation, in microns.

The volume of tissue removed can be estimated by the formula31

where V = the volume of tissue removed.

Minimum Optical Zone

Theoretically the larger the optical zone the better. However, some physical constraints limit the diameter of the optical zone that can be achieved. As can be seen from the previous section, the depth of tissue removal increases dramatically as the optical zone is increased. Tissue removal is constrained by two factors: If you remove too much tissue the cornea is weakened and can become ectatic; in phototherapeutic keratectomy the greater the depth of ablation the greater the risk of postoperative scarring, and in LASIK the greater the depth the greater the risk of irregular astigmatism.

The risk of postoperative glare and starburst is primarily related to the spherical equivalent correction, but is also related to the relative size of the optical zone and pupil. The smaller the optical zone is in relation to the pupil size, the greater the experience of these symptoms.32–34 Therefore, optimally the optical zone should be at least the size of the entrance pupil in dim illumination.35 In my experience the optical zone can be 0.5 mm smaller than the pupil without a high risk of symptomatic glare.

The risk of scarring and glare also appears to be related to the shape of the transition zone between the optical treatment and the peripheral cornea. A more gradual transition decreases the likelihood of both these complications.36 This can be achieved by creating an aspheric ablation, with a transition zone extending 1–2 mm beyond the optical zone. The VISX (address) software creates a “blend” zone by treating 1 diopter of the myopic correction with an 8.0 mm optical zone and the remainder with a 6.0 or 6.5 mm optical zone. The blend zone only increases the central depth of the ablation by 9 microns. This appears to significantly reduce the incidence of glare in patients with scotopic pupils of 7 to 8 mm.

Limitations of Lathing Procedures

There are physical limitations to the amount of correction that can be obtained by each of the lamellar refractive keratoplasty procedures. The thickness of the tissue lens is limited by the thickness of the corneal tissue from which it is made. If a donor cornea is used, the full stromal thickness (approximately 0.49 mm) is available. However, the maximum thickness of an anterior lamellar section from a patient's cornea is approximately 0.4 mm. With a minimum optical zone diameter of 5 mm, the amount of aphakic correction that can be obtained with keratomileusis is limited to approximately 12 D to 15 D when a lamellar section is used (autoplastic keratomileusis). Depending on the preoperative corneal curvature, an additional 4 D to 6 D could be obtained when a full-thickness donor cornea is used (homoplastic keratomileusis). The amount of myopic correction that can be obtained is approximately 15 D with autoplastic keratomileusis and 22 D with homoplastic keratomileusis. The maximum amount of aphakic correction with keratophakia is approximately 20 D. The maximum corrections that have been achieved with epikeratophakia for aphakia and myopia are 34 D and 38 D, respectively.

Limitations on Postoperative Corneal Curvature

Barraquer has stated, based on his experience, that there are limits on the postoperative thickness and anterior curvature of the cornea, as well as a minimum thickness of the lathed tissue lens. He noted that, after keratophakia, the maximum corneal thickness that is consistent with good vision is 0.70 mm. The maximum anterior corneal curvature after keratophakia or keratomileusis for aphakia is 58 D. The minimum anterior corneal curvature after keratomileusis for myopia is 33 D. The minimum central thickness of the tissue lens is 0.12 mm in keratophakia and 0.09 mm in keratomileusis. In epikeratophakia the minimum central thickness of the tissue lens is approximately 0.1 mm.

Although some have suggested that excessively steep or flat postoperative corneal curvatures after PRK or LASIK are associated with decreased vision, a recent study did not observe this.37 There appears to be no maximum or minimum postoperative corneal curvature or maximum corneal thickness that is consistent with good vision.

Back to Top
POSTOPERATIVE CONSIDERATIONS

POSTOPERATIVE MEASUREMENTS

Corneal curvature following lamellar refractive keratoplasty may be outside the range of the keratometer, which is typically from 36 D to 52 D. To obtain measurements in these eyes, the range of the keratometer may be extended by placement of a plus or minus lens in front of the optical system.38

POSTOPERATIVE OPTICAL CONSIDERATIONS

The effect of lamellar refractive keratoplasty on image size is the same as for contact lenses. In comparison with patients who use spectacle correction, aphakic patients who undergo lamellar refractive procedures experience less magnification in image size, and myopic patients experience less minification. This creates an artificial reduction in postoperative visual acuity in aphakic patients and an artificial improvement in myopic patients.

Irregular astigmatism is a common complication of lamellar refractive keratoplasty. Irregular astigmatism can be easily diagnosed by corneal topography or by determining the difference between spectacle corrected and rigid contact lens corrected acuity.

Intraocular Lens Calculation after Lamellar Refractive Surgery

Determination of intraocular lens power for cataract surgery in an eye that has undergone refractive surgery is more difficult. The problem is that keratometry does not accurately reflect the effective corneal refractive power–it usually overestimates it, resulting in an underestimation of the required IOL power. There are two methods of more accurately determining the effective refractive power of the cornea: the perioperative data method and the contact lens overrefraction method.

In the perioperative data method the effective corneal refractive power is determined by subtracting the refractive change induced by the surgery from the preoperative corneal power.39,40 The refractive change is the difference in spherical equivalent of the refractive error in the corneal plane from prior to surgery to 3–6 months after surgery. For example, for a patient with a refraction of -10.0 at a vertex distance of 12.5 mm and keratometry of 44.00 D before surgery and a refraction of -0.50 3 months after surgery:

  Spherical equivalent of the preoperative refractive error: -10.0 D
  Refractive error in the corneal plane:  -9.88 D
  Spherical equivalent of the postoperative refractive error:-0.50 D
  Refractive error in the corneal plane:  -0.50 D
  Change in refraction in the corneal plane:  9.38 D
  Preoperative mean K:  44.00 D
  Calculated mean postoperative keratometry:  44.00 - 9.38 = 34.62 D

If the perioperative data is not available, the contact lens overrefraction method can be used. The spherical equivalent of the patient's current refraction is determined. A rigid contact lens of known base curve and plano in power is placed on the patient's cornea, and the refraction is repeated. The difference between the refraction with the rigid contact lens contact lens and the refraction without the contact lens is subtracted from the base curve of the contact lens.

For example, the patient's refraction is -1.0 D. Wearing a plano contact lens with a base curve of 45.0 D, the patient's refraction is -3.0 D. The patient's effective corneal power is 45.0 D - (-1.0 D - (-3.0 D)) = 45.0 D - (2.0 D) = 43.0 D.

Back to Top
REFERENCES

1. Arffa RC, Klyce SD, Busin M: Keratometry in epikeratophakia. Journal of Refractive Surgery 2:61, 1986

2. Swinger CA, Barker BA: Prospective evaluation of myopic keratomileusis. Ophthalmology 91:785, 1984

3. Arffa RC, Marvelli T, Morgan K: Keratometric and refractive results of pediatric epikeratophakia. Arch Ophthalmol 103:1656, 1985

4. Rowsey JJ, Reynold AE, Brown R: Corneal topography. Arch Ophthalmol 99:1093, 1981

5. Barraquer JI: Modification de la refraccion por medio de inclusiones intracorneales. Archives de la Sociedad Americana de Oftalmologia y Optometria 4:229, 1963

6. Troutman RC, Swinger C: Refractive keratoplasty: Keratophakia and keratomileusis. Trans Am Ophthalmol Soc 76:329, 1978

7. McCarey BE, von Rij G, Waring GO: Keratophakia with hydrogel implants. ARVO Abstract. Invest Ophthalmol Vis Sci (Suppl) 24:147, 1983

8. Koenig SB, Hamano T, Yamaguchi T, et al: Refractive keratoplasty with hydrogel implants in primates. Ophthalmic Surg 15:225, 1984

9. Werblin TP, Blaydes JE, Frydrzkowski AW, Pfeiffer RL: Stability of hydrogel intracorneal implants in non-human primates. CLAO J 9:157, 1983

10. Binder PS, Zavala EY, Deg JA, Baumgartner SD: Hydrophilic lenses for refractive keratoplasty. The use of factory lathed materials. CLAO J 10:105, 1984

11. McCarey BE: Alloplastic refractive keratoplasty. In Sanders DR, Hofmann RF, Salz JJ (eds): Refractive Corneal Surgery. Thorofare, NJ: Charles B Slack, 1986:531–548

12. Werblin TP, Peiffer RL, Patel AS: Synthetic keratophakia for the correction of aphakia. Ophthalmology 94:926, 1987

13. Lane SL, Lindstrom RL, Cameron JD, et al: Polysulfone corneal lenses. Journal of Cataract and Refractive Surgery 12:50, 1986

14. Lindstrom RL, Lane SS: Polysulfone intracorneal lenses. In Sanders DR, Hofmann RF. Salz JJ (eds): Refractive Corneal Surgery. Thorofare, NJ: Charles B Slack, 1986: 549–563

15. Barraquer JI: "Queratomileusis" para la correccion de la miopia. Anales Instituto Barraquer 5:209, 1964

16. Barraquer JI: Keratomileusis for myopia and aphakia. Ophthalmology 88:701, 1981

17. Kaufman HE: The correction of aphakia. Am J Ophthalmol 89:1, 1980

18. Werblin TP, Kaufman HE, Friedlander MH, Granet N: Epikeratophakia: The surgical correction of aphakia. III. Preliminary results of a prospective clinical trial. Arch Ophthalmol 99:1957, 1981

19. McDonald MB, Klyce SD, Suarez H, et al: Epikeratophakia for myopia correction. Ophthalmology 92:1417, 1985

20. McDonald MB, Kaufman HE, Aquavella JV, et al: The nationwide study of epikeratophakia for aphakia in adults. Am J Ophthalmol 103:358, 1987

21. Morgan KS, McDonald MB, Hiles DA, et al: The nationwide study of epikeratophakia for aphakia in children. Am J Ophthalmol 103:366, 1987

22. McDonald MB, Kaufman HE, Aquavella JV, et al: The nationwide study of epikeratophakia for myopia. Am J Ophthalmol 103:375, 1987

23. Werblin TP, Klyce SD: Epikeratophakia: The surgical correction of aphakia. I. Lathing of corneal tissue. Curr Eye Res 1(3):123, 1981

24. Werblin TP, Klyce SD: Epikeratophakia: the surgical correction of myopia. I. Lathing of corneal tissue. Curr Eye Res 1(10):591, 1981/1982

25. Zavala EY, Binder PS, Deg JK, Baumgartner DS: Refractive keratoplasty: Lathing and cryopreservation. CLAO J 11:155, 1985

26. Binder PS, Zavala EY, Baumgartner SD, Nayak SK: Combined morphologic effects of cryolathing and lyophilization on epikeratoplasty lenticules. Arch Ophthalmol 104:671, 1986

27. Munnerlyn CR, Koons SJ, Marshall, J: Photorefractive keratectomy: A technique for laser refractive surgery. J Cataract Refract Surg 14:46, 1988

28. Salah T, Waring GO, el-Maghraby A, Moadel K, Grimm SB: Excimer laser in-situ keratomileusis (LASIK) under a corneal flap for myopia of 2 to 20 D. Trans Am Ophthalmol Soc 93:163, 1995

29. Pande M, Hillman J: Optical zone centration in keratorefractive surgery. Ophthalmology 100:1230, 1993

30. Uozato H, Guyton D: Centering corneal surgical procedures. Am J Ophthalmol 103:264, 1987

31. Gatinel D, Hoang-Xuan T, Azar D: Volume estimation of excimer laser tissue ablation for correction of spherical myopia and hyperopia. Invest Ophthalmol Vis Sci. 43:1445, 2002

32. Roberts CW, Koester CJ: Optical zone diameters for photorefractive corneal surgery. Invest Ophthalmol Vis Sci 34:2275, 1993

33. O'Brart DPS, Cartry DS, Lohmann CP: Excimer laser photorefractive keratectomy for myopia: comparison of 4.00 and 5.00-millimeter ablation zones. J Refract Corneal Surg 10:87, 1994

34. Shah S I, Hersh PS: Photorefractive keratectomy for myopia with a 6-mm beam diameter. J Refract Surg 12:341, 1996

35. Roberts CW, Koester CJ: Optical zone diameters for photorefractive corneal surgery. Invest Ophthalmol Vis Sci 34:2275, 1993

36. Endl MJ, Martinez CE, Klyce SD, McDonald MB, et al: Effect of larger ablation zone and transition zone on corneal optical aberrations after photorefractive keratectomy. Arch Ophthalmol 119:1159, 2001

37. Cobo-Soriano R, Llovet F, Gonzalez-Lopez F, Domingo B, Gomez-Sanz F, Baviera J: Factors that influence outcomes of hyperopic laser in situ keratomileusis. J Cataract Refract Surg 28:1530, 2002

38. Manning W, Miller D: Increasing the range of the keratometer. Surv Ophthalmol 6:413, 1978

39. Holliday JT: IOLs in LASIK patients. How to get them right the first time. Rev Ophthalmol 2000:59.

40. Speicher L: Intra-ocular lens calculation status after corneal refractive surgery. Current Opinion in Ophthalmology 12:17, 2001

Back to Top